Температурная зависимость теплофизических свойств и изменений термодинамических функций сплавов системы Mg‒La
- Авторы: Ганиев И.Н.1, Сафаров А.Г.2, Додхоев Э.С.1, Ботуров К.2, Якубов У.Ш.1, Холмуродов Ф.2
-
Учреждения:
- Институт химии им. В.И. Никитина НАН Таджикистана
- Физико-технический институт им. С.У. Умарова НАН Таджикистана
- Выпуск: Том 61, № 1 (2023)
- Страницы: 36-40
- Раздел: Теплофизические свойства веществ
- URL: https://ogarev-online.ru/0040-3644/article/view/138615
- DOI: https://doi.org/10.31857/S0040364423010210
- ID: 138615
Цитировать
Полный текст
Аннотация
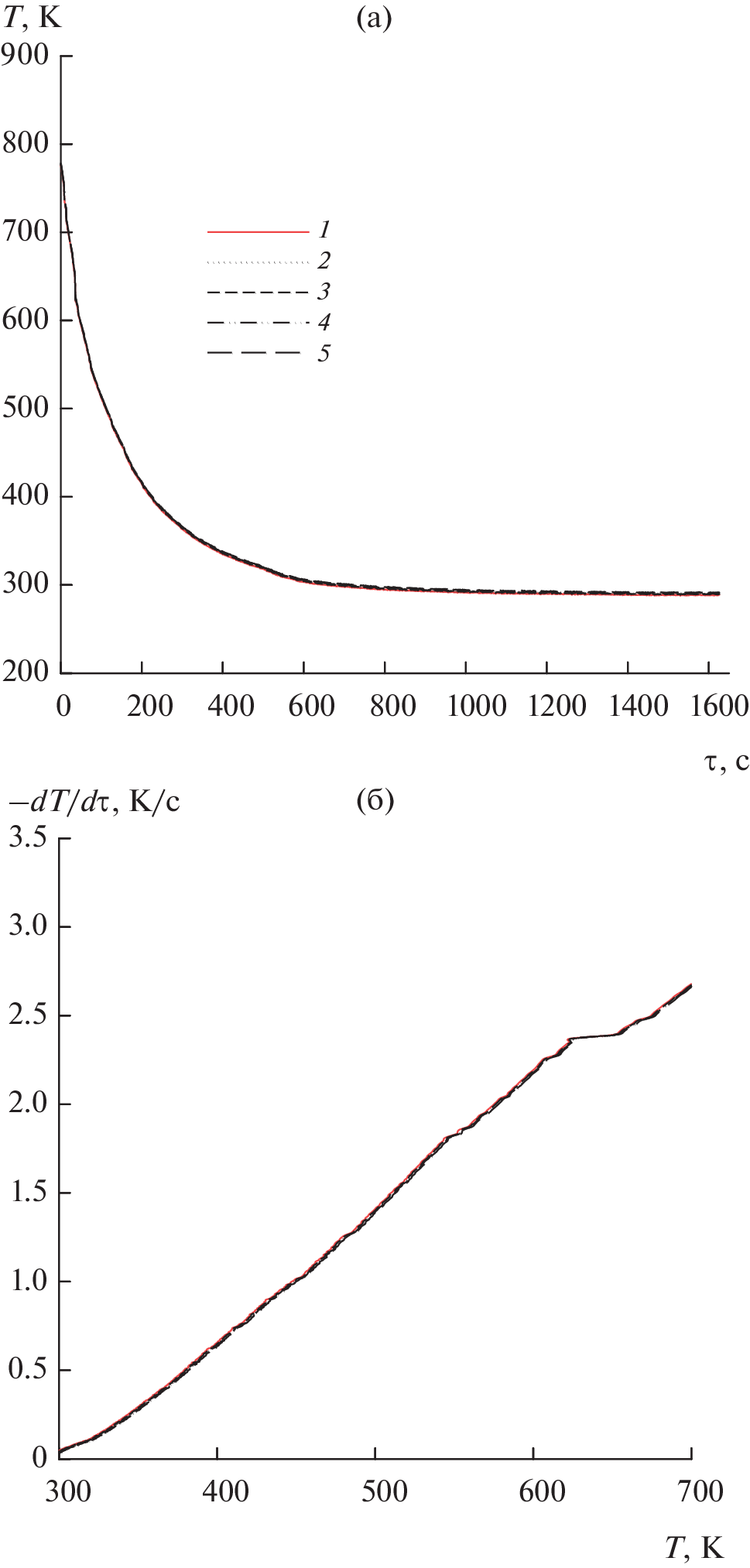
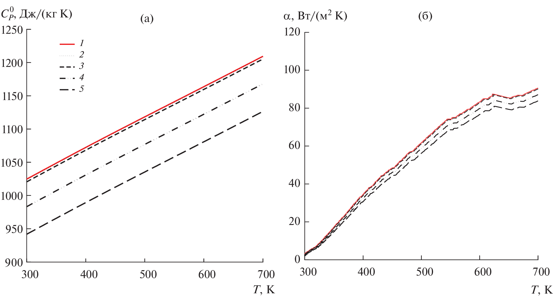
В режиме охлаждения исследована температурная зависимость удельной теплоемкости и изменений термодинамических функций сплавов системы Mg–La в интервале температур 300–700 К. Показано, что с увеличением концентрации лантана теплоемкость магния особенно при добавке лантана от 5 до 10% заметно уменьшается, а с ростом температуры растет. Установлено, что с ростом температуры энтальпия и энтропия сплавов увеличиваются, а значения энергии Гиббса уменьшаются. Зависимость этих функций от содержания лантана в магнии имеет обратный характер.
Об авторах
И. Н. Ганиев
Институт химии им. В.И. Никитина НАН Таджикистана
Email: ganievizatullo48@gmail.com
Таджикистан, Душанбе
А. Г. Сафаров
Физико-технический институт им. С.У. Умарова НАН Таджикистана
Email: ganievizatullo48@gmail.com
Таджикистан, Душанбе
Э. С. Додхоев
Институт химии им. В.И. Никитина НАН Таджикистана
Email: ganievizatullo48@gmail.com
Таджикистан, Душанбе
К. Ботуров
Физико-технический институт им. С.У. Умарова НАН Таджикистана
Email: ganievizatullo48@gmail.com
Таджикистан, Душанбе
У. Ш. Якубов
Институт химии им. В.И. Никитина НАН Таджикистана
Email: ganievizatullo48@gmail.com
Таджикистан, Душанбе
Ф. Холмуродов
Физико-технический институт им. С.У. Умарова НАН Таджикистана
Автор, ответственный за переписку.
Email: ganievizatullo48@gmail.com
Таджикистан, Душанбе
Список литературы
- Лякишев Н.П. Диаграммы состояния двойных металлических систем. М.: Машиностроение, 1996‒2001. Т. 1–3.
- Эйдензон М.А. Магний. М.: Металлургия, 1969. 352 с.
- Магниевые сплавы для современной техники. Сб. науч. тр. М.: Наука, 1992. 192 с.
- Портной К.И., Лебедев А.Л. Магниевые сплавы. Свойства и технология. Спр. М.: Гос. науч.-техн. изд-во лит. по черной и цветной металлургии, 1952. 736 с.
- Белоусов Н.Н. Плавка и разливка сплавов цветных металлов. Л.: Машиностроение, 1981. 80 с.
- Липницкий А.М., Морозов И.В. Технология цветного литья. Л.: Машгиз, 1986. 224 с.
- Воздвиженский В.М. Литейные сплавы и технология их выплавки в машиностроении. М.: Машиностроение, 1984. 432 с.
- Рейнор Г.В. Металловедение магния и его сплавов. Пер с англ. М.: Металлургия, 1964. 487 с.
- Эмли Е.Ф. Основы технологии производства и обработки магниевых сплавов. М.: Металлургия, 1972. 488 с.
- Зиновьев В.Е. Теплофизические свойства металлов при высоких температурах. Спр. изд. М.: Металлургия, 1989. 384 с.
- Старк Б.В. Явления нагрева в муфельных печах // Журнал русского металлургического общества. 1926. № 2. С. 184.
- Иванцов Г.П. Нагрев металла (теория и методы расчета). Свердловск. М.: Гос. науч.-техн. изд-во лит. по черной и цветной металлургии, 1948. 191 с.
- Ганиев И.Н., Якубов У.Ш., Джураева М.Ш., Сафаров А.Г. Влияние добавок галлия на теплоемкость и термодинамические функции алюминиевого сплава АЖ5К10 // Изв. СПб. гос. технол. ин-та (техн. ун-та). 2021. № 59. С. 66.
- Ганиев И.Н., Окилов Ш.Ш., Эшов Б.Б., Муллоева Н.М., Якубов У.Ш. Температурная зависимость теплоемкости и изменений термодинамических функций свинцово-сурьмяного сплава ССу3 c калием // Вестн. Каз. гос. техн. ун-та им. А.Н. Туполева. 2021. Т. 77. № 1. С. 24.
- Ганиев И.Н., Содикова С.С., Якубов У.Ш., Алихонова С.Д. Влияние алюминия на удельную теплоемкость и изменениe термодинамических функций цинка // Ползуновский вестник. 2021. № 3. С. 208.
- Ганиев И.Н., Абдулаков А.П., Джайлоев Д.Х., Якубов У.Ш., Сафаров А.Г., Абулхаев В.Д. Влияние добавок висмута на теплофизические и термодинамические свойства алюминиевого проводникового сплава E-AlMgSi (Алдрей) // Изв. вузов. Материалы электронной техники. 2020. Т. 23. № 1. С. 86.
- Якубов У.Ш., Ганиев И.Н., Махмадизода М.М., Сафаров А.Г., Ганиева Н.И. Влияние стронция на температурную зависимость удельной теплоемкости и изменение термодинамических функций сплава АЖ5К10 // Вестн. СПб. гос. ун-та технологии и дизайна. Сер. 1: Естественные и технические науки. 2018. № 3. С. 61.
- Худойбердизода С.У., Ганиев И.Н., Отаджонов С.Э., Эшов Б.Б., Якубов У.Ш. Влияние меди на теплоемкость и изменения термодинамических функций свинца // ТВТ. 2021. Т. 59. № 1. С. 55.
- Ганиев И.Н., Окилов Ш.Ш., Эшов Б.Б., Муллоева Н.М., Якубов У.Ш. Влияние добавок натрия на температурную зависимость теплоемкости и изменений термодинамических функций свинцово-сурьмяного сплава ССу3 // Вестн. СПб. гос. ун-та технологии и дизайна. Сер. 1: Естественные и технические науки. 2021. № 1. С. 89.
- Ганиев И.Н., Сафаров А.Г., Асоев М.Дж., Якубов У.Ш., Одинаев Ф.Р., Кабутов К. Термодинамические функции сплавов системы Al–Sn // Химия. Экология. Урбанистика. 2021. Т. 2021. № 1. С. 410.
- Ганиев И.Н., Сафаров А.Г., Асоев М.Дж., Якубов У.Ш., Кабутов К. Температурная зависимость теплофизических свойств и термодинамических функций сплавов системы Al–Sn // Вестн. Сиб. гос. индустр. ун-та. 2021. № 1(35). С. 35.
- Ганиев И.Н., Назарова М.Т., Якубов У.Ш., Сафаров А.Г., Курбонова М.З. Влияние лития на удельную теплоемкость и изменения термодинамических функций алюминиевого сплава АБ1 // ТВТ. 2020. Т. 58. № 1. С. 55.
Дополнительные файлы




