Размерные зависимости теплофизических свойств наночастиц. Энтропия и теплота плавления
- Авторы: Кузамишев А.Г.1, Шебзухова М.А.1, Бжихатлов К.Ч.1
-
Учреждения:
- ФГБОУ ВО “Кабардино-Балкарский государственный университет им. Х.М. Бербекова”
- Выпуск: Том 61, № 5 (2023)
- Страницы: 700-705
- Раздел: Теплофизические свойства веществ
- URL: https://ogarev-online.ru/0040-3644/article/view/252362
- DOI: https://doi.org/10.31857/S0040364423050095
- ID: 252362
Цитировать
Полный текст
Аннотация
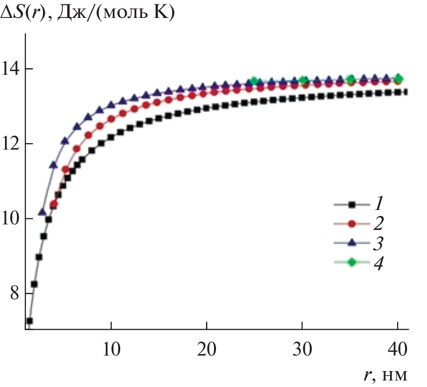
В рамках термодинамической теории фазовых равновесий в дисперсных системах получены размерные зависимости скачков энтропии и теплоты плавления частиц (в том числе нанометрового диапазона) при строгом и последовательном учете поверхностных явлений при подходе с разделяющими поверхностями. Рассмотрение проведено при учете размерных зависимостей молярного объема, температуры плавления и межфазного натяжения. По полученным соотношениям выполнены расчеты для сферических наночастиц натрия и олова. Из них следует уменьшение энтропии и теплоты плавления с уменьшением размера наночастиц. Результаты хорошо согласуются с имеющимися в литературе экспериментальными и расчетными данными.
Об авторах
А. Г. Кузамишев
ФГБОУ ВО “Кабардино-Балкарский государственный университет им. Х.М. Бербекова”
Email: sh-madina@mail.ru
Россия, Нальчик
М. А. Шебзухова
ФГБОУ ВО “Кабардино-Балкарский государственный университет им. Х.М. Бербекова”
Email: sh-madina@mail.ru
Россия, Нальчик
К. Ч. Бжихатлов
ФГБОУ ВО “Кабардино-Балкарский государственный университет им. Х.М. Бербекова”
Автор, ответственный за переписку.
Email: sh-madina@mail.ru
Россия, Нальчик
Список литературы
- Радунер Э. Размерные эффекты в наноматериалах. М.: Техносфера, 2010. 367 с.
- Jiang Q., Shi F.G. Entropy for Solid–Liquid Transition in Nanocrystals // Mater. Lett. 1998. V. 37. P. 79.
- Jiang Q., Yang C.C., Li J.C. Melting Enthalpy Depression of Nanocrystals // Mater. Lett. 2002. V. 56. P. 1019.
- Shandiz M.A., Safaci A. Melting Entropy and Enthalpy of Metallic Nanoparticles // Mater. Lett. 2008. V. 62. P. 3954.
- Сумм Б.Д. Основы коллоидной химии. М.: Академия, 2006. 240 с.
- Андриевский Р.А. Основы наноструктурного материаловедения. М.: Бином, 2012. 252 с.
- Singh M., Taele B.M., Patel G. Effect of Shape and Size on Curie Temperature, Debye Frequency, Melting Entropy and Enthalpy of Nanosolids // Orient. J. Chem. 2018. V. 34. № 5. P. 2282.
- Regel A.R., Glazov V.M. Entropy of Melting of Semiconductors // Semiconductors. 1995. V. 29. P. 405.
- Qi W.H., Wang M.P., Liu Q.H. Shape Factor of Nonspherical Nanoparticles // Mater. Sci. 2005. V. 40. P. 2737.
- Цю Я., Лью В., Чжан В., Чжай Ч. Теоретическое изучение влияния размерного фактора на энтропию и энтальпию плавления для наночастиц олова, серебра, меди и индия // ФММ. 2019. Т. 120. № 5. С. 451.
- Kumar R., Sharma G., Kumar M. Effect of Size and Shape on the Vibrational and Thermodynamic Properties of Nanomaterials // J. Thermodyn. 2013. V. 5. P. 5.
- Сдобняков Н.Ю., Комаров П.В., Колосов А.Ю., Новожилов Н.В., Соколов Д.Н., Кульпин Д.А. Расчет размерных зависимостей теплоты плавления наночастиц металлов // Конденсированные среды и межфазные границы. 2013. Т. 15. № 3. С. 337.
- Сдобняков Н.Ю., Соколов Д.Н., Мясниченко В.С., Базулев А.Н. Расчет размерных зависимостей теплот плавления и кристаллизации наночастиц металлов В сб.: Физико-химические аспекты изучения кластеров, наноструктур и наноматериалов / Под ред. Самсонова В.М. Тверь: ТГУ, 2014. Вып. 6. С. 342.
- Самсонов В.М., Сдобняков Н.Ю., Васильев С.А., Соколов Д.Н. О размерной зависимости теплоты плавления металлических нанокластеров // Изв. РАН. Сер. физическая. 2016. Т. 80. № 5. С. 547.
- Кузамишев А.Г., Шебзухова М.А., Бжихатлов К.Ч., Шебзухов А.А. Размерные зависимости теплофизических свойств наночастиц. Поверхностное натяжение // ТВТ. 2022. Т. 60. № 3. С. 343.
- Русанов А.И. Фазовые равновесия и поверхностные явления. Л.: Химия, 1967. 388 с.
- Шебзухова М.А., Шебзухов А.А. Размерные зависимости межфазного натяжения на границе твердое‒жидкость и температуры плавления металлических наночастиц // Изв. РАН. Сер. физическая. 2012. Т. 76. № 7. С. 863.
- Шебзухов З.А., Шебзухова М.А., Шебзухов А.А. Поверхностное натяжение и поверхностная энергия металлических наночастиц // Изв. Каб.-Балк. ун-та. 2010. № 7. С. 17.
- Скрипов В.П., Файзуллин М.З. Фазовые переходы кристалл‒жидкость‒пар и термодинамическое подобие. М.: Физматлит, 2003. 160 с.
- Vogelsberger W.J., Marx G. Zur Krümmungsabhängigkeit der Oberflächenspannung kleiner Tröpfchen // Z. Phys. Chem. 1976. Bd. 257. № 3. S. 580.
- Vogelsberger W.J., Sonnefeld J., Rudakoff G. Thermodynamic Considerations on the Stability of Colloidal Dispersions with Ionizable Surface Groups Like Silica Sols // Z. Phys. Chem. 1985. V. 226. P. 225.
- Скрипов В.П., Файзуллин М.З. Поведение скачков объема и энтропии на линии плавления и на ее низкотемпературном продолжении // Фазовые превращения в метастабильных системах. Екатеринбург: УНЦ АН СССР, 1983. С. 18.
- Глазов В.М., Лазарев В.Б., Жаров В.В. Фазовые диаграммы простых веществ. М.: Наука, 1980. 271 с.
- Станкус С.В., Хайрулин Р.А. Плотность сплавов системы олово–свинец в твердом и жидком состояниях // ТВТ. 2006. Т. 44. № 3. С. 393.
- Safaei A., Shandiz M.A. Size-dependent Thermal Stability and the Smallest Nanocrystal // Phys. E. 2009. V. 41. P. 359.
- Lai S.L., Guo J.V., Petrova V., Ramanathal G., Allen L.H. Size-dependent Melting Properties of Small Tin Particles: Nanocalorimetric Measurements // Phys. Rev. Lett. 1996. V. 77. P. 99.
Дополнительные файлы



