Natural regeneration of Picea abies (Pinaceae) in mid-boreal bilberry-type spruce forest: growth, root system development and nutrient uptake in different microsites
- Authors: Kireeva A.V.1, Novichonok E.V.1, Sofronova I.N.1, Genikova N.V.1, Afoshin N.V.1
-
Affiliations:
- Karelian Research Centre of the Russian Academy of Sciences
- Issue: Vol 60, No 3 (2024)
- Pages: 44-62
- Section: Biology of Resource Species
- URL: https://ogarev-online.ru/0033-9946/article/view/277364
- DOI: https://doi.org/10.31857/S0033994624030034
- EDN: https://elibrary.ru/PUDJBW
- ID: 277364
Cite item
Full Text
Abstract
The study investigated the effects of the microsites (intact forest floor, logs, tree-fall holes with ruined forest floor) on growth, root system development, and nutrient uptake in naturally regenerating Norway spruce (Picea abies (L.) H. Karst) plants in a mid-boreal bilberry-type spruce stand. We detected no significant effect of the microsites on the plants’ relative height increment. Relative trunk diameter increment rates were the highest in plants developing on logs and the lowest in tree-fall holes. There are functional and morphological distinctions in the organization of root systems in microsites of different types. In log microsites (nutrient-rich substrate, no root competition from the keystone species), root systems are able to utilize the substrate’s resources through the extensive (increase in specific length of conducting roots) as well as the intensive (increase in the average absorbing root length and surface area of ectomycorrhiza (EM) and ectendomycorrhiza (EEM)) pathways. The plants “invest” more efficiently in the growth of conducting roots – spending less organic matter to form longer conducting roots. The removal of the forest floor (top organic layer of soil) in tree-fall holes causes a reduction in nutrient content in the substrate. In this situation, root systems are modified to augment the uptake of soil resources (increase in the specific area of fine roots and surface area of EM), providing the plants with sufficient amount of nutrients to maintain a growth rate comparable to that of the plants in undisturbed-soil microsites.
Full Text
В естественных условиях лесных сообществ в результате процессов старения и отмирания деревьев, а также происходящих ветровалов и пожаров формируется мозаичная структура с различными микроклиматическими условиями и ресурсами. Формируемая в результате локальная неоднородность условий (микроместообитание) определяет видовой состав древесных пород, способствует увеличению разнообразия видов и динамической устойчивости экосистемы в целом [1–4].
Нарушения, связанные с гибелью отдельных деревьев, играют важную роль в поддержании постоянной структуры, видового состава и функционировании бореальных лесных сообществ [5–9]. Одним из наиболее значимых факторов естественной динамики бореальных лесов являются ветровалы. В результате вывала единичных деревьев формируются ветровально-почвенные комплексы (ВПК): образуются окна в пологе, меняется микро- и мезорельеф, а также структура почвы на долгие годы [10]. Распределение элементов ВПК, включая пул крупных древесных остатков (КДО), сохраняется десятилетиями, а суммарная площадь ВПК в бореальных лесах занимает до четверти всей площади экосистемы [10, 11]. Формирование дефектов поверхности и полное удаление лесной подстилки на элементах ВПК увеличивают гетерогенность среды и создают новые микроместообитания.
В многочисленных исследованиях было показано, что естественное возобновление ели обыкновенной (Picea abies (L.) H. Karst) в бореальных лесах произрастает на валежной древесине (в том числе на пнях), участках микропонижений ВПК с нарушенной лесной подстилкой и на ненарушенной почве [6, 12–17]. Влияние микроместообитания на процессы возобновления ели европейской (прорастание, выживаемость и скорость роста) обусловлено напочвенным покровом, локальным микроклиматом, субстратом и биотическими отношениями [18–22].
Рост растений в бореальных лесах часто ограничен низким содержанием азота и фосфора в почве [23–25]. Поглощению питательных веществ способствует ассоциация корней древесных растений с эктомикоризными грибами [26, 27]. Помимо улучшения минерального питания микоризные грибы способствуют поддержанию корневой гидравлической проводимости (путем поддержания контакта между почвой и корнями) [28]. Корневая система ели европейской поверхностная [29, 30], основная масса тонких корней размещена в верхних слоях почвы [31]. В связи с этим ель европейская чувствительна к влажности субстрата и характеризуется низкой устойчивостью к засухе [32, 33], что критично на начальных этапах роста. Корневая система ели европейской пластична и способна адаптироваться к изменению условий среды [30]. Развитие корневой системы и особенно поглощающих тонких корней [34–38], их ассоциация с эктомикоризными грибами и ризосферными бактериальными сообществами имеют огромное значение для получения питательных веществ древесными растениями. Выживание и рост молодых растений во многом определяются успешностью развития корней и поглощения почвенных ресурсов, что определяет их конкурентоспособность.
В подавляющем большинстве исследований, касающихся роли микроместообитаний в процессах естественного возобновления ели европейской, основное внимание сосредоточено на оценке прорастания, приживаемости и густоте растений в условиях разных форм микрорельефа и субстрата произрастания [например, 7, 8, 22]. При этом практически не рассматриваются функционально-морфологические особенности корневой системы и морфолого-анатомические характеристики сосущих корней. Проведенное в лабораторных условиях изучение роста и поглощения питательных веществ молодыми растениями ели европейской на разных субстратах (минеральный почвенный горизонт, лесная подстилка и валежная древесина) дает представление о его влиянии [39], но не позволяет в полной мере переносить полученные закономерности на процессы, происходящие в естественных условиях в лесу. Влияние условий микроместообитаний, характерных для естественного возобновления ели европейской, на формирование корней, развитие микоризы и поглощение питательных веществ практически не изучалось.
Цель настоящей работы состоит в изучении особенностей развития естественного возобновления P. abies в условиях разных микроместообитаний в ельнике черничном. В задачи исследования входило изучение (1) скорости роста, (2) особенностей развития корневой системы и (3) распределения основных биогенных элементов (углерод, азот, фосфор, калий) в системе почва-растение в условиях ненарушенной почвы, валежа поздних классов разложения и микропонижений ВПК с ранее нарушенной лесной подстилкой.
МАТЕРИАЛ И МЕТОДЫ
Исследования проведены в подзоне средней тайги на территории Республики Карелия близ ст. Падозеро (61°5′ с. ш., 33°5′ в. д.). Работы выполнены в 80-летнем ельнике черничном на временной пробной площади. В древостое кроме ели европейской единично произрастали береза (Betula spp.) и осина (Populus tremula L.), в подлеске — рябина (Sorbus aucuparia L.). Средняя сомкнутость древесного полога составляла 0.75. В травяно-кустарничковом ярусе преобладали черника (Vaccinium myrtillus L.) (проективное покрытие — 30%), брусника (Vaccinium vitis-idaea L.) (20%), в мохово-лишайниковом ярусе — зеленые мхи (Hylocomium splendens (Hedw.) Schimp., Pleurozium schreberi Mitt.).
В пределах пробной площади были выбраны микроместообитания, отличающиеся формой микрорельефа и субстратом, на которых произрастали особи естественного возобновления ели европейской: (1) относительно ровные участки с ненарушенной структурой почвенных горизонтов (далее в тексте «Ненарушенная лесная подстилка»), (2) микропонижения ВПК с нарушенной ранее лесной подстилкой («Микропонижение ВПК») и (3) разлагающаяся древесина валежных стволов («Валежный ствол»). Варианты микроместообитаний «ненарушенная лесная подстилка» и «валежный ствол» представлены в трех повторностях, «микропонижения ВПК» — в четырех повторностях. Участки микропонижений ВПК были образованы в результате вывала взрослых деревьев ели европейской. На момент нашего исследования это микроместообитание после естественного восстановления растительности практически не отличается от участков с ненарушенным почвенным покровом по характеристикам толщины опада и подстилки (табл. 1). На валежных стволах ели европейской 3–4 классов разложения толщина опада была меньше, по сравнению с остальными микроместообитаниями, и в покрове преобладали растения мохово-лишайникового яруса.
Таблица 1. Характеристика микроместообитаний естественного возобновления ели европейской
Table 1. Characteristics of microsites with naturally regenerating Norway spruce
Микроместообитание Microsite | Сомкнутость полога, % Canopy closure, % | Толщина опада, мм Plant litter thickness, mm | Толщина лесной подстилки, мм Forest floor thickness, mm | Проективное покрытие, % Projective cover, % | ||
Общее проективное покрытие Total projective cover | Мохово- лишайниковый ярус Moss-lichen layer | Травяно- кустарничковый ярус Tree-shrub layer | ||||
Ненарушенная лесная подстилка Intact forest floor | 0.8 | 1.9 ± 0.2 | 4.9 ± 0.1 | 66.7 ± 3.3 | 18.3 ± 7.3 | 60.0 ± 5.8 |
Валежный ствол Log | 0.7 | 0.8 ±0.3 | 4.6 ± 0.3 | 70.0 ± 10.0 | 55.0 ± 25.0 | 32.5 ± 7.5 |
Микропонижение ВПК Tree-fall hole | 0.8 | 1.3 ± 0.3 | 4.8 ± 0.5 | 62.5 ± 6.3 | 38.8 ± 14.2 | 43.8 ± 7.5 |
Осенью (конец октября) с каждого типа микроместообитания было отобрано по 10 растений естественного возобновления ели европейской. Отбирались одноствольные растения высотой до 30 см, у которых хвоя не имеет признаков побурения и пожелтения. Визуально отмечался прирост текущего года на главном и боковых побегах. Характеристика растений представлена в таблице 2. Одновременно из корнеобитаемого слоя под каждым растением были отобраны образцы субстрата.
Таблица 2. Основные характеристики естественного возобновления ели европейской в условиях разных микроместообитаний (в скобках указаны пределы колебаний значений)
Table 2. Main characteristics of Norway spruce natural regeneration in different microsites (range of variation given in parentheses)
Микроместообитание Microsite | Возраст, лет Age, years | Высота, см Height, cm | Диаметр ствола, мм Diameter, mm |
Ненарушенная лесная подстилка Intact forest floor | 7.6 ± 1.0 (4.0–12.0) | 16.0 ± 1.2 (10.9–21.1) | 2.7 ± 0.2 (1.2–3.6) |
Валежный ствол Log | 6.3 ± 1.1 (4.0–11.0) | 18.4 ± 2.0 (14.1–24.5) | 3.2 ± 0.3 (1.9–4.4) |
Микропонижение ВПК Tree-fall hole | 9.0 ± 0.6 (7.0–12.0) | 20.3 ± 1.4 (15.2–25.7) | 2.8 ± 0.2 (1.8–3.9) |
Биометрические исследования
У всех растений были определены высота и диаметр стволика. Диаметр измеряли на 1 см выше корневой шейки с помощью штангенциркуля. Далее растения разделяли на отдельные фракции (корни, хвою, ствол и ветви). Для определения величины ежегодного радиального прироста делали поперечные срезы ствола толщиной 15 мкм с помощью замораживающего микротома Frigomobil (R.Jung, Germany). Срезы окрашивали 1%-ным водным раствором сафранина. Микрофотографии были получены с помощью светового микроскопа AxioImagerA1 (CarlZeiss, Germany) с камерой ADF PRO 03 (ADF, China) и в дальнейшем обработаны с помощью программы ImageJ (NIH, USA). Данные представлены как среднее, рассчитанное из четырех перпендикулярных измерений. Так как отобранные растения ели европейской имели разный размер и возраст, прирост был оценен по ежегодному относительному приросту в высоту (ОПВ) и относительному приросту диаметра ствола (ОПД), которые были рассчитаны по формуле:
где А — высота (диаметр) в начале вегетационного сезона, B — высота (диаметр) в конце вегетационного сезона. Относительные приросты высоты и диаметра рассчитаны за последние три года.
Корневую систему промывали водой и разделяли на функциональные составляющие — транспортный (главный корень и проводящие недетерминированные корни) и адсорбционный (тонкие проводящие корни, несущие детерминированные корни последнего порядка-сосущие корни) пул [40]. Известно, что только дистальные корневые порядки участвуют в получении воды и питательных веществ [40, 41]. С помощью программы ImageJ для каждого образца измеряли общую длину проводящих корней транспортного пула, а также количество и длину корней последнего порядка. Для изучения морфолого-анатомических параметров детерминированных корней часть их фиксировали в смеси этилового спирта, глицерина и дистиллированной воды, взятых в пропорциях 1: 1: 1, затем готовили их поперечные срезы и исследовали под микроскопом. От каждого варианта было проанализировано более 100 корней, каждый из которых был представлен 3–5 срезами. Всего просмотрено 380 корней (порядка 1600 срезов). Определяли наличие и тип микоризной инфекции (эктомикориза (ЭМ), эктэндомикориза (ЭЭМ)), диаметр корневого окончания, при наличии грибного чехла — его толщину. На основе полученных данных рассчитывали плотность корней последнего порядка (количество детерминированных корней последнего порядка на 1 см длины проводящих корней) и интенсивность микоризации (Аэм, Аээм, %) (доля корней с ЭМ/ЭЭМ от общего количества корней последнего порядка). Для детерминированных корней рассчитывали площадь боковой поверхности — показатель, интегрирующий длину и толщину и численно характеризующий поверхность соприкосновения с почвой, т. е. площадь поглощающей поверхности сосущего корня. Для расчета средней площади поглощающей поверхности одного корня последнего порядка (ЭМ и ЭЭМ) использовали формулу боковой поверхности цилиндра. Для расчета общей площади поверхности корней с ЭМ и ЭЭМ определяли их количество среди корней последнего порядка. Площадь поверхности сосущих корней была рассчитана как сумма площадей ЭМ и ЭЭМ. После проведения всех измерений отдельные фракции растения были высушены до абсолютно сухой массы при температуре 105° и взвешены. Были определены доли хвои, ствола и ветвей, проводящих и тонких корней в общей биомассе.
На основе полученных данных были рассчитаны показатели функциональной морфологии корней: средний радиус корня, средняя длина сосущего корня [42], отношение длины проводящих корней и надземной биомассы, удельная длина проводящих корней (УДК) [43], отношение площади сосущих корней (ЭМ + ЭЭМ) и надземной биомассы, удельная площадь тонких корней (УПК) [44].
Общая площадь хвои [45] для каждого растения была определена как произведение удельной площади хвои и сухой массы всей хвои. От каждого растения случайным образом было отобрано по десять хвоинок, удельная площадь хвои рассчитана как отношение общей площади хвои к сухой массе.
Химический анализ
Для определения содержания углерода (C), азота (N), фосфора (P) и калия (K) в тканях растения использовали высушенный при 70°C растительный материал. Содержание C было определено сжиганием по Тюрину со спектрофотометрическим окончанием, N и P — сжиганием по Къельдалю со спектрофотометрическим окончанием с использованием спектрофотометра СФ-2000 («ОКБ Спектр», Россия). Содержание K определяли методом атомно-эмиссионной спектрофотометрии на атомно-абсорбционном спектрофотометре АА-7000 (Shimadzu, Япония). На основе полученных данных были рассчитаны соотношения элементов. Содержание биогенных элементов было определено во всех отобранных растениях отдельно для каждой фракции (корни, стволик и ветви, хвоя). Определение рН почвенного раствора проводили потенциометрическим методом (рН-метр Hanna, Германия). Для определения содержания основных биогенных элементов образцы почвы были высушены при комнатной температуре, а затем при 105°C до постоянно сухой массы. Общее содержание углерода (C) и азота (N) было определено с использованием CHN-анализатора (PerkinElmer’s 2400 Series II CHNS/O, USA). Содержание подвижных форм фосфора (Pподв) и калия (Kподв) было определено в вытяжке по Кирсанову со спектрофотометрическим окончанием (для Pподв) (Спектрофотометр СФ-2000, Россия) и атомно-эмиссионным окончанием (для Kподв) (Атомно-абсорбционный спектрофотометр АА-7000, Shimadzu, Япония). Исследования были выполнены на научном оборудовании Центра коллективного пользования Федерального исследовательского центра «Карельский научный центр Российской академии наук».
Статистический анализ
Статистическую обработку полученных данных проводили с использованием программы «STATISTICA 10». Для определения влияния микроместообитания на относительный прирост высоты и диаметра стволика, содержание углерода и биогенных элементов в растениях использовали дисперсионный анализ с последующим сравнением выборок с помощью критерия Ньюмена–Кейлса. Выборки значений параметров корневой системы и содержания углерода и биогенных элементов в субстрате не подчинялись нормальному закону распределения (критерий Шапиро–Уилка), поэтому анализ этих параметров проводили с использованием непараметрического критерия. Влияние микроместообитания на отмеченные выше параметры было оценено с помощью критерия Краскела–Уоллиса, с последующим сравнением выборок критерием Данна. Взаимосвязь между длиной проводящих корней, площадью активных корней и надземной биомассой растения, а также между площадью активных корней и массой хвои проанализирована на основе коэффициента ранговой корреляции Спирмена (r). Статистически значимыми считали различия при р ≤ 0.05. В таблицах указаны средние значения ± стандартная ошибка.
РЕЗУЛЬТАТЫ И ИХ ОБСУЖДЕНИЕ
Рост
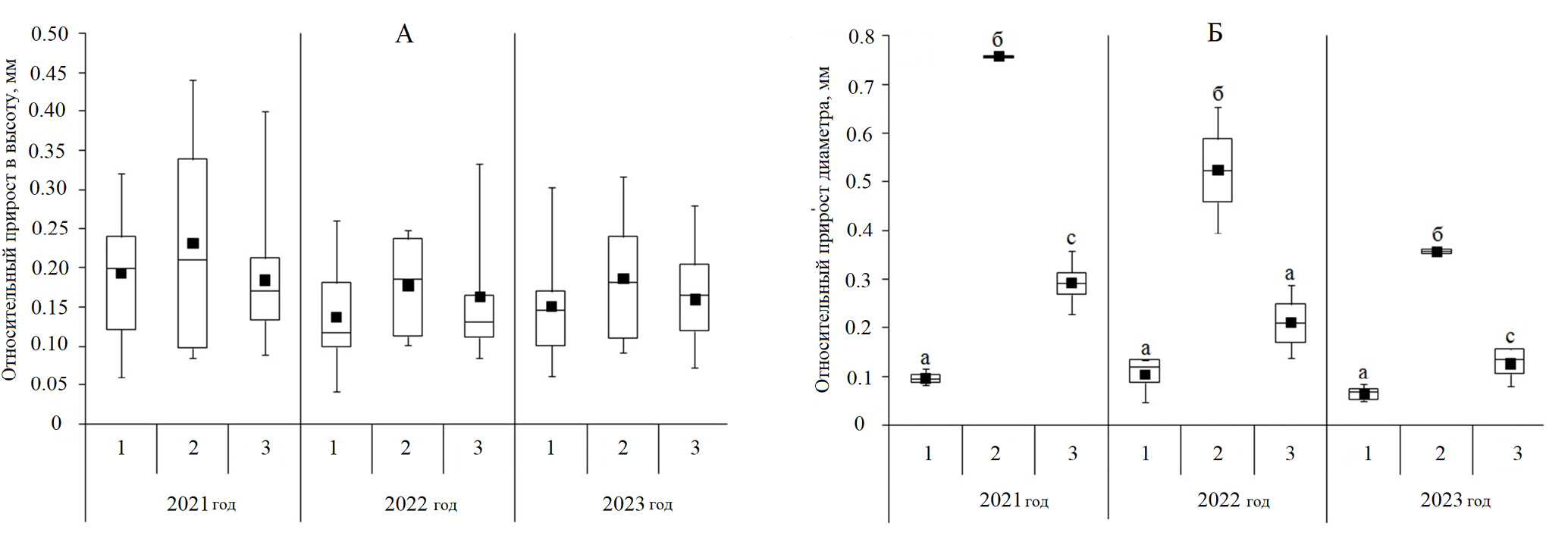
Относительный прирост в высоту достоверно не различался у растений естественного возобновления ели европейской на всех микроместообитаниях. Однако отмечалась тенденция к более высоким значениям у растений на валежной древесине (рис. 1, А). У естественного возобновления ели европейской больший относительный прирост диаметра стволика отмечался у растений на валежных стволах (рис. 1, Б).
Рис. 1. Ежегодный относительный прирост в высоту (А) и относительный прирост диаметра (Б) у естественного возобновления ели европейской в условиях разных микроместообитаний (1-ненарушенная лесная подстилка, 2 – валежный ствол, 3 -микропонижение ВПК). Разные буквы обозначают статистически значимые различия между микроместообитаниями (отдельно для каждого года). Линия и черный квадрат обозначают медиану и среднее арифметическое соответственно, прямоугольники – межквартильный размах, «усы» – значения в пределах 1,5 межквартильных размаха. По горизонтали – тип микроместообитания и год; по вертикали – относительный прирост, размерность – мм.
Fig. 1. Annual relative height increment (А) and relative diameter increment (Б) in naturally regenerating Norway spruce in different microsites (1 – intact forest floor, 2 – log, 3 – tree-fall hole). Letter indexes represent statistically significant differences between variants of the microsites (in each specific year). Lines and black squares show the median and the arithmetic mean (respectively), rectangles – the interquartile range, whiskers – values within 1.5 of interquartile range. X-axis – microsite type and year; y-axis – relative increment, dimension – mm.
На начальных этапах развития молодые растения подвергаются действию различных факторов (повреждение насекомыми, травоядными животными, конкуренция с другими видами растений), которые неблагоприятны для них и могут привести к их гибели. В связи с этим важным становится быстрый рост и набор биомассы, т. к. он позволяет сократить период высокой уязвимости растений [46, 47]. В нашем исследовании не было выявлено значимого влияния микроместообитания на рост естественного возобновления ели европейской в высоту (рис. 1, А). Сходные данные были получены и другими исследователями, которые не отмечали различий прироста в высоту у ели европейской в условиях разных микроместообитаний, в том числе на валежной древесине [8, 47]. Прирост диаметра ствола более показателен, чем прирост в высоту (рис. 1, Б). Больший диаметр стволика позволяет снизить риск гибели растений от повреждения сосновым долгоносиком (Hylobius abietis) [48] и тем самым способствует выживаемости естественного возобновления.
Содержание биогенных элементов в субстрате
Содержание углерода и биогенных элементов в субстрате было численно выше на валежных стволах, по сравнению с участками с ненарушенным почвенным покровом и участками микропонижений ВПК (табл. 3). Однако статистически значимых различий не было найдено в связи с высокой вариабельностью этих показателей. При деструкции валежа основных пород бореальной зоны (ель, сосна, береза, осина) происходит увеличение концентрации азота и фосфора в коре и древесине [49]. Важную роль в динамике питательных веществ в разлагающейся древесине играет деятельность ксилофильных организмов, потеря углерода, деятельность азотфиксирующих бактерий и перенос грибами питательных веществ из окружающего субстрата [49, 50].
Таблица 3. Содержание биогенных элементов в корнеобитаемом слое субстрата произрастания естественного возобновления ели европейской в условиях разных микроместообитаний
Table 3. Nutrient content in the root layer of the substrate supporting natural regeneration of Norway spruce in different microsites
Микроместообитание Microsite | Содержание биогенных элементов Nutrient content | |||
C, % | N, % | Pподв, мг/кг | Kподв, мг/кг | |
Ненарушеннаялесная подстилка Intact forest floor | 15.1 ± 6.2 | 0.3 ± 0.04 | 38.1 ± 13.8 | 164.6 ± 41.8 |
Валежный ствол Log | 26.3 ± 15.5 | 0.7 ± 0.04 | 77.4 ± 34.9 | 321.8±72.3 |
Микропонижение ВПК Tree-fall hole | 15.2 ± 5.4 | 0.3 ± 0.20 | 42.5 ± 10.1 | 137.4 ± 70.7 |
Развитие корневой системы
Доля биомассы корневой системы в общей биомассе была сходной у растений, растущих на валежной древесине и участках с ненарушенным почвенным покровом. У растений на участках микропонижений ВПК отмечалось снижение доли биомассы корневой системы в общей биомассе за счет биомассы как проводящих, так и тонких корней (табл. 4). Положительное или отрицательное влияние микроместообитания на прорастание, выживаемость и рост естественного возобновления ели европейской часто связывают с изменением водного режима субстрата [21, 39, 51, 52]. В связи с этим развитие корневой системы на начальных этапах во многом определяет выживаемость и рост растения. В то же время было выказано предположение [53–55], что более важной характеристикой может являться не общая биомасса, а структурно-морфологические особенности корневой системы — длина и площадь поверхности тонких поглощающих корней.
Таблица 4. Характеристика корневой системы естественного возобновления ели европейской в условиях разных микроместообитаний
Table 4. Characteristics of the root system of naturally regenerating Norway spruce in different microsites
Показатель Characteristic | Микроместообитание Microsite | ||
Ненарушенная лесная подстилка Intact forest floor | Валежный ствол Log | Микропонижения ВПК Tree-fall hole | |
Доля биомассы проводящих корней в общей биомассе растения, % Share of conducting root biomass in total plant biomass, % | 20.5 ± 2.4 а | 20.8 ± 3.7 а | 14.8 ± 1.1 б |
Отношение длины проводящих корней к надземной биомассе растения, см/г Ratio between the length of conducting roots and aboveground plant biomass, cm/g | 181.2 ± 30.4 a | 157.1 ± 40.4 a | 126.8 ± 7.9 a |
Удельная длина проводящих корней (УДК), см/г Specific length of conducting roots length, cm/g | 598.3 ± 95.1 a | 658.7 ± 40.4 a | 595.3 ± 54.0 a |
Отношение длины проводящих корней к длине сосущих корней Ratio of conductive to absorbing root length | 3.3 ± 0.2 а | 3.0 ± 0.4 а | 2.6 ± 0.3 а |
Доля биомассы тонких корней в общей биомассе растения, % Share of fine root biomass in total plant biomass, % | 10.4 ± 1.6 а | 11.2 ± 2.2 а | 6.7 ± 0.6 б |
Отношение площади сосущих корней к надземной биомассе растения, см2/г Ratio of absorbing roots area to aboveground plant biomass, cm2/g | 6.0 ± 1.1 а | 8.0 ± 3.8 а | 6.1 ± 0.9 а |
Удельная площадь корней (УПК), см2/г Specific area of fine roots, cm2/g | 37.4 ± 9.3 а | 54.6 ± 18.1 а | 61.8 ± 20.3 а |
Средняя длина одного сосущего корня, мм Average length of a single absorbing root, mm | 1.5 ± 0.1 а | 1.9 ± 0.04 б | 1.7 ± 0.07 аб |
Плотность сосущих корней, шт/1см проводящих корней Density of absorbing roots, pcs/1cm of conductive roots | 2.3 ± 0.1 а | 2.4 ± 0.7 а | 2.8 ± 0.5 а |
Показатель Characteristic | Микроместообитание Microsite | |||
Ненарушенная лесная подстилка Intact forest floor | Валежный ствол Log | Микропонижения ВПК Tree-fall hole | ||
Отношение площади хвои к площади поверхности сосущих корней Ratio of needles area to absorbing roots surface area | 3.8 ± 0.6 а | 3.5 ± 0.9 а | 4.2 ± 0.8 а | |
| Радиус корня, мкм Root radius, microns | 138.8 ± 5.3 а | 156.7 ± 8.6 б | 154.6 ± 9.2 б |
| Доля грибного чехла, % Share of the fungal sheath, % | 24.3 ± 2.2 а | 18.7 ± 1.8 б | 18.2 ± 2.6 б |
ЭМ | Площадь поверхности одной ЭМ, см2 |
|
|
|
EM | Surface area of a single EM, cm2 | 0.015 ± 0.002 а | 0.021 ± 0.001 б | 0.018 ± 0.002 аб |
| Доля ЭМ среди всех сосущих корней, % Share of EM in absorbing roots, % | 57.6 ± 7.5 а | 61.4 ± 7.4 а | 61.3 ± 5.4 а |
| Радиус корня, мкм Root radius, microns | 161.8 ± 10.9 а | 172.4 ± 11.2 а | 150.8 ± 18.2 а |
| Площадь поверхности одной ЭЭМ, см2 |
|
| 0.016 ± 0.0021 а |
ЭЭМ | Surface area of a single | 0.015 ± 0.002 а | 0.021 ± 0.001 б | |
EEM | EEM, cm2 |
|
|
|
| Доля ЭЭМ среди всех сосущих корней, % Share of EEM in absorbing roots, % | 28.7 ± 5.9 а | 31.7 ± 8.5 а | 34.4 ± 4.1 а |
Примечание: разные буквы обозначают статистически значимые различия показателя между микроместообитаниями (р ≤ 0.05). Note: EM – ectomycorrhiza; EEM – ectoendomycorrhiza; letter indexes represent statistically significant differences in the attribute between microsites (р ≤ 0.05).
Древесные растения адаптируются к бедным питательными веществами почвам, реализуя две основные стратегии получения ресурсов [56] — за счет увеличения массы и длины корней (экстенсивная стратегия) и увеличения эффективности поглощения питательных веществ тонкими корнями (интенсивная стратегия). В условиях бореальных лесов ель европейская использует механизмы обеих стратегий [57], при этом функциональная адаптация тонких корней очень разнообразна [36].
У растений на валежной древесине отмечалась тенденция к увеличению значения удельной длины проводящих корней (УДК) (табл. 4). Этот показатель является одним из важнейших параметров, отражает затраты органического вещества, необходимые растению для построения единицы длины корней [57]. Увеличение УДК свидетельствует о построении более длинных проводящих корней с минимальными затратами биомассы [58–60]. Кроме того, была отмечена положительная корреляция между длиной проводящих корней и надземной биомассой растения (r = 0.56). Более выраженный захват пространства корнями способствует успешности растения при высоком уровне конкуренции — одной из основных причин высокой гибели естественного возобновления ели европейской [47, 61]. Ранее было показано, что увеличение длины корней, отношения длины проводящих корней к надземной биомассе и УДК является следствием конкурентных отношений [62–64]. В нашем исследовании у растений на валежных стволах отмечается лучшее развитие сосущих корней, по сравнению с растениями остальных микроместообитаний. Здесь самые высокие значения средней длины сосущего корня и площади поверхности ЭМ и ЭЭМ корня (табл. 4).
У естественного возобновления на микропонижениях ВПК отмечалась тенденция уменьшения отношения длины проводящих корней к надземной биомассе и достоверное снижение доли биомассы проводящих и тонких корней в общей биомассе (табл. 4.), по сравнению с растениями на валежной древесине и ненарушенной почве. Это свидетельствует об уменьшения длины проводящих корней и использовании ими меньшего объема грунта для поиска ресурсов. Кроме того, отмечалась тенденция к увеличению значения удельной площади тонких корней (УПК). Этот показатель отражает затраты органического вещества для образования единицы площади поверхности сосущих корней. Увеличение показателя свидетельствует о более эффективном инвестировании органического вещества растением в построение единицы площади поглощения. Кроме того, у растений микропонижений ВПК отмечена тенденция увеличения площади ЭМ за счет увеличения толщины корня. Поглощающий аппарат ели европейской реагирует на изменения субстрата посредством изменений морфологической структуры сосущих корней. Одним из способов адаптации ели европейской является регулирование площади поглощающей поверхности сосущих корней [44]. УПК являются одним из наиболее изменчивых показателей поглощающих корней у ели европейской [65]. Увеличение УДК и УПК позволяет древесным растениям увеличивать объем используемой корнями почвы на единицу биомассы, формируя более легкие, тонкие корни. Поглощение питательных веществ улучшается в большей степени за счет увеличения длины корня и площади поверхности, чем за счет увеличения массы [66, 67]. Нами были отмечены положительные корреляции между площадью сосущих корней и надземной биомассой растения (r = 0.56), площадью активных корней и массой хвои (r = 0.59).
Содержание биогенных элементов в растениях естественного возобновления ели европейской.
Содержание C, P и K как в целом растении, так и в хвое было сходным на всех микроместообитаниях. У растений на микропонижениях ВПК было отмечено самое низкое содержание N, увеличение отношения C: N и снижение отношения N: P, N: K и С: P (табл. 5).
Таблица 5. Содержание биогенных элементов и их соотношение в целом растении и в хвое (в скобках) естественного возобновления ели европейской в условиях разных микроместообитаний
Table 5. Content of nutrients and their ratio in whole plants and in needles (in parentheses) in naturally regenerating Norway spruce in different microsites
| Содержание биогенных элементов | Соотношение биогенных элементов | ||||||
Микроместо- |
| Nutrient content |
|
| Nutrient content ratio |
| ||
обитание Microsite | C, % | N, % | P, % | K, % | С:N | С:P | N:P | N:K |
Ненарушенная лесная подстилка Intact forest floor | 41.6 ± 2.4 a (43.5 ± 2.1 a) | 1.0 ± 0.01 a (1.1 ± 0.02 a) | 0.2 ± 0.01 a (0.3 ± 0,02 a) | 0.4 ± 0.01 a (0.7 ± 0.02 a) | 38.6 ± 2.3 a | 170.9 ± 21.2 a | 4.4 ± 0.4 a | 1.8 ± 0.1 a |
Валежный ствол Log | 38.5 ± 0.9 a (37.5 ± 6.6 a) | 1.1 ± 0.04 a (1.1 ± 0.1 a) | 0,2 ± 0.01 a (0.3 ± 0.03 a) | 0.4 ± 0.02 a (0.7 ± 0.09 a) | 35.1 ± 4.4 a | 147.1 ± 17.3 a | 4.4 ± 0.5 a | 1.6 ± 0.1 a |
Микропонижение ВПК Tree-fall hole | 44.1 ± 1.7 a (43.8 ± 1.4 a) | 0.6 ± 0.05 б (0.7 ± 0.06 б) | 0.2 ± 0.02 a (0.3 ± 0.02 a) | 0.4 ± 0.03 a (0.6 ±0.1 a) | 62.9 ± 4.8 б | 144.8 ± 13.3 б | 2.4 ± 0.3 б | 1.0 ± 0.1 б |
Примечание: разные буквы обозначают достоверные различия показателя между микроместообитаниями (р ≤ 0.05). Note: letter indexes represent statistically significant differences in the attribute between microsites (р ≤ 0.05).
Ранее было высказано предположение, что важным фактором, оказывающим влияние на поглощение N елью европейской, является улучшение условий роста корней и формирования микоризы, а не усиление минерализации и увеличение содержания N в почве [54, 55, 68]. Низкое (по сравнению с почвой и валежными стволами) содержание биогенных элементов в субстрате микропонижений ВПК и худшее развитие корневой системы у произрастающего там естественного возобновления ели европейской привело к низкому содержанию N в тканях. Оптимальные значения концентрации N в хвое ели европейской, по разным оценкам, составляют 1.7–2.5% [69, 70], P — 0.11–0.3% [71]. В нашем исследовании концентрация P в хвое растений всех микроместообитаний была в рамках оптимальных значений, а концентрация N в хвое — ниже оптимальной. Кроме того, значения N: P были ниже оптимального, что указывает на недостаток N [39, 72]. Максимальный недостаток N отмечался у естественного возобновления на микропонижениях ВПК (в два и более раз ниже оптимального). Увеличение отношения C: N и снижение отношения N: P и N: K за счет снижения содержания N у растений микропонижений ВПК свидетельствует об усилении дисбаланса питательных веществ — увеличении содержания P и K относительно N. Снижение содержания N и изменение соотношения биогенных элементов оказывает непосредственное влияние на процессы фотосинтеза, дыхания и на рост растений [73].
ЗАКЛЮЧЕНИЕ
Естественное возобновление ели европейской (Picea abies (L.) H. Karst) в среднетаежном ельнике черничном происходит в разных микроместообитаниях и обнаруживает признаки адаптации к локальным условиям произрастания. Корневые системы естественного возобновления ели европейской имеют функционально-морфологические особенности в разных типах микроместообитаний. На валежной древесине в условиях высокой обеспеченности субстрата питательными веществами при отсутствии корневой конкуренции со стороны эдификатора корневые системы имеют возможность реализации механизмов экстенсивного (увеличение УДК) и интенсивного (увеличение средней длины сосущего корня и площади поверхности ЭМ и ЭЭМ) путей использования ресурсов субстрата. Растения более эффективно используют органическое вещество для роста проводящих корней: с меньшими его затратами формируют более длинные проводящие корни. Соответственно, рост и жизнедеятельность надземной части растения обеспечиваются более длинными проводящими корнями, по сравнению с растениями в условиях ненарушенной почвы, что, в свою очередь, существенно увеличивает шансы на их выживание и рост.
В условиях микропонижений ВПК из-за удаления органогенного слоя почвы (лесной подстилки) происходит снижение содержания биогенных элементов в субстрате. Для корневых систем естественного возобновления ели европейской увеличение эффективности поглощения почвенных ресурсов при ухудшении условий произрастания достигается реализацией механизмов интенсификации (увеличение УПК и площади поверхности ЭМ). Это позволяет получать достаточное количество почвенных ресурсов для поддержания скорости роста, сходной с растениями, растущими в условиях ненарушенной почвы.
БЛАГОДАРНОСТИ
Исследование выполнено при финансовой поддержке Российского научного фонда в рамках проекта № 23–24–00371.
About the authors
A. V. Kireeva
Karelian Research Centre of the Russian Academy of Sciences
Author for correspondence.
Email: avkikeeva@mail.ru
Russian Federation, Petrozavodsk
E. V. Novichonok
Karelian Research Centre of the Russian Academy of Sciences
Email: avkikeeva@mail.ru
Russian Federation, Petrozavodsk
I. N. Sofronova
Karelian Research Centre of the Russian Academy of Sciences
Email: avkikeeva@mail.ru
Russian Federation, Petrozavodsk
N. V. Genikova
Karelian Research Centre of the Russian Academy of Sciences
Email: avkikeeva@mail.ru
Russian Federation, Petrozavodsk
N. V. Afoshin
Karelian Research Centre of the Russian Academy of Sciences
Email: avkikeeva@mail.ru
Russian Federation, Petrozavodsk
References
- Voronov A. G. 1973. [Geobotanika]. Moscow. 384 p. (In Russian)
- McCarthy J. 2001. Gap dynamics of forest trees: A review with particular attention to boreal forests. — Environ. Rev. 9(1): 1–59. https://doi.org/10.1139/er-9-1-1
- von Oheimb G., Friedel A., Bertsch A., Härdtle W. 2007. The effects of windthrow on plant species richness in a Central European beech forest. — Plant Ecol. 191(1): 47–65. https://doi.org/10.1007/s11258-006-9213-5
- Smirnova O. V., Alejnikov A. A., Semikolenny`x A. A., Bovkunov A. D., Zaprudina M. V., Smirnov N. S. 2013. [Typological and structural diversity of the middle taiga Ural forests]. — In: [Diversity and dynamics of the forest ecosystems]. Moscow. Vol. 2. P. 42–66. (In Russian)
- Harmon M. E., Franklin J. F., Swanson F. J., Sollins P., Gregory S. V., Lattin J. D., Anderson N. H., Cline S. P., Aumen N. G., Sedell J. R., Lienkaemper G. W., Cromack K. Jr., Cummins K. W. 1986. Ecology of coarse woody debris in temperate ecosystems. — Adv. Ecol. Res. 15: 133–302. https://doi.org/10.1016/S0065-2504(08)60121-X
- Kuuluvainen T. 2002. Natural variability of forests as a reference for restoring and managing biological diversity in boreal Fennoscandia. — Silva Fenn. 36(1): 552. https://doi.org/10.14214/sf.552
- Kuuluvainen T., Laiho R. 2004. Long-term forest utilization can decrease forest floor microhabitat diversity: evidence from boreal Fennoscandia. — Can. J. For. Res. 34(2): 303–309. https://doi.org/10.1139/x03-159
- Kupferschmid A. D., Bugmann H. 2005. Effect of microsites, logs and ungulate browsing on Picea abies regeneration in a mountain forest. — Forest Ecol. Manag. 205(1–3): 251–265. https://doi.org/10.1016/j.foreco.2004.10.008
- Kreutz A., Aakala T., Grenfell R., Kuuluvainen T. 2015. Spatial tree community structure in three stands across a forest succession gradient in northern boreal Fennoscandia. — Silva Fenn. 49(2): 1279. https://doi.org/10.14214/sf.1279
- Ulanova N. G. 2000. The effects of windthrow on forests at different spatial scales: a review. — Forest Ecol. Manag. 135(1–3): 155–167. https://doi.org/10.1016/S0378-1127(00)00307-8
- Fraver S., Milo A. M., Bradford J. B., D’Amato A. W., Kenefic L., Palik B. J., Woodall C. W., Brissette J. 2013. Woody debris volume depletion through decay: implications for biomass and carbon accounting. — Ecosyst. 16(7): 1262–1272. https://doi.org/10.1007/s10021-013-9682-z
- Bobkova K. S., Bessonov I. M. 2009. Natural regeneration in southern taiga spruce forests of the European North-East. — Rus. J. For. Sci. 5: 10–16. https://www.elibrary.ru/item.asp?id=13500448 (In Russian)
- Storozhenko V. G. 2022. Features of the horizontal structure of the forests of spruce formations in the European taiga of Russia. — Lesnoy Zhurnal (Russian Forestry Journal). 2(386): 39–49. https://doi.org/10.37482/0536-1036-2022-2-39-49 (In Russian)
- Szewczyk J., Szwagrzyk J. 1996. Tree regeneration on rotten wood and on soil in old-growth stand. — Vegetatio. 122(1): 37–46. https://doi.org/10.1007/BF00052814
- Hörnberg G., Ohlson M., Zackrisson O. 1997. Influence of bryophytes and microrelief conditions on Picea abies seed regeneration patterns in boreal old-growth swamp forests. — Can. J. For. Res. 27(7): 1015–1023. https://doi.org/10.1139/x97-045
- Kuuluvainen T., Kalmari R. 2004. Regeneration microsites of Picea abies seedlings in a windthrow area of a boreal old-growth forest in southern Finland. — Ann. Bot. Fenn. 40(6): 401–413. https://www.sekj.org/PDF/anbf40/anbf40-401.pdf
- Lilja S., Wallenius T., Kuuluvainen T. 2006. Structure and development of old Picea abies forests in northern boreal Fennoscandia. — Écoscience. 13(2): 181–192. https://doi.org/10.2980/i1195-6860-13-2-181.1
- Voronova V. S. 1959. [Natural regeneration under spruce forest canopy]. — Trudy Karelskogo filiala AN SSSR. XVI: 30–37. (In Russian)
- Kuuluvainen T. 1994. Gap disturbance, ground microtopography, and the regeneration dynamics of boreal coniferous forests in Finland: a review. — Ann. Zool. Fenn. 31(1): 35–51.
- Nilsson U., Gemmel P., Hallgren J.E. 1996. Competing vegetation effects on initial growth of planted Picea abies. New Zealand. —J. For. Sci. 26(1–2): 84–98.
- Ilisson T., Köster K., Vodde F., Jõgiste K. 2007. Regeneration development 4–5 years after a storm in Norway spruce dominated forests, Estonia. — Forest Ecology and Management. 250(1–2): 17–24. https://doi.org/10.1016/j.foreco.2007.03.022
- Holeksa J., Żywiec M., Bogdziewicz M., Kurek P., Milne-Rostkowska F., Piechnik Ł., Seget B. 2021. Microsite-specific 25-year mortality of Norway spruce saplings. — Forest Ecol. Manag. 498: 119572. https://doi.org/10.1016/j.foreco.2021.119572
- Vitousek P. M., Howarth R. W. 1991. Nitrogen limitation on land and in the sea: How can it occur? — Biogeochemistry. 13(2): 87–115. https://doi.org/10.1007/BF00002772
- Fedorecz N. G., Morozova R. M., Sin’kevich S. M., Zagural’skaya L. M. 2000. [Evaluation of the forest soils productivity in Karelia]. Petrozavodsk. 193 p. (In Russian)
- Giesler R., Petersson T., Högberg P. 2002. Phosphorus limitation in boreal forests: effects of aluminum and iron accumulation in the humus layer. — Ecosyst. 5(3): 300–314. https://doi.org/10.1007/s10021-001-0073-5
- Marschner H., Dell B. 1994. Nutrient uptake in mycorrhizal symbiosis. — Plant Soil. 159(1): 89–102. https://doi.org/10.1007/BF00000098
- Brunner I., Brodbeck S. 2001. Response of mycorrhizal Norway spruce seedlings to various nitrogen loads and sources. — Environ. Pollut. 114(2): 223–233. https://doi.org/10.1016/S0269-7491(00)00219-0
- Bogeat-Triboulot M.-B., Bartoli F., Garbaye J., Marmeisse R., Tagu D. 2004. Fungal ectomycorrhizal community and drought affect root hydraulic properties and soil adherence to roots of Pinus pinaster seedlings. — Plant Soil. 267(1–2): 213–223. https://doi.org/10.1007/s11104-005-5349-7
- Shubin V. I. 1973. [Micotrophy of woody species]. Leningrad. 264 p. (In Russian)
- Kalliokoski T., Nygren P., Sievänen R. 2008. Coarse root architecture of three boreal tree species growing in mixed stands. — Silva Fenn. 42(2): 252. https://doi.org/10.14214/sf.252
- Børja I., De Wit H. A., Steffenrem A., Majdi H. 2008. Stand age and fine root biomass, distribution and morphology in a Norway spruce chronosequence in southeast Norway. — Tree Physiol. 28(5): 773–784. https://doi.org/10.1093/treephys/28.5.773
- Ellenberg H. 1988. Vegetation Ecology of Central Europe (4th ed.). Cambridge University Press. 753 p.
- Niinemets Ü., Valladares F. 2006. Tolerance to shade, drought, and waterlogging of temperate northern hemisphere trees and shrubs. — Ecol. Monogr. 76(4): 521–547. https://doi.org/10.1890/0012-9615(2006)076[0521:TTSDAW]2.0.CO;2
- Adams T. S., McCormack M. L., Eissenstat D. M. 2013. Foraging strategies in trees of different root morphology: the role of root lifespan. — Tree Physiol. 33(9): 940–948. https://doi.org/10.1093/treephys/tpt067
- Helmisaari H. S., Ostonen I., Lõhmus K., Derome J., Lindroos A. J., Merilä P., Nöjd P. 2009. Ectomycorrhizal root tips in relation to site and stand characteristics in Norway spruce and Scots pine stands in boreal forests. — Tree Physiol. 29(3): 445–456. https://doi.org/10.1093/treephys/tpn042
- Ostonen I., Helmisaari H., Borken W., Tedersoo L., Kukumägi M., Bahram M., Lindroos A., Nöjd P., Uri V., Merilä P., Asi E., Lõhmus K. 2011. Fine root foraging strategies in Norway spruce forests across a European climate gradient. — Glob. Change Biol. 17(12): 3620–3632. https://doi.org/10.1111/j.1365-2486.2011.02501.x
- Ostonen I., Rosenvald K., Helmisaari H.-S., Godbold D., Parts K., Uri V., Lõhmus K. 2013. Morphological plasticity of ectomycorrhizal short roots in Betula sp. and Picea abies forests across climate and forest succession gradients: its role in changing environments. — Front. Plant Sci. 4. https://doi.org/10.3389/fpls.2013.00335
- Eissenstat D. M., Kucharski J. M., Zadworny M., Adams T. S., Koide R. T. 2015. Linking root traits to nutrient foraging in arbuscular mycorrhizal trees in a temperate forest. — New Phytol. 208(1): 114–124. https://doi.org/10.1111/nph.13451
- Baier R., Ettl R., Hahn C., Göttlein A. 2006. Early development and nutrition of Norway spruce (Picea abies (L.) Karst.) seedlings on different seedbeds in the Bavarian limestone Alps – a bioassay. — Ann. For. Sci. 63(4): 339–348. https://doi.org/10.1051/forest:2006014
- McCormack M. L., Dickie I. A., Eissenstat D. M., Fahey T. J., Fernandez C. W., Guo D., Helmisaari H., Hobbie E. A., Iversen C. M., Jackson R. B., Leppälammi-Kujansuu J., Norby R. J., Phillips R. P., Pregitzer K. S., Pritchard S. G., Rewald B., Zadworny M. 2015. Redefining fine roots improves understanding of below-ground contributions to terrestrial biosphere processes. — New Phytol. 207(3): 505–518. https://doi.org/10.1111/nph.13363
- Pregitzer K. S. 2002. Fine roots of trees – a new perspective. — New Phytol. 154(2): 267–270. https://doi.org/10.1046/j.1469-8137.2002.00413_1.x
- Ford E. D., Deans J. D. 1977. Growth of a Sitka spruce plantation: Spatial distribution and seasonal fluctuations of lengths, weights and carbohydrate concentrations of fine roots. — Plant Soil. 47(2): 463–485. https://doi.org/10.1007/BF00011504
- Clemensson-Lindell A. 1994. Triphenyltetrazolium chloride as an indicator of fine-root vitality and environmental stress in coniferous forest stands: Applications and limitations. — Plant Soil. 159(2): 297–300. https://doi.org/10.1007/BF00009293
- Lõhmus K., Oja T., Lasn R. 1989. Specific root area: A soil characteristic. — Plant Soil. 119(2): 245–249. https://doi.org/10.1007/BF02370415
- Niinemets U., Kull O. 1995. Effects of light availability and tree size on the architecture of assimilative surface in the canopy of Picea abies: variation in needle morphology. — Tree Physiol. 15(5): 307–315. https://doi.org/10.1093/treephys/15.5.307
- Johansson K., Langvall O., Bergh J. 2012. Optimization of environmental factors affecting initial growth of Norway spruce seedlings. — Silva Fenn. 46(1): 64. https://doi.org/10.14214/sf.64
- Macek M., Wild J., Kopecký M., Červenka J., Svoboda M., Zenáhlíková J., Brůna J., Mosandl R., Fischer A. 2017. Life and death of Picea abies after bark-beetle outbreak: ecological processes driving seedling recruitment. — Ecol. Appl. 27(1): 156–167. https://doi.org/10.1002/eap.1429
- Thorsen Å. A., Mattsson S., Weslien J. 2001. Influence of stem diameter on the survival and growth of containerized Norway spruce seedlings attacked by pine weevils (Hylobius spp.). — Scand. J. For. Res. 16(1): 54–66. https://doi.org/10.1080/028275801300004415
- Romashkin I., Shorohova E., Kapitsa E., Galibina N., Nikerova K. 2021. Substrate quality regulates density loss, cellulose degradation and nitrogen dynamics in downed woody debris in a boreal forest. — For. Ecol. Manag. 491: 119143. https://doi.org/10.1016/j.foreco.2021.119143
- Boddy L., Watkinson S. C. 1995. Wood decomposition, higher fungi, and their role in nutrient redistribution. — Can. J. Bot. 73(S1): 1377–1383. https://doi.org/10.1139/b95-400
- Vodde F., Jõgiste K., Gruson L., Ilisson T., Köster K., Stanturf J.A. 2010. Regeneration in windthrow areas in hemiboreal forests: the influence of microsite on the height growths of different tree species. — J. For. Res. 15(1): 55–64. https://doi.org/10.1007/s10310-009-0156-2
- Kathke S., Bruelheide H. 2010. Interaction of gap age and microsite type for the regeneration of Picea abies. — For. Ecol. Manag. 259(8): 1597–1605. https://doi.org/10.1016/j.foreco.2010.01.036
- Guo D., Xia M., Wei X., Chang W., Liu Y., Wang Z. 2008. Anatomical traits associated with absorption and mycorrhizal colonization are linked to root branch order in twenty‐three Chinese temperate tree species. — New Phytol. 180(3): 673–683. https://doi.org/10.1111/j.1469-8137.2008.02573.x
- Celma S., Blate K., Lazdiņa D., Dūmiņš K., Neimane S., Štāls T. A., Štikāne K. 2019. Effect of soil preparation method on root development of P. sylvestris and P. abies saplings in commercial forest stands. — New Forest. 50(2): 283–290. https://doi.org/10.1007/s11056-018-9654-4
- Novichonok E. V., Galibina N. A., Kharitonov V. A., Kikeeva A. V., Nikerova K. M., Sofronova I. N., Rumyantsev A. S. 2020. Effect of site preparation under shelterwood on Norway spruce seedlings. — Scand. J. For. Res. 35(8): 523–531. https://doi.org/10.1080/02827581.2020.1825789
- Lõhmus K., Truu M., Truu J., Ostonen I., Kaar E., Vares A., Uri V., Alama S., Kanal A. 2006. Functional diversity of culturable bacterial communities in the rhizosphere in relation to fine-root and soil parameters in alder stands on forest, abandoned agricultural, and oil-shale mining areas. — Plant Soil. 283(1–2): 1–10. https://doi.org/10.1007/s11104-005-2509-8
- Ostonen I., Püttsepp Ü., Biel C., Alberton O., Bakker M. R., Lõhmus K., Majdi H., Metcalfe D., Olsthoorn A. F. M., Pronk A., Vanguelova E., Weih M., Brunner I. 2007. Specific root length as an indicator of environmental change. — Plant Biosyst. 141(3): 426–442. https://doi.org/10.1080/11263500701626069
- Ryser P. 2006. The mysterious root length. — Plant Soil. 286(1–2): 1–6. https://doi.org/10.1007/s11104-006-9096-1
- White P. J., George T. S., Gregory P. J., Bengough A. G., Hallett P. D., McKenzie B. M. 2013. Matching roots to their environment. — Ann. Bot. 112(2): 207–222.https://doi.org/10.1093/aob/mct123
- Wen Z., White P. J., Shen J., Lambers H. 2022. Linking root exudation to belowground economic traits for resource acquisition. — New Phytol. 233(4): 1620–1635. https://doi.org/10.1111/nph.17854
- Hanssen K. H. 2003. Natural regeneration of Picea abies on small clear-cuts in SE Norway. — For. Ecol. Manag. 180(1–3): 199–213. https://doi.org/10.1016/S0378-1127(02)00610-2
- Craine J. M. 2006. Competition for nutrients and optimal root allocation. — Plant Soil. 285(1–2): 171–185. https://doi.org/10.1007/s11104-006-9002-x
- Craine J. M., Dybzinski R. 2013. Mechanisms of plant competition for nutrients, water and light. – Funct. Ecol. 27(4): 833–840. https://doi.org/10.1111/1365-2435.12081
- Madsen C., Potvin C., Hall J., Sinacore K., Turner B. L., Schnabel F. 2020. Coarse root architecture: Neighbourhood and abiotic environmental effects on five tropical tree species growing in mixtures and monocultures. — For. Ecol. Manag. 460: 117851. https://doi.org/10.1016/j.foreco.2019.117851
- Ostonen I., Lõhmus K., Lasn R. 1999. The role of soil conditions in fine root ecomorphology in Norway spruce (Picea abies (L.) Karst.). — Plant Soil. 208(2): 283–292. https://doi.org/10.1023/A:1004552907597
- Eissenstat D. M. 1991. On the relationship between specific root length and the rate of root proliferation: a field study using citrus rootstocks. — New Phytol. 118(1): 63–68. https://doi.org/10.1111/j.1469-8137.1991.tb00565.x
- Fitter A. 1991. Characteristics and functions of root systems. — In: Plant roots: the hidden half. New York. P. 3–24.
- Pennanen T., Heiskanen J., Korkama T. 2005. Dynamics of ectomycorrhizal fungi and growth of Norway spruce seedlings after planting on a mounded forest clearcut. — For. Ecol. Manag. 213(1–3): 243–252. https://doi.org/10.1016/j.foreco.2005.03.044
- Ingestad T. 1979. Mineral nutrient requirements of Pinus silvestris and Picea abies seedlings. — Physiol. Plant. 45(4): 373–380. https://doi.org/10.1111/j.1399-3054.1979.tb02599.x
- Cape J. N., Freer-Smith P. H., Paterson I. S., Parkinson J. A., Wolfenden J. 1990. The nutritional status of Picea abies (L.) Karst. across Europe, and implications for ?forest decline? — Trees. 4(4): 211–224. https://doi.org/10.1007/BF00225318
- Ingestad T. 1959. Studies on the nutrition of forest tree seedlings. II Mineral nutrition of spruce. — Physiol. Plant. 12(3): 568–593. https://doi.org/10.1111/j.1399-3054.1959.tb07979.x
- Comerford N. B., Fisher R. F. 1984. Using foliar analysis to classify nitrogen-deficient sites. — Soil Sci. Soc. Am. J. 48(4): 910–913. https://doi.org/10.2136/sssaj1984.03615995004800040042x
- Peng Y., Niklas K. J., Sun S. 2011. The relationship between relative growth rate and whole-plant C : N : P stoichiometry in plant seedlings grown under nutrient-enriched conditions. — J. Pl. Ecol. 4(3): 147–156. https://doi.org/10.1093/jpe/rtq026
Supplementary files



