Experimental Study of the Heat Transfer at Compressible Gas Flow with a Favorable Pressure Gradient
- Authors: Kiselev N.A.1, Malastovskii N.S.1,2, Zditovets A.G.1, Vinogradov Y.A.1
-
Affiliations:
- Institute of Mechanics, Moscow State University
- Bauman Moscow State Technical University
- Issue: Vol 61, No 4 (2023)
- Pages: 578-587
- Section: Articles
- URL: https://ogarev-online.ru/0040-3644/article/view/232754
- DOI: https://doi.org/10.31857/S0040364423040063
- ID: 232754
Cite item
Full Text
Abstract
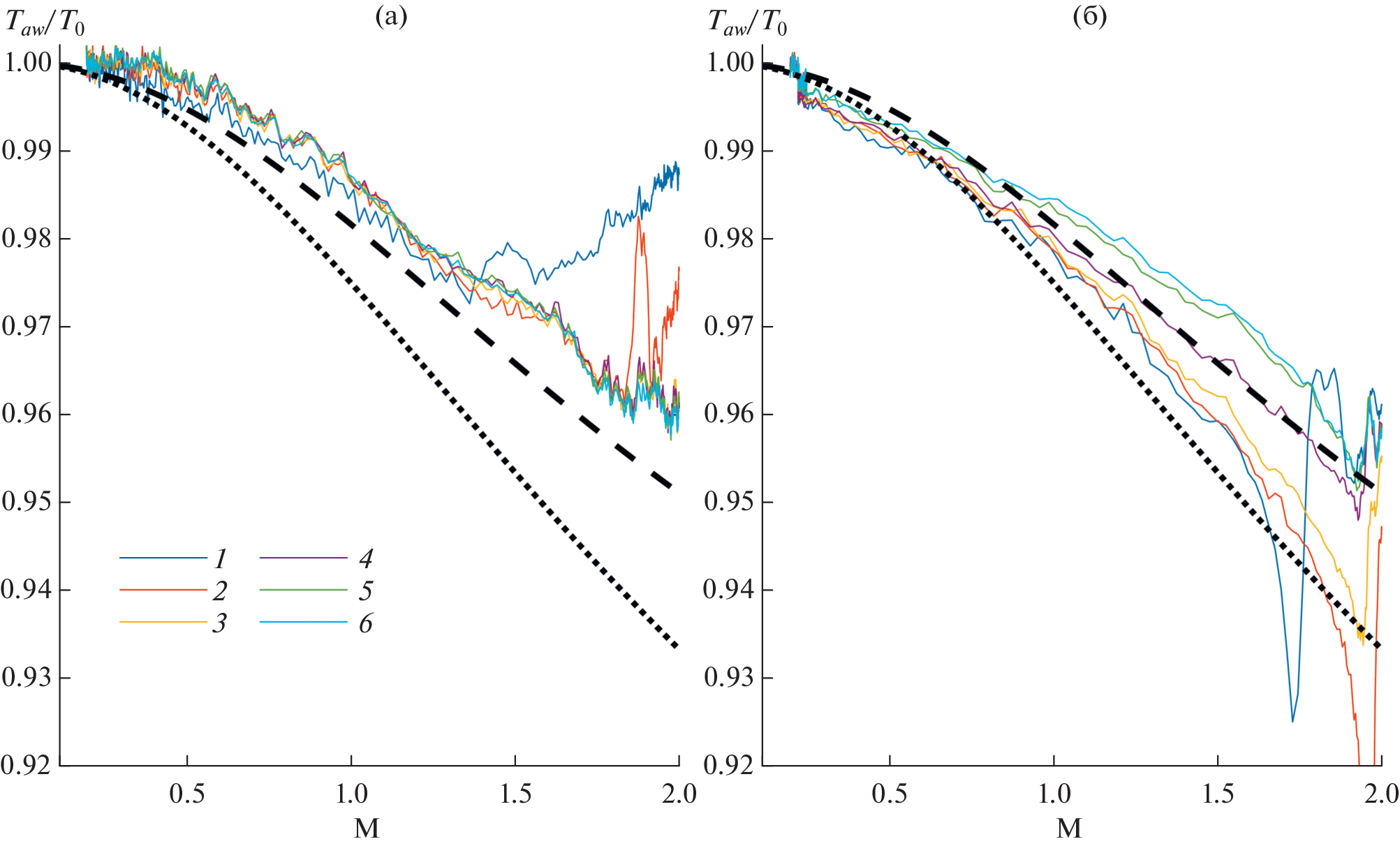
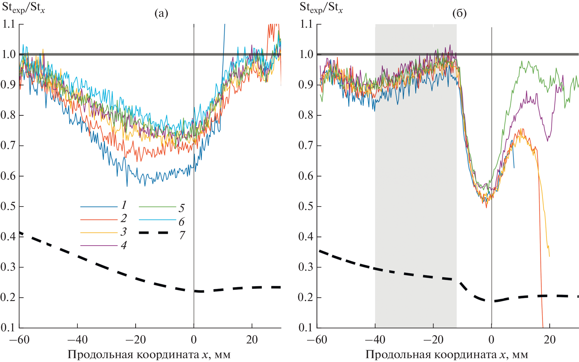
The parameters of heat transfer at compressible gas flow with a favorable pressure gradient have been experimentally studied. The heat transfer coefficients and the temperature of thermally insulated (adiabatic) wall are determined using the transient heat transfer method. To estimate the degree of flow laminarization, the results obtained are compared with the known dependences for the turbulent boundary layer developing on a plate in a zero-pressure gradient flow. Some regularities of the effect of flow acceleration on the heat transfer law are revealed for the studied configurations of supersonic nozzles.
About the authors
N. A. Kiselev
Institute of Mechanics, Moscow State University
Email: kiselev.nick.a@gmail.com
Moscow, Russia
N. S. Malastovskii
Institute of Mechanics, Moscow State University; Bauman Moscow State Technical University
Email: kiselev.nick.a@gmail.com
Moscow, Russia; 107005, Moscow, Russia
A. G. Zditovets
Institute of Mechanics, Moscow State University
Email: kiselev.nick.a@gmail.com
Moscow, Russia
Yu. A. Vinogradov
Institute of Mechanics, Moscow State University
Author for correspondence.
Email: kiselev.nick.a@gmail.com
Moscow, Russia
References
- Леонтьев А.И., Лущик В.Г., Макарова М.С., Попович С.С. Коэффициент восстановления температуры в сжимаемом пограничном слое // ТВТ. 2022. Т. 60. № 3. С. 455.
- Бурцев С.А., Киселёв Н.А., Леонтьев А.И. Особенности исследования теплогидравлических характеристик рельефных поверхностей // ТВТ. 2014. Т. 52. № 6. С. 895.
- Wilson D.G., Pope J.A. Convective Heat Transfer to Gas Turbine Blade Surfaces // Proc. Inst. Mech. Eng. 1954. V. 168. № 1. P. 861.
- Back L.H., Cuffel R.F., Massier P.F. Laminarization of a Turbulent Boundary Layer in Nozzle Flow–Boundary Layer and Heat Transfer Measurements with Wall Cooling // J. Heat Transfer. 1970. V. 92. № 3. P. 333.
- Back L.H., Cuffel R.F. Turbulent Boundary Layer and Heat Transfer Measurements Along a Convergent-Divergent Nozzle // J. Heat Transfer. 1971. V. 93. № 4. P. 397.
- Back L.H., Massier P.F., Gier H.L. Convective Heat Transfer in a Convergent-divergent Nozzle // Int. J. Heat Mass Transfer. 1964. V. 7. № 5. P. 549.
- Nash-Webber J.L., Oates G.C. An Engineering Approach to the Design of Laminarizing Nozzle Flows // J. Basic Eng. 1972. V. 94. № 4. P. 897.
- Mastanaiah K. Prediction of Skin-friction and Heat Transfer from Compressible Turbulent Boundary Layers in Rocket Nozzles // Int. J. Heat Mass Transfer. 1978. V. 21. № 11. P. 1403.
- Лебедев В.П., Леманов В.В., Мисюра С.Я., Терехов В.И. Влияние интенсивности турбулентности на эффективность газовой завесы в сопле Лаваля // ТВТ. 1995. Т. 33. № 4. С. 602.
- Волчков Э.П. Пристенные газовые завесы. Новосибирск: Наука, 1983. 240 с.
- Bons J. A Critical Assessment of Reynolds Analogy for Turbine Flows // J. Heat Transfer. 2005. V. 127. № 5. P. 472.
- Bons J.P., McClain S.T. The Effect of Real Turbine Roughness with Pressure Gradient on Heat Transfer // J. Turbomach. 2004. V. 126. № 3. P. 385.
- Mayle R.E. The 1991 IGTI Scholar Lecture: The Role of Laminar–Turbulent Transition in Gas Turbine Engines // J. Turbomach. 1991. V. 113. № 4. P. 509.
- Launder B.E. Laminarization of the Turbulent Boundary Layer by Acceleration. Tech Rep. 77. 1964.
- Moretti P.M., Kays W.M. Heat Transfer to a Turbulent Boundary Layer with Varying Free-stream Velocity and Varying Surface Temperature–an Experimental Study // Int. J. Heat Mass Transfer. 1965. V. 8. № 9. P. 1187.
- Bradshaw P. A Note on Reverse Transition // J. Fluid Mech. 1969. V. 35. № 2. P. 387.
- Preston J.H. The Minimum Reynolds Number for a Turbulent Boundary Layer and the Selection of a Transition Device // J. Fluid Mech. 1958. V. 3. № 4. P. 373.
- Chauhan K.A., Monkewitz P.A., Nagib H.M. Criteria for Assessing Experiments in Zero Pressure Gradient Boundary Lyers // Fluid Dyn. Res. 2009. V. 41. № 2.
- Jones W.P., Launder B.E. Some Properties of Sink-flow Turbulent Boundary Layers // J. Fluid Mech. 1972. V. 56. № 2. P. 337.
- Schraub F.A., Kline S.J. A Study of the Structures of the Turbulent Boundary Layer with and without Longitudinal Pressure Gradients. Stanford, California, 1965.
- Narayanan M.A.B., Ramjee V. On the Criteria for Reverse Transition in a Two-dimensional Boundary Layer Flow // J. Fluid Mech. 1969. V. 35. № 2. P. 225.
- Bader P., Pieringer P., Sanz W. On the Capability of Transition Models to Predict Relaminarization // 12th Eur. Conf. Turbomach. Fluid Dyn. Thermodyn. ETC. 2017. P. 1.
- Escudier M.P., Abdel-Hameed A., Johnson M.W., Sutcliffe C.J. Laminarisation and Re-transition of a Turbulent Boundary Layer Subjected to Favourable Pressure Gradient // Exp. Fluids. 1998. V. 25. № 5–6. P. 491.
- Mee D.J., Chiu H.S., Ireland P.T. Techniques for Detailed Heat Transfer Measurements in Cold Supersonic Blowdown Tunnels Using Thermochromic Liquid Crystals // Int. J. Heat Mass Transfer. 2002. V. 45. № 16. P. 3287.
- Bartz D.R. Turbulent Boundary-Layer Heat Transfer from Rapidly Accelerating Flow of Rocket Combustion Gases and of Heated Air // Adv. Heat Transfer. 1965. V. 2. № C. P. 1.
- Sucec J. An Integral Solution for Heat Transfer in Accelerating Turbulent Boundary Layers // J. Heat Transfer. 2009. V. 131. № 11. P. 1.
- Christoph G.H., Lessmann R.C., White F.M. Calculation of Turbulent Heat Transfer and Skin Friction // AIAA J. 1973. V. 11. № 7. P. 1046.
- Langtry R.B., Menter F.R. Correlation-based Transition Modeling for Unstructured Parallelized Computational Fluid Dynamics Codes // AIAA J. 2009. V. 47. № 12. P. 2894.
- Kays W.M., Moffat R.J., Thielbahr W.H. Heat Transfer to the Highly Accelerated Turbulent Boundary Layer With and Without Mass Addition // J. Heat Transfer. 1970. V. 92. № 3. P. 499.
- Kearney D.W., Kays W.M., Moffat R.J. Heat Transfer to a Strongly Accelerated Turbulent Boundary Layer: Some Experimental Results, Including Transpiration // Int. J. Heat Mass Transfer. 1973. V. 16. № 6. P. 1289.
- Mutama K.R., Iacovides H. The Investigation of Developing Flow and Heat Transfer in a Long Converging Duct // J. Heat Transfer. 1993. V. 115. № 4. P. 897.
- Hurst C., Schulz A., Wittig S. Comparison of Calculated and Measured Heat Transfer Coeffiecients for Transonic and Supersonic Boundary-layer Flows // Proc. ASME Turbo Expo. 1995.V. 4. P. 248.
- Schoenman L., Block P. Laminar Boundary-layer Heat Transfer in Low-thrust Rocket Nozzles // J. Spacecr. Rockets. 1968. V. 5. № 9. P. 1082.
- Stoll J., Straub J. Film Cooling and Heat Transfer in Nozzles // J. Turbomach. 1988. V. 110. № 1. P. 57.
- Sternberg J. Transition from a Turbulent to a Laminar Boundary Layer, U.S. Army Ballistics Re- search Lab. Rep. no. 906. Aberdeen, 1954.
- Овсянников А.М., Пирумов У.Г., Плетнева Е.М., Росляков Г.С. Атлас плоских сопел. М.: Изд-во Моск. ун-та, 1976. 108 с.
- Zucrow M.J., Hoffman J.D. Gas Dynamics. V. 2. Multidimensional Flow. N.Y.: John Wiley and Sons, Inc., 1977. 488 p.
- Rae W.H., Pope A. Low-speed Wind Tunnel Testing // Low-Speed Wind Tunnel Testing. 2nd ed. N.Y.: Jonh Wiley & Sons, 1984.
- Leontiev A.I., Zditovets A.G., Kiselev N.A., Vinogradov Y.A., Strongin M.M. Experimental Investigation of Energy (Temperature) Separation of a High-velocity Air Flow in a Cylindrical Channel with a Permeable Wall // Exp. Therm. Fluid Sci. 2019. V. 105.
- Кутателадзе С.С., Леонтьев А.И. Тепломассообмен и трение в турбулентном пограничном слое. М.: Энергия, 1972. 344 с.
- Волчков Э.П., Лебедев В.П. Тепломассообмен в пристенных течениях. Учеб. Новосибирск: Изд-во НГТУ, 2003. 244 с.
Supplementary files










