Structural defect parameters assessment of composite materials using thermal imaging and eddy current non-destructive testing equipment
- Authors: Chichigina B.A.1,2, Malushin D.S.1, Kokurov A.M.3,4, Subbotin D.E.1,3
-
Affiliations:
- National Research University MPEI
- JSC VNIIAES
- JSC Tupolev
- Mechanical Engineering Research Institute of RAS
- Issue: Vol 69, No 9 (2024)
- Pages: 904-911
- Section: РАДИОФИЗИЧЕСКИЕ ЯВЛЕНИЯ В ТВЕРДОМ ТЕЛЕ И ПЛАЗМЕ
- URL: https://ogarev-online.ru/0033-8494/article/view/282000
- DOI: https://doi.org/10.31857/S0033849424090104
- EDN: https://elibrary.ru/HRFOIS
- ID: 282000
Cite item
Full Text
Abstract
The possibility of determining the size of the delamination region and the depth of its location in non-metallic multilayer low-conductivity materials using the developed pulsed eddy current equipment by analyzing changes in the amplitude-time distribution of differential signals along the scan line is provided. A method for obtaining information on the shape and size of delaminations based on the use of a non-stationary thermal method of non-destructive testing is also provided. The effectiveness of the proposed methods for assessing the parameters of discontinuities in composite materials, as well as the productivity of the selected technical solutions is confirmed by the results of experimental studies conducted on samples of carbon fiber composite materials with artificially created structural defects in the form of delaminations of various sizes and shapes.
Full Text
ВВЕДЕНИЕ
В настоящее время полимерные слоистые композиты находят широкое применение при создании элементов конструкций различных технических объектов [1–3]. Для изготовления высокопрочных элементов композитных конструкций, как правило, используются специальные листовые полуфабрикаты – препреги (от pre-impregnated – предварительно пропитанный) [4, 5].
В процессе производства или эксплуатации изделий из слоистых композитных материалов (КМ) в толще материала могут возникать локальные структурные нарушения различных видов, наиболее опасными из которых являются непроклеи, расслоения и расщепления. Нарушение связи слоев композитного материала или их частичное разрушение способно привести к критичному снижению прочностных характеристик изделия [6].
Цель данной работы – для решения задачи обеспечения прочности изделия на всей стадии его жизненного цикла провести комплексное исследование, неотъемлемой частью которого является точное и достоверное определение истинных границ структурных дефектов, их площадей и расположения по толщине композитного пакета.
ОБРАЗЦЫ ДЛЯ ЭКСПЕРИМЕНТАЛЬНОГО АПРОБИРОВАНИЯ
Объектами демонстрационных испытаний были выбраны прямоугольные пластины с искусственными дефектами, изготовленные из однонаправленного препрега с высокопрочным угольным волокном и полимерным связующим. Размер пластин 100×150 мм, углы ориентации монослоев (град): +45, 0, -45, 90, 0, 0, 0, +45, 0, -45, 0, 0, 0, 0, +45, 90, 0, 0, 0, 0, 90, +45, 0, 0, 0, 0, -45, 0, +45, 0, 0, 0, 90, -45, 0, +45. Толщина каждого монослоя 0.113 мм.
В процессе укладки композитного пакета между слоями были размещены имитаторы дефектов – фрагменты фторопластовой пленки, обладающей схожими электрофизическими свойствами с транспортировочной пленкой, применяемой для защиты препрегов на соответствующей технологической стадии. Фрагменты пленки имели одинаковую толщину, равную 0.12 мм, но отличались формой и размерами. Имитаторы были расположены в центре образца на различном расстоянии от его лицевой поверхности. Всего было изготовлено четыре образца со следующими вариациями форм и размеров имитаторов дефектов.
Образец 1 – прямоугольная форма, размер имитатора 55×83 мм, расстояние от поверхности до дефекта равно 0.678 мм (между шестым и седьмым слоями).
Образец 2 – круглая форма, диаметр имитатора 31 мм, расстояние от поверхности 0.678 мм.
Образец 3 – круглая форма, диаметр имитатора 62 мм, расстояние от поверхности до дефекта 0.678 мм.
Образец 4 – круглая форма, диаметр имитатора 62 мм, расстояние от поверхности до дефекта составляет 1.356 мм (между 12-м и 13-м слоями).
ПРИБОРНЫЕ И МЕТОДИЧЕСКИЕ СРЕДСТВА ВИХРЕТОКОВОГО КОНТРОЛЯ
Для получения информации о форме и глубине искусственных дефектов на композитных образцах с заложенными несплошностями применялся импульсный вихретоковый вид неразрушающего контроля. Его аппаратная реализация включала импульсный генератор напряжения специальной формы, вихретоковые преобразователи накладного типа с системой регистрации и анализа сигналов [7].
Для решения задач многопараметрового импульсного вихретокового контроля качества слоистых композитов была применена новая методика [7], основанная на классических и вновь выявленных информативных параметрах дифференциальных вихретоковых сигналов (рис. 1). В общем случае, состав поля информативных признаков включает в себя время достижения максимума амплитуды сигнала, сам максимум амплитуды сигнала, а также значение сигнала в три момента времени, выбранные по критериям, предложенным в [8, 9].
Рис. 1. Информативные признаки дифференциального вихретокового сигнала (светлые кружки) на зависимости амплитуды сигнала от времени (сплошная кривая).
Для повышения эффективности методики, описанной в [7], была проведена оптимизация процесса анализа сигналов и способ интерпретации величин информативных признаков, учитывающая, что объекты контроля не обладают магнитными свойствами. Согласно разработанному алгоритму, в процессе диагностики фиксируются максимальное значение сигнала, время, соответствующее этому значению, а также координата положения датчика на плоскости сканирования. Измеренные значения являются абсциссами и ординатами характерных точек, положение которых на плоскости состояния отражает одновременное изменение нескольких несвязанных параметров объекта контроля (рис. 2).
Рис. 2. Плоскости состояния объекта для определения величины и расположения структурной неоднородности внутри многослойного материала при значении неоднородности 20 (1), 40 (2), 60 (3), 80 (4) и 100 мкм (5).
Следует отметить, что при проведении контроля композиционных объектов, состоящих из тонких слабопроводящих слоев, основной технической сложностью является необходимость снижения значения начальной глубины проникновения вихревых токов в объекте путем формирования прямоугольных импульсов тока с коротким фронтом в нагрузке, носящей индуктивный характер. Большинство современных сильноточных элементов коммутации, используемых в выходных каскадах импульсных вихретоковых генераторов, обеспечивают длительности процессов переключения порядка 20 нс. Однако ввиду того, что нагрузка генератора носит индуктивный характер, время нарастания тока возбуждения в ней больше, чем время нарастания приложенного напряжения. При длительности переднего фронта напряжения возбуждения, равной 20 нс, длительность возбуждающего тока в датчике (со значением индуктивности около 10 мкГн и сопротивлением порядка 10 Ом) составляет не менее 1.3 мкс, что недопустимо при контроле тонкослойных объектов.
Для снижения длительности фронта возбуждающего импульса необходимо применять генератор напряжения специальной формы (рис. 3).
Рис. 3. Блок-схема (а) и внешний вид (б) системы возбуждения с генератором напряжения специальной формы.
Система возбуждения состоит из основного и добавочного источников постоянного напряжения, возбуждающей катушки Lвозб, балластного резистора Rб, коммутирующих элементов Switch (образующих транзисторный H-мост) и вспомогательных электрических элементов C1, C2, D1, D2, Rпер.
Источник постоянного напряжения работает в непрерывном режиме и заряжает конденсатор C2. Добавочный источник заряжает конденсатор C1 до напряжения, значение которого превышает уровень напряжения на конденсаторе C2. Инициация импульса возбуждения происходит по команде от системы синхронизации и анализа, при этом непосредственно перед генерацией импульса возбуждения добавочный источник прекращает работу, его внутренний диод переходит в запертое состояние, в результате чего конденсатор C1 отключается от выходной цепи источника.
В первые моменты времени после замыкания соответствующих коммутирующих элементов Switch (по сигналу от системы синхронизации и анализа) диод D2 закрыт, а диод D1 переходит в открытое состояние и к цепочке, образованной возбуждающей катушкой Lвозб и балластным резистором Rб приложено напряжение конденсатора C1. В последующие моменты времени, конденсатор C1, отключенный от источника напряжения, разряжается по экспоненциальному закону через цепочку Rпер–Lвозб–Rб до значения, соответствующего уровню напряжения на конденсаторе C2. Диод D2 переходит в открытое состояние и к цепочке Lвозб – Rб приложено напряжение конденсатора C2.
Таким образом, к цепочке, образованной возбуждающей катушкой Lвозб и балластным резистором Rб приложено напряжение являющееся суммой постоянного напряжения на конденсаторе C2 и переменного напряжения вольтодобавки на конденсаторе C1. На рис. 4 представлены для сравнения формы выходного напряжения обычного генератора прямоугольного напряжения и генератора напряжения специальной формы.
Рис. 4. Формы выходных напряжений различных генераторов: 1 – напряжение возбуждения (меандр), 2 – напряжение возбуждения специальной формы.
Амплитуда и ширина импульса вольтодобавки играют ключевую роль при формировании импульса тока возбуждения с фронтом требуемой длительности. Продолжительность импульса вольтодобавки зависит от значения постоянной времени цепочки C1 – Rпер – D1 – Lвозб – Rб – Switch и может быть скорректирована путем изменения значения электрического сопротивления участка цепи Rпер (в частном случае – силового электронного резистора).
На рис. 5а представлена форма тока в возбуждающей катушке датчика, соответствующая форме напряжения специальной формы, изображенной на рис. 3, а на рис. 5б для сравнения представлены амплитудно-временные зависимости тока возбуждения при использовании обычного генератора напряжения и генератора напряжения специальной формы. За счет применения представленных схемотехнических решений удается повысить эффективность контроля тонких, слабопроводящих слоистых композитов.
Рис. 5. Сопоставление кривых тока и напряжения в цепях обычного импульсного генератора (а): напряжение (1) и ток (2) в возбуждающей катушке, и сопоставление тока специального возбуждающего генератора (б) при специальной (1) и прямоугольной (2) формах напряжения возбуждения.
Низкая электропроводность рассматриваемых материалов также обусловливает ряд повышенных требований к качеству дифференциальных накладных вихретоковых преобразователей, содержащих, как минимум, две измерительные обмотки, включенные встречно. Нескомпенсированная величина дифференциального напряжения и значение напряжения питания усилительного тракта системы напрямую определяют возможную кратность применяемого усиления, а следовательно, и уровень чувствительности всего измерительного тракта. При этом величина дифференциального сигнала, соответствующая области без структурных изменений тем меньше, чем меньше различия основных и паразитных параметров возбуждающих и измерительных катушек. При их машинной намотке итоговый коэффициент балансировки обычно не превышает –40 дБ (отношение максимального нескомпенсированного значения дифференциального напряжения к полному напряжению каждой из измерительных катушек).
С целью повышения чувствительности измерительной системы была разработана серия преобразователей с высоким коэффициентом балансировки, от –78 до –98 дБ (рис. 6).
Рис. 6. Накладной абсолютный преобразователь, являющийся составной единицей дифференциального датчика.
Для повышения уровня дискретизации измерительных сигналов переходный электромагнитный процесс в контролируемом объекте был замедлен посредством увеличения эффективного радиуса возбуждающей катушки – контуры вихревых токов, в первом приближении, повторяют вид удлиненных токоведущих элементов возбуждающей секции преобразователя, за счет чего была увеличена постоянная времени релаксации. Вызванное этим снижение пространственного разрешения вихретокового датчика было скомпенсировано деформацией возбуждающих и измерительных катушек: ввиду того, что преобразователь имеет форму эллипса и перемещается при сканировании в направлении перпендикуляра, построенного к его большему радиусу, разрешающая способность представленного датчика определяется шириной его короткой стороны.
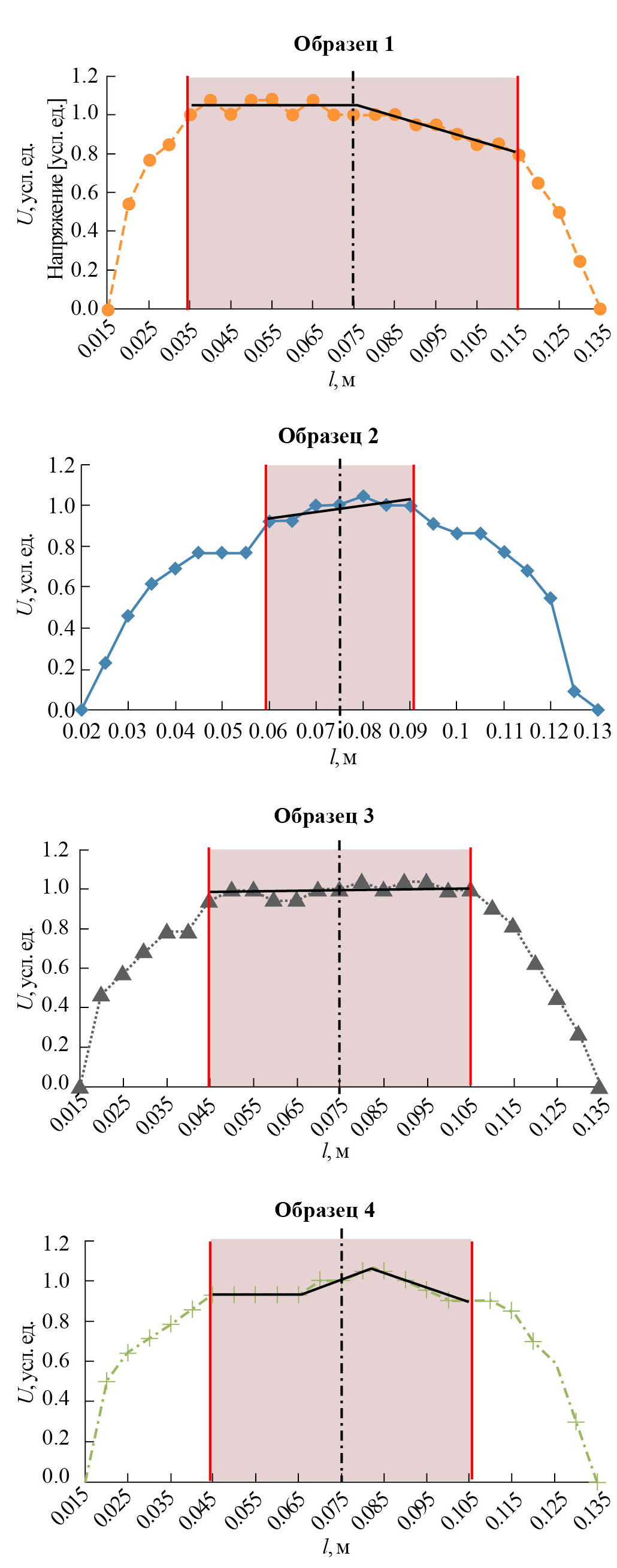
По измерениям дифференциального сигнала с учетом фиксируемых координат положения датчика были получены диаграммы электромагнитного отклика продольных срезов образца. При приближении датчика к дефекту амплитуда дифференциального сигнала нелинейно возрастает, а при его заходе на искусственный дефект практически не претерпевает изменений, образуя плато (рис. 7), соответствующее максимальному значению напряжения.
Рис. 7. Идентификация дефектов структуры слоистых композитов с помощью импульсного вихретокового неразрушающего контроля для образцов 1 (а), 2 (б), 3 (в) и 4 (г), закрашены области дефекта.
Расположение реальных границ искусственного дефекта соответствует фазе изменения характера нарастания дифференциального напряжения на его пространственном распределении. Точность определения их границ зависит от размера возбуждающей секции вихретокового датчика. Для преобразователя, применяемого в экспериментах, этот параметр равен 1.5 мм. При проведении сканирования образцов 2 и 3, отличающихся глубиной расположения заложенных расслоений, максимум дифференциального сигнала, полученного от более глубокого дефекта, смещается вправо по оси времени [10]. Границы искусственных дефектов, диаметр которых превышает размеры датчика, достоверно определяются представленным вихретоковым оборудованием, однако пространственного разрешения, обеспечиваемого для дефектов, обладающих диаметром, сопоставимым с линейными размерами датчика, может оказаться недостаточно. Так, на образцах 2 и 3 искусственные дефекты имели меньшую площадь, амплитуда сигнала от границы заложенных расслоений была размыта, и поэтому затруднительно достоверно определить край дефекта и провести измерение его геометрических параметров.
ПРИМЕНЕНИЕ ТЕПЛОВОГО МЕТОДА
С целью верификации полученных данных и уточнения, определенных вихретоковым методом, границ искусственных дефектов был применен нестационарный тепловой метод. Данный метод традиционно используется в авиационной и космической отрасли как один из основных методов контроля изделий из композиционных материалов наряду с ультразвуковыми методами [11].
Был выбран длительный нагрев одним импульсом как оптимальный для получения контрастных термограмм данных объектов, представляющих собой образцы из слоев с высокой теплопроводностью, что было получено на предварительной фазе исследования. При этом рассматривались наиболее распространенные режимы нагрева [12]. Нагрев образцов осуществлялся галогенной лампой мощностью 500 Вт. Расстояние от объекта исследования до источника нагрева составляло 30 мм. Длительность нагружения образцов варьировалось в диапазоне от 1 до 5 с и контролировалась электронным таймером TDM SQ1506-0002, подающим напряжение на лампу. Для регистрации термограмм применялся тепловизор NEC TH9100 PWV с температурным разрешением 0.02 °С. Его удаление от объекта составляло 500 мм. Для анализа и регистрации термограмм использовалось программное обеспечение NEC Image processor 4.7. В ходе испытаний была обнаружена существенная зависимость температурного контраста в зоне искусственного дефекта от длительности тестирующего нагрева Δt. При ее оптимальном значении Δtопт регистрируемые термограммы позволяли уверенно обнаруживать подповерхностные дефекты структуры (рис. 8). Экспериментально было получено, что для имеющихся образцов с глубинами залегания расслоений в диапазоне 0.678 … 1.356 мм оптимальное время нагрева в зависимости от глубины залегания составляло 2.5 … 3.5 с.
Рис. 8. Термограммы образцов 1 (а), 2 (б), 3 (в) и 4 (г) и определенные оптимальные длительности нагрева: Δtопт = 3.5 (а, в) и 2.5 (б, г).
Для расчета площади дефектных зон использовался автоматизированный алгоритм, реализованный в программном комплексе National Instruments Vision Assistant. Форма и характерные размеры аномальных участков фиксировались по тепловому контрасту на поверхности образцов после применения процедур обработки изображения. От образцов с малыми размерами заложенных расслоений была получена резкая граница дефекта на термограмме, при этом границы крупных дефектов были нерезкими.
Эксперимент показал, что при обработке термограмм удалось выявить искусственные дефекты во всех образцах, при этом определена форма и размер искусственных дефектов образцов 2 и 3 с погрешностью не более 10%, для образцов с большими размерами заложенных расслоений погрешность составила 20%. При этом по сравнению с вихретоковым импульсным видом контроля изображение дефекта и форма его проекции на лицевую поверхность были получены без проведения сканирования.
ЗАКЛЮЧЕНИЕ
Для образцов с искусственными дефектами, моделирующими расслоение, определены геометрические параметры дефектов – форма и площадь, а также величина расстояния от поверхности образца до места расположения дефекта. Для этого предложена специальная аппаратура и новый методический подход реализации импульсного вихретокового вида неразрушающего контроля для углепластиковых композитных материалов. Также для верификации методики вихретокового контроля и дополнения полученных данных применен традиционный метод теплового нестационарного контроля.
Анализ результатов экспериментов показал, что для эффективного решения поставленных задач целесообразно совместное применение теплового и вихретокового неразрушающего контроля. При этом нестационарный тепловой метод позволяет точно определять границы мелких дефектов благодаря оптимальному подбору времени нагрева, а импульсный вихретоковый обеспечивает возможность точного определения границ и определения формы крупных дефектов. Применение специальных схемных решений позволило увеличить чувствительность и разрешающую способность в плоскости и по глубине объекта исследования, что критически важно для прогнозирования характера разрушения деталей под нагрузкой. Совместное применение импульсного вихретокового и нестационарного теплового методов дало возможность скомпенсировать потерю чувствительности, расширить диапазон, номенклатура и характер выявляемых дефектов, а также повысить точность определения их ключевых параметров: площади, формы, глубины залегания при контроле композитных изделий из углеродных композиционных материалов.
Результаты проведенных исследований могут быть использованы при разработке комплексных методик неразрушающего контроля новых конструкций и изделий из углеродных композиционных материалов.
About the authors
B. A. Chichigina
National Research University MPEI; JSC VNIIAES
Author for correspondence.
Email: boris_ch@mail.ru
Russian Federation, Krasnokazarmennaya Str., 14. Build. 1, Moscow, 111250; Ferganskaya Str., 25, Moscow, 109507
D. S. Malushin
National Research University MPEI
Email: boris_ch@mail.ru
Russian Federation, Krasnokazarmennaya Str., 14. Build. 1, Moscow, 111250
A. M. Kokurov
JSC Tupolev; Mechanical Engineering Research Institute of RAS
Email: boris_ch@mail.ru
Russian Federation, Academician Tupolev Embankment, 17, Moscow, 105005; Maly Kharitonyevsky Lane, 4, Moscow, 101000
D. E. Subbotin
National Research University MPEI; JSC Tupolev
Email: boris_ch@mail.ru
Russian Federation, Krasnokazarmennaya Str., 14. Build. 1, Moscow, 111250; Academician Tupolev Embankment, 17, Moscow, 105005
References
- Rathnakar G., Pal Pandeian P. //Int. J. for Reasearch in Applied Science and Engineering Technology. 2015. V. 3. № 4.P. 898.
- Arif M., Asif M., Ahmed I. // Int. J. Engineering and Manufacturing Science. 2017. V. 7. № 2. P. 393.
- Toozandehjani M., Kamarudin N., Dashtizadeh Z et al. // Amer. J. Aerospace Engineering. 2018. V. 5. № 1. P. 9.
- Kaw A.K. Mechanics of Composite Materials. Boca Raton: CRC Press, 2005.
- Mallick P.K. Fiber-Reinforced Composites: Materials, Manufacturing, and Design. Boca Raton: CRC Press, 2007.
- Advani S.G., Sozer E.M. Process Modeling in Composites Manufacturing. Boca Raton:CRC Press, 2010.
- Малушин Д.С.// Письма в ЖТФ. 2019. Т.45. № 15. С.17.
- Чернов Л.А., Малушин Д.С., Лунин В.П., Пастухов Е.Г. Устройство определения толщины магнитных отложений на поверхности труб вихретоковым методом. Патент РФ № 143178. Опубл. Офиц. бюл. «Изобретения. Полезные модели» № 20 от 20.07.2014.
- Малушин Д.С. Многопараметровый контроль многослойных структур импульсным вихретоковым методом. Автореф. дис. … канд. техн. наук. М.: НИИ интроскопии МНПО «Спектр», 2022. 24 с.
- Кокуров А.М., Малушин Д.С., Чичигин Б.А. и др. // Письма в ЖТФ. 2020. Т. 43. № 22. С. 15.
- Meola C., Carlomagno G. M., Boccardi S. et al. // 11th Europ. Conf. Non-Destructive Testing (ECNDT 2014). Prague. 06-10 Oct. Red Hook: Curran Associates, Inc. 2014. V. 2. P. 1060.
- Ciampa F., Mahmoodi P., Pinto F., Meo M. // Sensors. 2018. V.18. № 2. Article No. 609.
Supplementary files










