Прогнозирование нанофильтрационной очистки промышленных растворов от ионов металлов на основе теорий конвективной диффузии и гидродинамики
- Авторы: Лазарев С.И.1, Протасов Д.Н.1, Абоносимов О.А.1, Лазарев Д.С.1, Шестаков К.В.1
-
Учреждения:
- Тамбовский государственный технический университет
- Выпуск: Том 57, № 3 (2023)
- Страницы: 325-334
- Раздел: Статьи
- Статья опубликована: 01.05.2023
- URL: https://ogarev-online.ru/0040-3571/article/view/138473
- DOI: https://doi.org/10.31857/S0040357123030090
- EDN: https://elibrary.ru/RPFWXZ
- ID: 138473
Цитировать
Полный текст
Аннотация
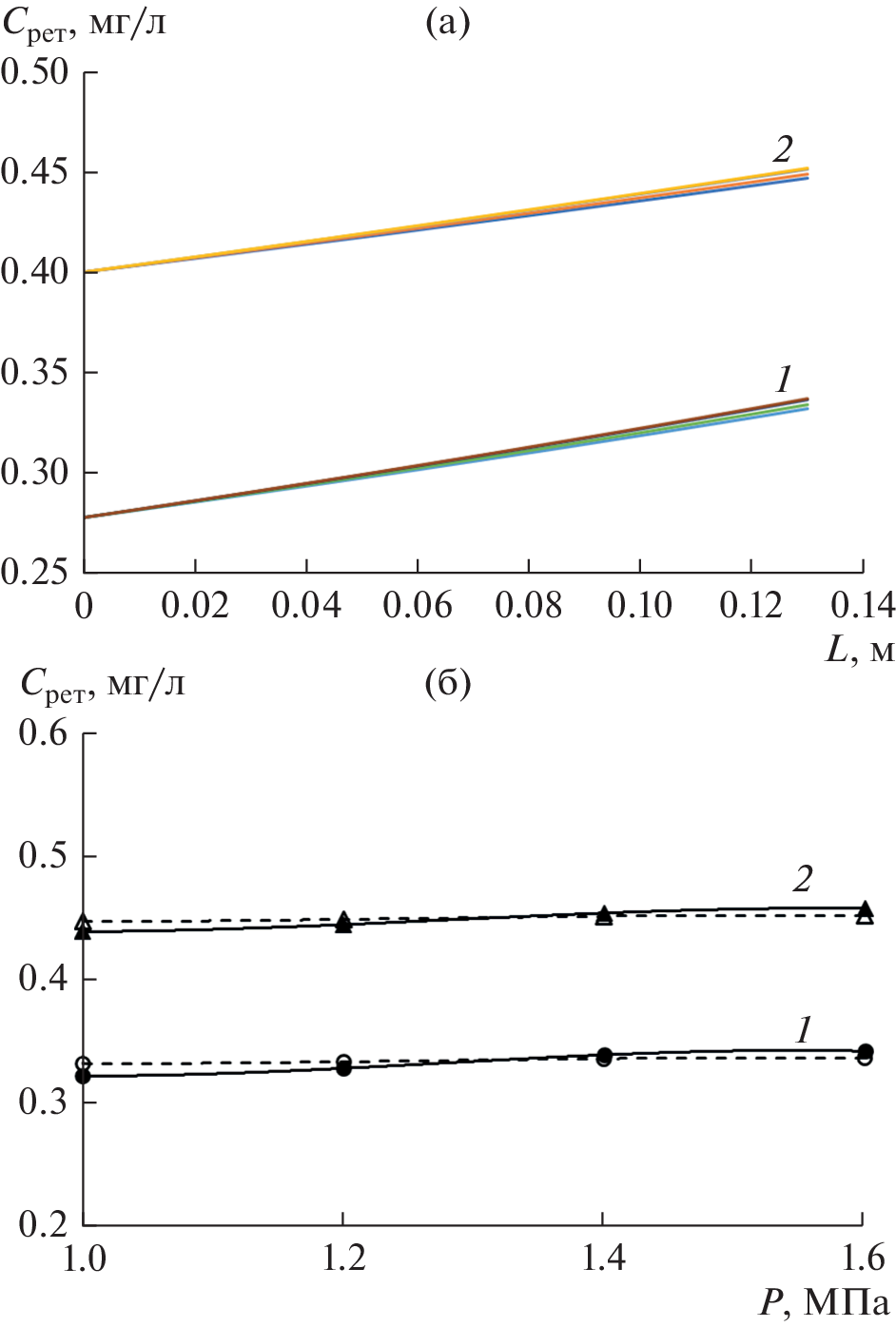
В работе проанализировано состояние проблемы теоретического прогнозирования коэффициента задержания и удельного выходного потока для очистки или концентрирования промышленных растворов во всем в цикле нанофильтрационного разделения промышленных растворов, содержащих ионы металлов. Для прогнозирования нанофильтрационного процесса разработана математическая модель, основанная на решении уравнений конвективной диффузии, уравнения Навье–Стокса и уравнения неразрывности потока с применением полярной системы координат. Теоретические результаты, полученные в результате решения системы уравнений позволяют оценить качество и производительность нанофильтрационного разделения, путем расчета концентраций в трактах пермеата и ретентата и объема пермеата. Оценка адекватности разработаного метода производилась путем сравнения рассчитанных по модели данных с экспериментальными, полученными на нанофильтрационной установке при разделении растворов, содержащих катионы Cr3+ и Zn2+, с применением полупроницаемых мембран ОПМН-П и АМН-П.
Ключевые слова
Об авторах
С. И. Лазарев
Тамбовский государственный технический университет
Email: kostyanshestakov@mail.ru
Россия, Тамбов
Д. Н. Протасов
Тамбовский государственный технический университет
Email: kostyanshestakov@mail.ru
Россия, Тамбов
О. А. Абоносимов
Тамбовский государственный технический университет
Email: kostyanshestakov@mail.ru
Россия, Тамбов
Д. С. Лазарев
Тамбовский государственный технический университет
Email: kostyanshestakov@mail.ru
Россия, Тамбов
К. В. Шестаков
Тамбовский государственный технический университет
Автор, ответственный за переписку.
Email: kostyanshestakov@mail.ru
Россия, Тамбов
Список литературы
- Кузнецова Е.Ю., Акулова А., Мотовилов А.В. Проблемы и решения переработки и утилизации сточных вод гальванических производств // Евразийский Союз Ученых. 2016. № 3–4(24). С. 109.
- Мосталыгина Л.В., Костин А.В., Шерстобитов Г.С., Прокопьева Е.А., Мосталыгин А.Г., Бирюков М.Ф. Изучение качественного состава гальванического отхода от очистки гальванической ванны и возможностей его обезвреживания // Вестник КГУ. 2014. № 2(33). С. 88.
- Белогородская М.Ю., Игнаткина Д.О., Юрьев Ю.Ю., Тимофеев А.Г., Нестерчук А.В. Повышение качества очистки сточных вод машиностроительных предприятий, использующих хромовый ангидрид // Инженерно-строительный вестник Прикаспия. 2021. № 4(38). С. 33.
- Первов А.Г., Спицов Д.В. Разделение высокоминерализованных стоков установок ионного обмена с применением нанофильтрационных мембран // Системные технологии. 2021. № 2(39). С. 34.
- Filippov A.N., Iksanov R.H., Kononenko N.A., Berezina N.P., Falina I.V. Theoretical and experimental study of asymmetry of diffusion permeability of composite membranes // Colloid. J. 2010. 72(2). P. 243.
- Кисель А.В. Опреснение морской воды черного, азовского и каспийского морей методами мембранных технологий // Вестник науки. 2019. № 2(11). С. 79.
- Бурдо О.Г., Терзиев С.Г., Мордынский В.П., Сиротюк И.В., Фатеева Я.А., Молчанов М.Ю. Разработка низкотемпературной установки блочного типа для деминерализации морской воды // Проблемы региональной энергетики. 2022. № 2(54). С. 13.
- Винницкий В.А., Чугунов А.С., Ершов М.В. Влияние расхода ретентата на мембранное разделение бинарных растворов хлоридов натрия, магния и кальция // Изв. вузов. Химия и хим. технология. 2021. № 10. С. 46.
- Антипова Л.В., Титов С.А., Жданов В.Н., Карпак А.Н. Использование измерений внутреннего трения для исследования ультра- и нанофильтрации модифицированной творожной сыворотки // Вестник ВГУИТ. 2018. № 4(78). С. 298.
- Sloan J.M. Following multicomponent diffusion in polymers by FT-IR-ATR. The Pittsburgh Conference on Analytical Chemistry and Applied Spectroscopy “Science for 21st Century”, March 12–17, 2000. NewOrleans, LA, 2000. P. 1784.
- Ridgway H.F., Orbell G., Gray S. Molecular simulations of polyamide membrane materials used in desalination and water reuse applications: Recent developments and future prospects // J. Membrane Science. 2017. V. 524. P. 436.
- Cha M., Boo C., Park C. Simultaneous retention of organic and inorganic contaminants by a ceramic nanofiltration membrane for the treatment of semiconductor wastewater // Process Safety and Environmental Protection. 2022. V. 159. P. 525.
- Лазарев С.И., Ковалев С.В., Коновалов Д.Н., Луа П. Электрохимические и транспортные характеристики мембранных систем при электронанофильтрационном разделении растворов, содержащих нитрат аммония и сульфат калия // Электрохимия. 2021. Т. 57. № 6. С. 355. [Lazarev S.I., Kovalev S.V., Konovalov D.N., Lua P. Electrochemical and transport characteristics of membrane systems in the electronanofiltration separation of solutions containing ammonium nitrate and potassium sulfate // Russian Journal of Electrochemistry. 2021. V. 57. № 6. P. 607.]
- Goosen M.F.A., Sablani S.S., Al-Maskari S.S., Al-Belushi R.H., Wilf M. Effect of feed temperature on permeate flux and mass transfer coefficient in spiral-wound reverse osmosis systems // Desalination. 2002. V. 144. № 1–3. P. 367.
- Шестаков К.В., Лазарев С.И., Хохлов П.А., Полянский К.К. Прогнозирование процесса электрохимического баромембранного разделения промышленных растворов на основе фрикционной теории // Теор. Основы Хим. Техн. 2021. Т. 55. № 6. С. 754 [Shestakov K.V., Lazarev S.I., Khokhlov P.A., Polyanskii K.K. Predicting the electrochemical pressure-driven membrane separation of industrial solutions using friction theory // Theoretical Foundations of Chemical Engineering. 2021. V. 55. № 6. P. 1221.]
- Байков В.И., Зновец П.К. Ультрафильтрация в плоском канале с одной проницаемой поверхностью // ИФЖ. 1999. Т. 72. № 1. С. 32. [Baikov V.I., Znovets P.K. Ultrafiltration in a Plane Channell with One Permeable Surface // Journal of engineering physics and thermophysics. 1999. V. 72. № 1. P. 32.]
- Муравьев Л.Л. Моделирование работы обратноосмотических установок с рулонными фильтрующими элементами // Химия и технология воды. 1989. Т. 11. № 1. С. 107.
- Абоносимов О.А., Лазарев С.И., Ковалев С.В., Рябинский М.А. К вопросу математического моделирования массопереноса в баромембранных аппаратах рулонного типа // Изв. вузов. Химия и хим. технология. 2007. Т. 50. № 8. С. 64.
- Родионов Д.А., Лазарев С.И., Протасов Д.Н., Абоносимов О.А., Полянский К.К. Математическая модель процесса ультрафильтрационного концентрирования вторичного молочного сырья в трубчатом мембранных аппаратах с фильтрующими элементами типа БТУ 05/2. // Вестник Воронежского государственного университета инженерных технологий. 2021. Т. 83. № 1(87). С. 36–43.
- Кругликов С.С., Архипов Е.А., Жирухин Д.А., Смирнов К.Н., Ваграмян Т.А., Колесников В.А., Филатова Е.А. Повышение эффективности электромембранных процессов на участке электрохимического кадмирования // Теор. основы хим. техн. 2021. Т. 55. № 3. С. 286 [Kruglikov S.S., Arkhipov E.A., Zhirukhin D.A., Smirnov K.N., Vagramyan T.A., Kolesnikov V.A., Filatova E.A. Increasing the efficiency of electromembrane processes in the area of electrochemical cadmium plating // Theoretical Foundations of Chemical Engineering. 2021. V. 55. № 3. P. 359].
- Лазарев С.И., Ковалева О.А., Попов Р.В., Ковалев С.В., Игнатов Н.Н. Электромембранная очистка сточных вод химических производств от ионов Cr6+, Zn2+, , Сl– // Изв. вузов. Химия и хим. технология. 2018. Т. 61. Вып. 4–5. С. 119–125.
Дополнительные файлы






