Characteristics of backscattering at high angles of incidence of TM-polarization plane waves on an extended metal plate with a radio-absorbing coating based on the structure of an artificial magnetic conductor
- Authors: Kazantsev Y.N.1, Kraftmakher G.A.1, Mal’tsev V.P.1, Solosin V.S.1,2
-
Affiliations:
- Kotelnikov Institute of Radioengineering and Electronics, RAS
- Institute of Theoretical and Applied Electrodynamics, RAS
- Issue: Vol 69, No 5 (2024)
- Pages: 422-428
- Section: ELECTRODYNAMICS AND RADIO WAVE PROPAGATION
- URL: https://ogarev-online.ru/0033-8494/article/view/275940
- DOI: https://doi.org/10.31857/S0033849424050037
- EDN: https://elibrary.ru/ILNAAK
- ID: 275940
Cite item
Full Text
Abstract
The results of numerical calculation of backscattering at large angles of incidence of TM-polarization plane waves on an extended metal surface of finite dimensions with a radio-absorbing coating based on the structure of an artificial magnetic conductor are presented. It is shown that a coating of this type with a thickness of 1...2 mm makes it possible to lower by 10...30 dB the first (from large angles) maximum on the angular dependence of backscattering at ultrahigh frequencies in a band of the order of an octave.
Full Text
ВВЕДЕНИЕ
В книге [1] при рассмотрении источников обратного рассеяния электромагнитных волн реальными объектами указан такой источник, как протяженная гладкая металлическая поверхность конечных размеров при скользящем падении на нее плоских волн TM-поляризации. Поля, сформированные на и над протяженными поверхностями конечных размеров при скользящем падении на них плоских волн TM-поляризации, в научно-технической литературе носят название бегущие волны (БВ), а связанное с ними обратное рассеяние — обратная бегущая волна. Характеристики БВ были рассмотрены в ряде работ [2–10]. Так, в работе [4] описаны колебания поля на металлической поверхности конечных размеров с периодом, равным половине длины волны в свободном пространстве, которые вызваны переотражением краевых волн между передним и задним краями поверхности.
Угловые зависимости обратного рассеяния от протяженных гладких поверхностей конечных размеров при падении на них плоских TM-волн описаны, например, в [1] и [9]. Эти зависимости носят интерференционный характер: чередующимися максимумами и минимумами уровня обратного рассеяния. При этом первый со стороны больших углов максимум отличается от соседних бо́льшими шириной и высотой. Согласно рекомендациям [1] обратное рассеяние может быть подавлено путем нанесения на протяженную металлическую поверхность тонкого слоя материала, поглощающего поверхностные токи. Так, в работе [9] показано, что слой магнитодиэлектрика толщиной 0.5 мм со сравнительно небольшими электрическими и магнитными потерями на протяженной металлической поверхности снижает на 5 дБ уровень первого максимума на угловой зависимости обратного рассеяния. Также было показано, что основной вклад в снижение обратного рассеяния вносят потери магнитного типа.
Уменьшение поверхностного тока и, соответственно, уровня обратного рассеяния следует ожидать также при ослаблении одной из основных составляющих, формирующих поля и токи на протяженной металлической поверхности, а именно отраженной плоской волны TM-поляризации. Достаточно сильное и широкополосное ослабление отраженной волны может обеспечить радиопоглощающее покрытие (РПП) на основе структуры искусственного магнитного проводника (ИМП), предложенное в [10]. Замечательной особенностью этого покрытия является эффект расширения полосы поглощения при увеличении угла падения плоской TM-волны.
Цель данной работы — путем численного расчета получить в микроволновом диапазоне угловые зависимости обратного рассеяния плоских волн TM-поляризации от протяженных металлических пластин различной длины с РПП на основе ИМП-структуры.
Численные расчеты в статье проведены методом моментов в программе FEKO.
1. ЧАСТОТНО-УГЛОВЫЕ ХАРАКТЕРИСТИКИ КОЭФФИЦИЕНТА ОТРАЖЕНИЯ ПЛОСКИХ ВОЛН TM-ПОЛЯРИЗАЦИИ ОТ МЕТАЛЛИЧЕСКОЙ ПОВЕРХНОСТИ С РПП НА ОСНОВЕ ИМП-СТРУКТУРЫ
В работе [10] было предложено и изучено РПП на основе ИМП-структуры. Схема этого РПП, включающая в свой состав полосно-отражающую решетку 1, слой диэлектрика с потерями 2 и металлический экран 3, представлена на рис 1. Элементами решетки являлись квадратные металлические петли двух типоразмеров: с меньшим и большим центральным отверстием (рис. 2а, 2б). Было отмечено, что РПП обладает существенно большей широкополосностью в случае элементов с меньшим центральным отверстием (см. рис. 2б). Поэтому здесь и далее в схеме РПП будут использоваться полосно-отражающие решетки с периодом P = 10.3 мм с элементами в форме сплошного квадрата со стороной 10 мм без центрального отверстия (рис. 2в).
Рис. 1. Схема РПП: 1 — частотно-селективная решетка, 2 — слой диэлектрика, 3 — металлический экран.
Рис. 2. Варианты элементов частотно-селективной решетки (размеры в мм).
На рис. 3а–в приведены частотные зависимости коэффициента отражения плоских волн TM-поляризации от металлической поверхности с РПП для четырех значений угла падения: 70°, 75°, 80° и 85°. Параметры РПП для зависимостей на рис. 3а–в приведены в табл. 1.
Рис. 3. Частотные зависимости коэффициента отражения плоских волн TM-поляризации от металлической поверхности с РПП (параметры см. в табл. 1 для рис. (а), (б) и (в)) при φ = 70 (1), 75 (2), 80 (3) и 85 град (4).
Таблица 1. Характеристики РПП и параметры частотных зависимостей на рис. 3а–в
φ, град | f0, ГГц | f1, ГГц | f2, ГГц | δf, % | tgδ |
Толщина D = 2 мм, диэлектрическая проницаемость ε = 5 (рис. 3а) | |||||
70 | 4.41 | 3.84 | 5.10 | 28.5 | 0.428 |
75 | 4.49 | 3.67 | 5.38 | 37.9 | 0.574 |
80 | 4.35 | 3.36 | 5.99 | 60.6 | 0.905 |
85 | 4.53 | 2.94 | 9.59 | 146.9 | 1.870 |
Толщина D = 2 мм, диэлектрическая проницаемость ε = 10.2 (рис. 3б) | |||||
70 | 3.10 | 2.79 | 3.48 | 22.1 | 0.332 |
75 | 3.10 | 2.71 | 3.61 | 29.2 | 0.439 |
80 | 3.10 | 2.55 | 3.91 | 43.8 | 0.661 |
85 | 3.15 | 2.24 | 5.12 | 91.4 | 1.335 |
Толщина D = 1 мм, диэлектрическая проницаемость ε = 10.2 (рис. 3в) | |||||
70 | 3.90 | 3.67 | 4.16 | 12.56 | 0.189 |
75 | 3.91 | 3.61 | 4.26 | 16.22 | 0.247 |
80 | 3.92 | 3.49 | 4.46 | 24.70 | 0.366 |
85 | 4.05 | 3.22 | 5.33 | 52.68 | 0.724 |
Примечание: f0 — резонансные частоты, на которых значения коэффициента отражения минимальны, f1 и f2 — крайние частоты, на которых коэффициент отражения равен –10 дБ, .
Для каждого угла падения подбиралась величина тангенса угла диэлектрических потерь tgδ, при которой уровень отражения <–50 дБ. Из рис. 3а–3в и табл. 1 следует, что с увеличением угла падения полосы поглощения быстро расширяются без заметного изменения резонансной частоты. Полосы поглощения также расширяются при увеличении толщины слоя диэлектрика с потерями. Так, полосы поглощения РПП из табл. 1 при угле падения 85° существенно превышают октаву.
2. РАСЧЕТ ЧАСТОТНО-УГЛОВЫХ ХАРАКТЕРИСТИК ОБРАТНОГО РАССЕЯНИЯ ОТ ПРОТЯЖЕННОЙ ИДЕАЛЬНО ПРОВОДЯЩЕЙ МЕТАЛЛИЧЕСКОЙ ПЛАСТИНЫ С РПП
На рис. 4 показана металлическая пластина, на которую под большим углом φ падает плоская волна TM-поляризации. Уровень обратного рассеяния от этой пластины связан с интенсивностью полей и токов на пластине. Эта интенсивность, а следовательно, и уровень обратного рассеяния могут быть снижены либо путем поглощения токов, либо путем уменьшения их возбуждения. Так, возбуждение токов на пластине может быть уменьшено путем устранения или ослабления одного из основных факторов, формирующих эти токи, — отраженной плоской TM-волны. Эффективным инструментом подавления отраженной плоской волны TM-поляризации является РПП на основе структуры ИМП, замечательной особенностью которого является расширение полосы поглощения при увеличении угла падения.
Рис. 4. Металлическая пластина с падающей на нее плоской TM-волной.
Поскольку угловая зависимость обратного рассеяния от протяженной пластины носит интерференционный характер, причем первый со стороны больших углов максимум отличается от соседних бо́льшими шириной и высотой, то его подавление является первостепенной задачей. Выражение для угла φ1, при котором имеет место первый (со стороны больших углов) максимум обратного рассеяния, приведено в работе [9]:
град,
где a — длина пластины, λ — длина волны в свободном пространстве.
Из выражения следует, в частности, что при фиксированном значении λ увеличение длины a ведет к смещению первого максимума в сторону бо́льших углов. Эффект снижения уровня обратного рассеяния с помощью РПП на основе ИМП-структуры был рассчитан при трех значениях длины пластины а:
а = 412 мм, D = 2 мм, ε = 5, tgδ = 0.428,
a = 2060 мм, D = 2 мм, ε = 10.2, tgδ = 0.661,
a = 6180 мм, D = 1 мм, ε = 10.2, tgδ = 0.724 .
Выбор величины tgδ здесь определяется требованием максимального подавления первого максимума обратного рассеяния. Так, при a = 412 мм среднее значение резонансной частоты в табл. 1 равно 4.44 ГГц, а соответствующая длина волны λ = 67.6 мм. Согласно формуле при этих значениях a и λ угол первого максимума на угловой зависимости обратного рассеяния равен φ1 = 70°. Для такого угла падения оптимальным будет значение tgδ = 0.428 в соответствии с табл. 1. С помощью аналогичной процедуры выбраны значения tgδ для двух других величин a.
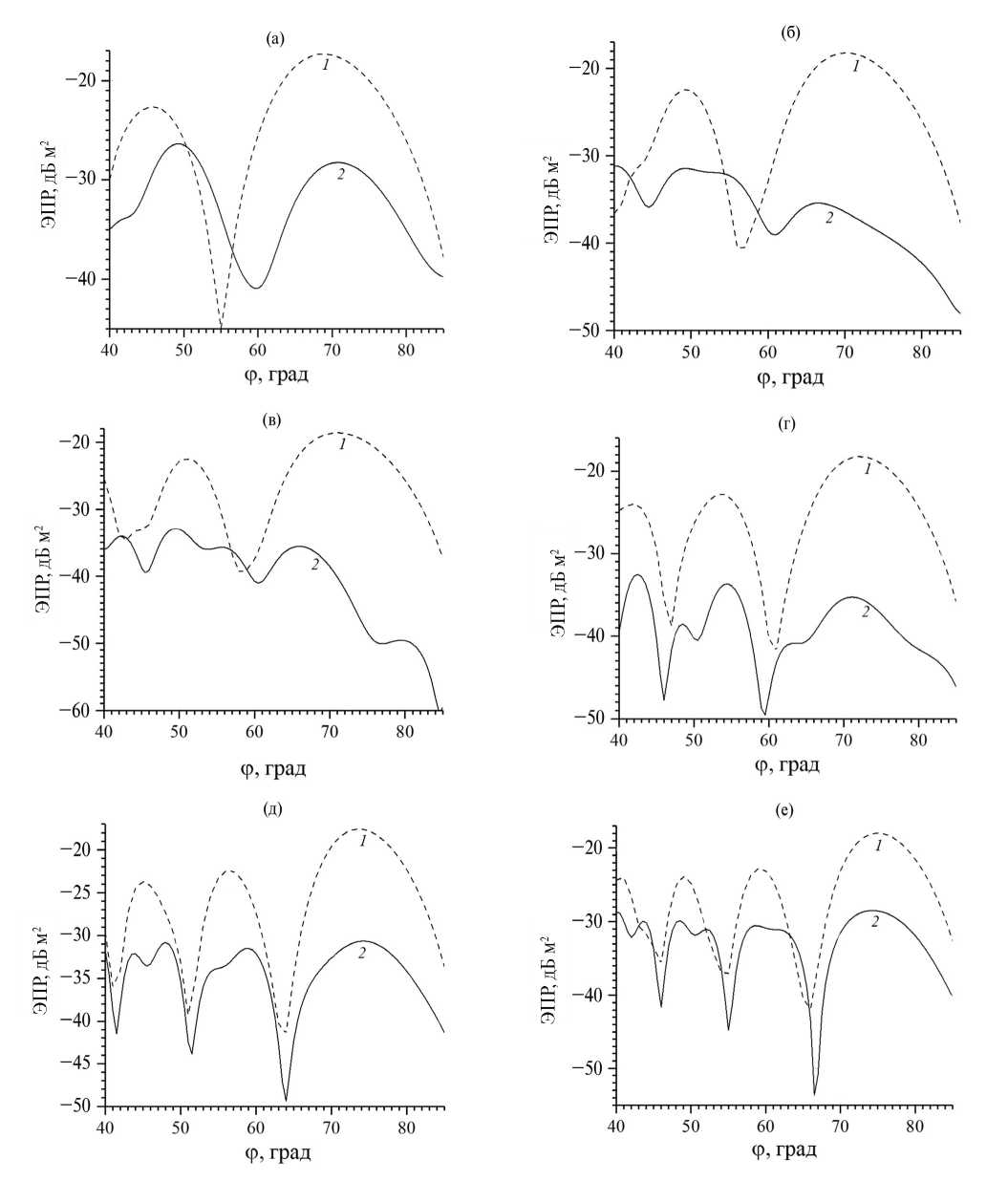
На рис. 5–7 представлены угловые характеристики обратного рассеяния от металлической пластины с РПП длиной 412, 2060 и 6180 мм соответственно. Ширина 51.5 мм одинакова для всех пластин.
Рис. 5. Угловые характеристики обратного рассеяния от металлической пластины длиной 412 мм и шириной 51.5 мм при f = 3.5 (а), 4 (б), 4.407 (в), 5 (г), 6 (д) и 7 ГГц (е): кривая 1 — без РПП, кривая 2 — с РПП толщиной 2 мм и ε = 5(1-j0.428).
Рис. 6. Угловые характеристики обратного рассеяния от металлической пластины длиной 2060 мм и шириной 51.5 мм при f = 2.5 (а), 3.1 (б), 4 (в) и 5 ГГц (г): кривая 1 — без РПП, кривая 2 — с РПП толщиной 2 мм и ε = 10.2(1-j0.661).
Рис. 7. Угловые характеристики обратного рассеяния от металлической пластины длиной 6180 мм и шириной 51.5 мм при f = 3 (а), 4 (б), 5 (в) и 6 ГГц (г): кривая 1 — без РПП, кривая 2 — с РПП толщиной 1 мм и ε = 10.2(1-j0.724).
Из рис. 5–7 следует, что РПП понизило в диапазоне порядка октавы первые максимумы угловых зависимостей обратного рассеяния от металлических пластин длиной 412, 2060 и 6180 мм на 10…20, 16…30 и 28…38 дБ соответственно. При этом максимальное снижение обратного рассеяния имело место на резонансных частотах РПП. Из представленных здесь угловых зависимостей обратного рассеяния следует, что наряду с первым максимумом значительно снизились (до уровня 25…35 дБ(м2)) и все соседние максимумы.
Следует также обратить внимание на то, что увеличение длины пластины сопряжено с увеличением угла падения, при котором имеет место первый максимум обратного рассеяния. Поскольку полоса поглощения РПП растет с увеличением этого угла, появляется возможность одновременного уменьшения толщины покрытия при сохранении его прежней широкополосности. Так, при длине пластины 6180 мм РПП толщиной 1 мм снижает уровень первого максимума обратного рассеяния на 38…28 дБ в полосе частот 3…6 ГГц. При этом следует отметить, что в РПП используется материал с электрическим типом потерь, в отличие от работы [9], в которой показано, что для подавления поверхностных токов более эффективен материал с магнитными потерями.
ЗАКЛЮЧЕНИЕ
С помощью численных расчетов определены параметры РПП на основе ИМП-структуры, обладающие возможно более широкими полосами поглощения при больших углах падения плоских волн TM-поляризации. Так, при толщине РПП 2 мм и углах падения 85° эти полосы существенно превышают октаву.
Сравнение частотно-угловых характеристик обратного рассеяния от металлических пластин с РПП и без РПП длиной 412, 2060 и 6180 мм в угловых интервалах 40°…90°, 60°…90°, 70°…90° соответственно и в частотных диапазонах порядка октавы показало существенное снижение обратного рассеяния от пластины с РПП в этих угловых интервалах и частотных диапазонах. Так, РПП толщиной 1 мм на металлической пластине длиной 6180 мм снижает первый максимум обратного рассеяния на частотах 3, 4, 5 и 6 ГГц с –3 дБ м2 до — 36 дБ м2, с –5 дБ м2 до –44 дБ м2, с –7 дБ м2 до –36 дБ м2 и с –6 дБ м2 до –34 дБ м2 соответственно. При этом все остальные максимумы в интервале углов 70°…90° снижаются приблизительно до уровня –30 дБ м2.
Авторы данной работы заявляют об отсутствии конфликта интересов.
ФИНАНСИРОВАНИЕ РАБОТЫ
Работа выполнена за счет бюджетного финансирования в рамках государственного задания ИРЭ им. В.А. Котельникова РАН.
About the authors
Yu. N. Kazantsev
Kotelnikov Institute of Radioengineering and Electronics, RAS
Author for correspondence.
Email: yukazantsev@mail.ru
Fryazino Branch
Russian Federation, Vvedenskii Squar., 1, Fryazino, Moscow oblast, 141190G. A. Kraftmakher
Kotelnikov Institute of Radioengineering and Electronics, RAS
Email: yukazantsev@mail.ru
Fryazino Branch
Russian Federation, Vvedenskii Squar., 1, Fryazino, Moscow oblast, 141190V. P. Mal’tsev
Kotelnikov Institute of Radioengineering and Electronics, RAS
Email: yukazantsev@mail.ru
Fryazino Branch
Russian Federation, Vvedenskii Squar., 1, Fryazino, Moscow oblast, 141190V. S. Solosin
Kotelnikov Institute of Radioengineering and Electronics, RAS; Institute of Theoretical and Applied Electrodynamics, RAS
Email: yukazantsev@mail.ru
Fryazino Branch
Russian Federation, Vvedenskii Squar., 1, Fryazino, Moscow oblast, 141190; Izhorskaya Str., 13, Moscow, 125412References
- Knott E.F. Radar Cross Section. / Radar Handbook. 3rd ed. Ed. by M.I. Scolnik. N Y.: McGraw-Hill Education, 2008. P.14-1.
- Petters L. // IRE Trans. 1958. V. AP-6. № 1. P. 133.
- Knott E.F., Liepa V.V., Senior T.B.A. // Techn. Report AFAL-TR. 73-70. Ann Arbor: Univ. Michigan Radiation Lab, 1973. 103 p.
- Knott E.F. // Proc. IEEE. 1985. V. 73. № 2. P. 252.
- Paknys R., Jackson D.R. // IEEE Trans. 2005. V. AP-53. № 3. P. 898.
- Knott E.F., Shaeffer J.F., Tuley M.T. Radar Cross Section. 2nd ed. Stevenage: IET Digital Library, 2004. doi: 10.1049/SBRA026E
- Knott E.F. // IEEE Trans. 1990. V. AP-38. № 11. P. 1859.
- Ross R.A. // IEEE Trans. 1966. V. AP-14. № 3. P. 329.
- Zheng L., Yang X., Gong W., Li X. // J. Appl. Phys. 2021. V. 130. № 10. Р. 105304. doi.org/10.1063/5.0061943
- Казанцев Ю.Н., Крафтмахер Г.А., Мальцев В.П., Солосин В.С. // РЭ. 2024. Т. 69. № 2. С. 115.
Supplementary files









