Response of Gas Bubbles in Spherical Clusters to a Single Underpressure Pulse
- Authors: Aganin A.A.1, Aganin I.A.1, Davletshin A.I.1, Nigmatulin R.I.1
-
Affiliations:
- Institute of Mechanics and Mechanical Engineering, Kazan Scientific Center, Russian Academy of Sciences
- Issue: Vol 61, No 1 (2023)
- Pages: 98-107
- Section: Heat and Mass Transfer and Physical Gasdynamics
- URL: https://ogarev-online.ru/0040-3644/article/view/138649
- DOI: https://doi.org/10.31857/S0040364423010131
- ID: 138649
Cite item
Full Text
Abstract
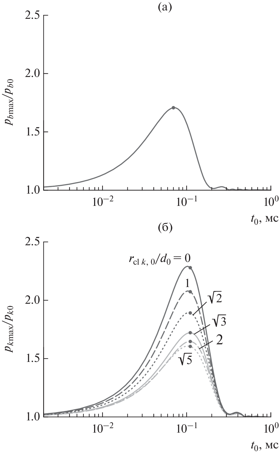
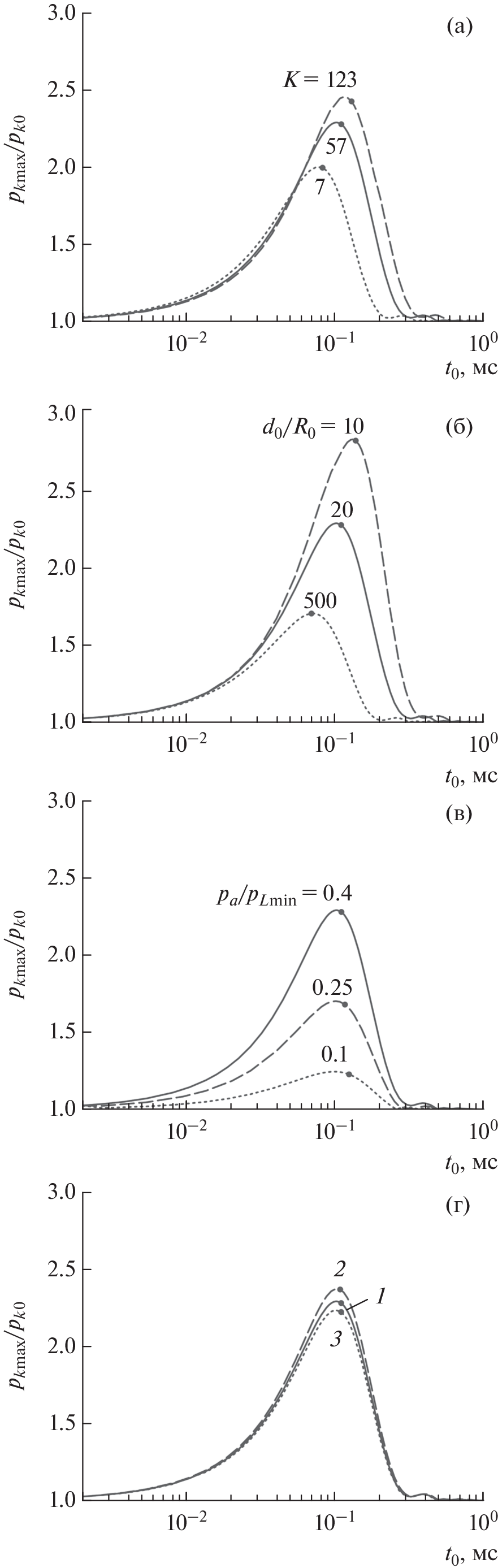
The paper studies the response of gas (air) bubbles in a spherical cluster to a single pulsed cosine-shaped decrease and subsequent recovery of the pressure of the surrounding liquid (water–glycerin mixture) with a pulse duration in the vicinity of the period of natural oscillations of the cluster. It is assumed that, during the response, all bubbles remain weakly nonspherical. The effect of the duration and amplitude of the excitation pulse, the position of bubbles in the cluster, the distance between bubbles, and the number of bubbles in the cluster is studied. Cubic clusters in which the centers of the bubbles are located at the nodes of a cubic grid, as well as clusters with a random arrangement of bubbles and with bubbles located at the center and vertices of a number of regular polyhedra nested in each other are considered. To estimate the effect of the interaction between bubbles, comparison with the response of a single bubble is made. One of the variants of discrete models of the dynamics of bubbles in a cluster is used, in which, along with radial oscillations, their spatial displacements and small nonspherical deformations are simulated. It has been established that, if the nonspherical deformations of the bubbles during the response are small, the maximum increase in pressure in the bubbles relative to its initial value is at most several-fold. If this assumption is ignored, significantly higher degrees of bubble compression can be obtained. The reason is that, when the condition of smallness of deformations is violated, the ranges of the parameters under consideration expand significantly.
About the authors
A. A. Aganin
Institute of Mechanics and Mechanical Engineering, Kazan Scientific Center, Russian Academy of Sciences
Email: aganel@gmail.com
420111, Kazan, Russia
I. A. Aganin
Institute of Mechanics and Mechanical Engineering, Kazan Scientific Center, Russian Academy of Sciences
Email: aganel@gmail.com
420111, Kazan, Russia
A. I. Davletshin
Institute of Mechanics and Mechanical Engineering, Kazan Scientific Center, Russian Academy of Sciences
Email: aganel@gmail.com
420111, Kazan, Russia
R. I. Nigmatulin
Institute of Mechanics and Mechanical Engineering, Kazan Scientific Center, Russian Academy of Sciences
Author for correspondence.
Email: aganel@gmail.com
420111, Kazan, Russia
References
- Нигматулин Р.И. Динамика многофазных сред. Т. 1. М.: Наука, 1987. 464 с.
- Нигматулин Р.И. Динамика многофазных сред. Т. 2. М.: Наука, 1987. 360 с.
- Кедринский В.К. Гидродинамика взрыва: эксперимент и модели. Новосибирск: Изд-во СО РАН, 2000. 434 с.
- Аганин А.А., Халитова Т.Ф. Деформация ударной волны при сильном сжатии несферических пузырьков // ТВТ. 2015. Т. 53. № 6. С. 923.
- Нигматулин Р.И., Аганин А.А., Ильгамов М.А., Топорков Д.Ю. Экстремальная фокусировка энергии при ударном сжатии парового пузырька в углеводородных жидкостях // ТВТ. 2019. Т. 57. № 2. С. 253.
- Brennen C.E. Bubbly Cloud Dynamics and Cavitation. Invited Lecture at the Acoustical Society of America Meeting. June 2007. Salt Lake City, Utah, 2007.
- Shimada M., Matsumoto Y., Kobayashi T. Dynamics of the Cloud Cavitation and Cavitation Erosion // Nippon Kikai Gakkai Ronbunshu, B-hen. 1999. V. 65. № 634. P. 1934.
- Ma J., Chahine G.L., Hsiao C.-T. Spherical Bubble Dynamics in a Bubbly Medium Using an Euler–Lagrange Model // Chem. Eng. Sci. 2015. V. 128. P. 64.
- Doinikov A.A. Translational Motion of Two Interacting Bubbles in a Strong Acoustic Field // Phys. Rev. E. 2001. V. 64. № 2. P. 026301.
- Harkin A., Kaper T.J., Nadim A. Coupled Pulsation and Translation of Two Gas Bubbles in a Liquid // J. Fluid Mech. 2001. V. 445. P. 377.
- Dear J.P., Field J.E. A Study of the Collapse of Arrays of Cavities // J. Fluid Mech. 1988. V. 190. P. 409.
- Blake J.R., Robinson P.B., Shima A., Tomita Y. Interaction of Two Cavitation Bubbles with a Rigid Boundary // J. Fluid Mech. 1993. V. 255. P. 707.
- Bremond N., Arora M., Ohl C.-D., Lohse D. Controlled Multibubble Surface Cavitation // Phys. Rev. Lett. 2006. V. 96. № 22. P. 224501.
- Kornfeld M., Suvorov L. On the Destructive Action of Cavitation // J. Appl. Phys. 1944. V. 15. P. 495.
- Chahine G.L. Pressure Generated by a Bubble Cloud Collapse // Chem. Eng. Commun. 1984. V. 28. № 4–6. P. 355.
- Matsumoto Y. Bubble and Bubble Cloud Dynamics // AIP Conf. Proc. 2000. V. 524. P. 65.
- Nigmatulin R.I., Akhatov I.Sh., Topolnikov A.S., Bolotnova R.Kh., Vakhitova N.K., Lahey R.T. Jr., Taleyarkhan R.P. Theory of Supercompression of Vapor Bubbles and Nanoscale Thermonuclear Fusion // Phys. Fluids. 2005. V. 17. № 10. P. 107106.
- Нигматулин Р.И., Лэхи Р.Т., Талейархан Р.П., Вест К.Д., Блок Р.С. О термоядерных процессах в кавитирующих пузырьках // УФН. 2014. Т. 184. № 9. С. 947.
- Wang Y.-C., Brennen C.E. Shock Wave Development in the Collapse of a Cloud of Bubbles // ASME Cavitation Multiphase Flow Forum. 1994. V. FED-194. P. 15.
- Wang Y.-C., Brennen C.E. The Noise Generated by the Collapse of a Cloud of Cavitation Bubbles // ASME/JSME Symp. on Cavitation and Gas-Liquid Flow in Fluid Machinery and Devices. 1995. V. FED-226. P. 17.
- Brennen C., Reisman G., Wang Y.-C. Shock Waves in Cloud Cavitation // 21st Symp. Naval Hydrodynamics. Washington, DC: National Acad. Press, 1997. P. 756.
- Reisman G.E., Wang Y.-C., Brennen C.E. Observations of Shock Waves in Cloud Cavitation // J. Fluid Mech. 1998. V. 355. P. 255.
- Wang Y.-C. Effects of Nuclei Size Distribution on the Dynamics of a Spherical Cloud of Cavitation Bubbles // J. Fluids Eng. 1999. V. 121. № 4. P. 881.
- Yoshizawa S., Sugiyama K., Matsumoto Y. Acoustic Emission from Micro Bubbles in Ultrasound Field // CAV 2001: 4th Int. Symp. on Cavitation. Pasadena, CA, USA: California Institute of Technology, 2001. Sess. A2. 003.
- Matsumoto Y., Yoshizawa S. Behaviour of a Bubble Cluster in an Ultrasound Field // Int. J. Numer. Me-thods Fluids. 2005. V. 47. № 6–7. P. 591.
- Насибуллаева Э.Ш., Ахатов И.Ш. Исследование диффузионной устойчивости пузырьков в кластере // ПМТФ. 2007. Т. 48. № 4. С. 40.
- Nasibullaeva E.S., Akhatov I.S. Bubble Cluster Dynamics in an Acoustic Field // JASA. 2013. V. 133. № 6. P. 3727.
- Галимзянов М.Н. Волны давления в трубе, заполненной жидкостью при наличии в ней пузырьковой области в форме тора // Многофазные системы. 2021. Т. 16. № 3–4. С. 112.
- Галимзянов М.Н., Гималтдинов И.К., Агишева У.О. О фокусировке волн давления в тороидальном пузырьковом кластере // Вестн. Башк. ун-та. 2022. Т. 27. № 2. С. 275.
- Doinikov A.A. Mathematical Model for Collective Bubble Dynamics in Strong Ultrasound Fields // JASA. 2004. V. 116. № 2. P. 821.
- Губайдуллин А.А., Губкин А.С. Особенности динамического поведения пузырьков в кластере, вызванные их гидродинамическим взаимодействием // Теплофизика и аэромеханика. 2015. Т. 22. № 4. С. 471.
- Aganin I.A., Davletshin A.I. Dynamics of Interacting Bubbles Located in the Center and Vertices of Regular Polyhedra // J. Phys.: Conf. Ser. 2020. V. 1588. P. 012001.
- Aganin I.A., Davletshin A.I. Dynamics of Gas Bubbles Inside a Ball-like Area at the Nodes of a Uniform Cubic Mesh under Sudden Liquid Pressure Rise // Lobachevskii J. Math. 2020. V. 41. № 7. P. 1148.
- Tiwari A., Pantano C., Freund J.B. Growth-and-collapse Dynamics of Small Bubble Clusters Near a Wall // J. Fluid Mech. 2015. V. 775. P. 1.
- Aganin A.A., Davletshin A.I. Equations of Interaction of Weakly Non-spherical Gas Bubbles in Liquid // Lobachevskii J. Math. 2018. V. 39. № 8. P. 1047.
- Aganin I.A., Davletshin A.I. Dynamics of Gas Bubbles in a Cluster under their Pressure Rise // Lobachevskii J. Math. 2021. V. 42. P. 2082.
- D’Agostino L., Brennen C.E. Linearized Dynamics of Spherical Bubble Clouds // J. Fluid Mech. 1989. V. 199. P. 155.
- Ma J., Hsiao C.T., Chahine G.L. Numerical Study of Acoustically Driven Bubble Cloud Dynamics near a Rigid Wall // Ultrason. Sonochem. 2018. V. 40. P. 944.
Supplementary files








