Explosive Boiling-up of Superheated Gas-Saturated Alkanes
- Authors: Baidakov V.G.1, Kaverin A.M.1, Pankov A.S.1
-
Affiliations:
- The Institute of Thermal Physics, of the Ural Branch of the Russian Academy of Sciences
- Issue: Vol 61, No 4 (2023)
- Pages: 611-618
- Section: Articles
- URL: https://ogarev-online.ru/0040-3644/article/view/232758
- DOI: https://doi.org/10.31857/S0040364423040026
- ID: 232758
Cite item
Full Text
Abstract
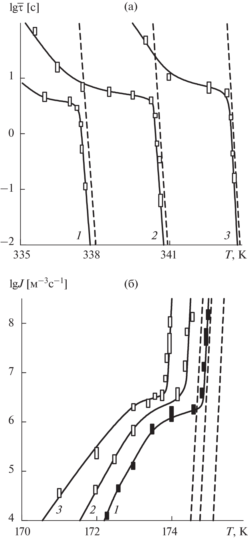
The spontaneous boiling-up kinetics of liquid alkanes (methane, ethane, and propane) saturated with one of the following gases: helium, hydrogen, nitrogen, or methane is studied. The solution nucleation rate temperature, baric, and concentration dependences in the interval (104–108) m–3 s–1 are determined using the mean lifetime method. The measurements were carried out at pressures of 1–2 MPa and volatile component concentrations up to 6 mol %. The experimental results are compared with the classical nucleation theory in a macroscopic approximation. In contrast to pure liquid and liquid saturated with helium or hydrogen, the attainable superheating temperatures of solutions containing nitrogen or methane as a dissolved substance exceed their theoretically predicted values. The factors causing this mismatch are discussed.
About the authors
V. G. Baidakov
The Institute of Thermal Physics, of the Ural Branch of the Russian Academy of Sciences
Email: baidakov@itpuran.ru
620016, Yekaterinburg, Russia
A. M. Kaverin
The Institute of Thermal Physics, of the Ural Branch of the Russian Academy of Sciences
Email: baidakov@itpuran.ru
620016, Yekaterinburg, Russia
A. S. Pankov
The Institute of Thermal Physics, of the Ural Branch of the Russian Academy of Sciences
Author for correspondence.
Email: baidakov@itpuran.ru
620016, Yekaterinburg, Russia
References
- Salla J., Demichela M., Casal J. BLEVE: A New Approach to the Superheat Limit Temperature // J. Loss Prev. Process Ind. 2006. V. 19. P. 690.
- Pruess K., Narasimhan T.N. On Fluid Reserves and the Production of Superheated Steam from Fractured, Vapor-dominated Geothermal Reservoirs // J. Geophys. Research: Solid Earth. 1982. V. 87. P. 9329.
- Sahagian D. Eruptive Shearing of Tube Pumice: Pure and Simple // Nature (London). 1999. V. 402. P. 589.
- Rubin M.B., Noyes R.M. Thresholds for Nucleation of Bubbles of Nitrogen in Various Solvents // J. Phys. Chem. 1992. V. 96. P. 993.
- Abbasi T., Abbasi S.A. The Boiling Liquid Expanding Vapour Explosion (BLEVE): Mechanism, Consequence Assessment Management // J. Hazard. Mat. 2007. V. 141(3). P. 489.
- Hemmingsen E.A. Supersaturation of Gases in Water: Absence of Cavitation on Decompression from High Pressure // Science. 1970. V. 167. P. 1493.
- Mori Y., Hijikata K., Nagatani T. Effect of Dissolved Gas on Bubble Nucleation // Int. J. Heat Mass Transfer. 1976. V. 19. № 10. P. 1153.
- Forest T.W., Ward C.A. Effect of a Dissolved Gas on the Homogeneous Nucleation Pressure of a Liquid // J. Chem. Phys. 1977. V. 66. № 6. P. 2322.
- Volmer M. Kinetik der Phasenbildung. Dresden–Leipzig, 1939.
- Ward C.A., Balakrishnan A., Hooper F.C. On the Thermodynamics of Nucleation in Weak Gas-liquid Solutions // Trans. ASME. 1970. V. 92. № 4. P. 695.
- Несис Е.И., Френкель Я.И. Вскипание газированной жидкости // ЖТФ. 1952. Т. 22. С. 1500.
- Дерягин Б.В., Прохоров A.B. К теории вскипания газированной жидкости // Коллоидный журнал. 1982. Т. 44. № 5. С. 847.
- Куни Ф.М., Огенко В.М., Ганюк JI.H., Гречко Л.Г. Термодинамика распада пересыщенного газом раствора // Коллоидный журнал. 1993. Т. 55. № 2. С. 22.
- Мелихов А.А., Трофимов Ю.В., Куни Ф.М. Теория преодоления активационного барьера при распаде пересыщенного газом раствора // Коллоидный журнал. 1994. Т. 56. № 2. С. 201.
- Baidakov V.G. Nucleation in Superheated Gas-saturated Solutions: 1. Boiling-up Kinetics // J. Chem. Phys. 1999. V. 110. № 8. P. 3955.
- Baidakov V.G. Explosive Boiling of Superheated Cryogenic Liquids. Weinheim: Wiley–VCH, 2007. 340 p.
- Staufer D. Kinetic Theory of Two-component (“Hetero-molecular”) Nucleation and Condensation // J. Aerosol Sci. 1976. V. 7. № 4. P. 319.
- Trinkaus H. Theory of the Nucleation of Multicomponent Precipitates // Phys. Rev. B. 1988. V. 27. № 12. P. 7372.
- Зицерман В.Ю., Бережковский А.М. Теория многокомпонентной нуклеации с обходом седловой точки // ЖФХ. 1990. Т. 64. № 7. С. 1795.
- Bowers P.G., Hofstetter C., Letter C.R., Toomey R.T. Supersaturation Limit for Homogeneous Nucleation of Oxygen Bubbles in Water at Elevated Pressure: “Super-Henry’s Law” // J. Phys. Chem. 1995. V. 99. № 23. P. 9632.
- Bowers P.G., Bar-Eli K., Noyes R.M. Unstable Supersaturated Solutions of Gas in Liquids and Nucleation Theory // J. Chem. Soc. Faraday Trans. 1996. V. 92. № 16. P. 2843.
- Kwak H., Panton R.L. Gas Bubble Formation in Nonequilibrium Water-gas Solutions // J. Chem. Phys. 1983. V. 78. № 9. P. 5795.
- Байдаков В.Г., Каверин А.М., Скрипов В.П. Кинетика флуктуационного вскипания перегретого жидкого метана // Коллоидный журнал. 1980. Т. 42. № 2. С. 314.
- Байдаков В.Г., Каверин А.М., Сулла И.И. Достижимый перегрев жидкого этана // ТВТ. 1989. Т. 27. № 2. С. 410.
- Байдаков В.Г., Каверин А.М., Скрипов В.П. Кинетика флуктуационного вскипания перегретых пропана и изобутана// Журн. физ. хим. 1986. Т. 60. № 2. С. 444.
- Зельдович Я.Б. Теория образования новой фазы. Кавитация // ЖЭТФ. 1942. Т. 12. № 11/12. С. 525.
- Скрипов В.П. Метастабильная жидкость. М.: Наука, 1972. 312 с.
- Байдаков В.Г. Спонтанное зародышеобразование в перегретых растворах гелия в метане // Коллоидный журнал. 2019. Т. 81. № 3. С. 281.
- Каган Ю.М. О кинетике кипения чистой жидкости // Журн. физ. хим. 1960. Т. 34. № 1. С. 92.
- Baidakov V.G., Kaverin A.M., Pankov A.S. Attainable Superheating of Liquid n-butane // Phys. Fluids. 2018. V. 30. P. 047102(5).
- Baidakov V.G., Grishina K.A. Capillary Constant and Surface Tension of Methane–Helium Solutions // Fluid Phase Equilib. 2013. V. 354. P. 245.
- Baidakov V.G., Kaverin A.M., Grishina K.A., Khotienkova M.N. Surface Tension of Alkanes Saturated with Helium or Hydrogen // Int. Phenomena Heat Transfer. 2018. V. 5. № 2. P. 97.
- Baidakov V.G., Kaverin A.M., Khotienkova M.N., Andbaeva V.N. Surface Tension of an Ethane–Nitrogen Solution: 1. Experiment and Thermodynamic Analysis of the Results // Fluid Phase Equilib. 2012. V. 328. P. 13.
- Kunz O., Wagner W. The GERG-2008 Wide-range Equation of State for Natural Gases and Other Mixtures: An Expansion of GERG-2004 // J. Chem. Eng. Data. 2012. V. 57. № 11. P. 3032.
- Baidakov V.G., Khotienkova M.N. Surface Tension of Methane–Nitrogen Solutions: 2. Description in the Framework of the van der Waals Gradient Theory// Fluid Phase Equilib. 2016. V. 424. P. 402.
- Baidakov V.G., Protsenko S.P., Bryukhanov V.M. Relaxation Processes at Liquid–Gas Interfaces in One- and Two-component Lennard–Jones Systems: Molecular Dynamics Simulation // Fluid Phase Equilib. 2019. V. 481. P. 1.
- Protsenko S.P., Baidakov V.G., Teterin A.S., Zhdanov E.R. Computer Simulation of Nucleation in a Gas-saturated Liquid // J. Chem. Phys. 2007. V. 126. № 9. P. 094502(14).
- Bryukhanov V.M., Baidakov V.G. Phase Equilibria and Stability Boundaries in a Two-component Lennard–Jones Mixture // Fluid Phase Equilib. 2022. V. 557. P. 113413.
Supplementary files






