Plasma antenna with frequency adjustment
- Authors: Minaev I.M.1, Tikhonevich O.V.1, Vekshin Y.E.2
-
Affiliations:
- Prokhorov General Physics Institute Russian Academy of Sciences
- 16 Central Research Testing Institute of the Ministry of Defense of the Russian Federation named after Marshal A. I. Belov
- Issue: Vol 69, No 3 (2024)
- Pages: 227-232
- Section: АНТЕННО-ФИДЕРНЫЕ СИСТЕМЫ
- URL: https://ogarev-online.ru/0033-8494/article/view/266078
- DOI: https://doi.org/10.31857/S0033849424030033
- EDN: https://elibrary.ru/JVKKXH
- ID: 266078
Cite item
Full Text
Abstract
A discharge of limited length (“plasma column”) in a gas-discharge tube filled with a rarefied gas was studied. The discharge is created due to the one-sided excitation of an extended high-frequency discharge supported by a propagating azimuthally symmetric mode of the surface wave. It is shown that a “plasma column” can be an effective plasma antenna at operating frequencies below the plasma frequency (ωp), with frequency tuning due to changes in the length of the “plasma column”.
Full Text
1. Постановка задачи
В ряде работ [1–9] показано, что использование плазмы в качестве токонесущего элемента позволяет создавать плазменные антенны при выполнении условия
(1)
где nкр – концентрация электронов, при которой рабочая частота ωр равна плазменной частоте ωп,
(2)
e – заряд, m – масса электрона, nе – концентрация электронов.
Плазменные антенны из газоразрядных трубок [4], в отличие от металлических, допускают регулировку электродинамических параметров электронным способом. Разряд в газоразрядной трубке поддерживается излучением передатчика на частоте ωр.
Отличительная особенность такого способа возбуждения – возможность изменения длины плазменной области (плазменного столба) при изменении мощности излучения передатчика [5, 7].
Цель данной работы – исследовать возможность частотной перестройки антенны за счет изменения длины “плазменного столба”.
2. Экспериментальная часть
Плазменный столб является эффективным излучателем, если выполняется условие ne >> nкр. Величину ne можно определить по измерениям сопротивления Z плазменного столба. Комплексное сопротивление Z является функцией рабочей частоты ωр, частоты электронных столкновений при заданном давлении газа νe и концентрации электронов ne.
Эксперименты проводили с газоразрядной трубкой длиной ~λ/4, являющейся макетом плазменных вибраторных антенн, возбуждаемых излучением собственного передатчика на частоте ωр.
Газоразрядная трубка, длина плазменного слоя в которой зависит от мощности передатчика, является нагрузкой с переменным сопротивлением Z в линии питания (рис. 1) [5]. Измерение коэффициента стоячей волны (КСВ) позволяет определить величину Z в зависимости от длины плазменного слоя.
Измерение КСВ проводили измерителем мощности и КСВ типа SWR-25 MKII.
Плазменный столб в газоразрядной трубке, наполненной разреженным газом, создавался за счет возбуждения протяженного ВЧ-разряда излучением передатчика [5, 7]. В качестве источника высокочастотных колебаний была использована связная радиостанция (Yaesu-857 на частотах 140 и 430 МГц). Максимальная мощность излучения передатчика 50 Вт.
Схема экспериментального стенда приведена на рис. 1 [5].
Рис. 1. Схема экспериментального стенда: 1 – передатчик, 2 – измеритель КСВ, 3 – согласующая линия, 4 – газоразрядная лампа.
Экспериментальный стенд установлен на металлическом основании. Вертикально к основанию установлена лампа дневного света (люминесцентная лампа Navigator NTL-T4-16_860-G5, 16W, диаметр 12 (мм), длина с цоколем 455 мм, длина колбы 430 мм, заполненная аргоном при давлении ~1…3 Торр с насыщенными парами ртути). С обратной стороны основания установлена согласующая линия, подключенная коаксиальным кабелем к измерителю КСВ и передатчику. Для калибровки степени согласования линии питания с нагрузкой использовалась стандартная четвертьволновая металлическая антенна. Для измерения КСВ при нагрузке в виде макета плазменной вибраторной антенны макет устанавливали на место металлической антенны. Результаты измерений зависимости КСВ от мощности передатчика (частота 140 МГц) при нагрузке в виде плазменной антенны приведены на рис. 2. Там же приведены результаты измерений зависимости длины плазменного столба от мощности передатчика на частоте 140 МГц.
Измерения КСВ показали, что с увеличением мощности передатчика величина КСВ с металлической антенной остается постоянной, с плазменной антенной одновременно с ростом длины плазменного столба lст растет величина КСВ от 1.83 до 3.0. Максимальное значение КСВ достигается при длине плазменного столба ~0.9 Lт. При длине “плазменного столба” примерно равной длине газоразрядной трубки: lст » Lт (~λ/4, мощность передатчика ~20 Вт), величина КСВ снижается до 2 и остается на этом уровне при дальнейшем увеличении мощности передатчика. Измерение длины плазменного столба на частоте передатчика 140 и 460 МГц производилось по измерениям длины области свечения люминофора газоразрядной трубки (люминесцентной лампы). Длина плазменного столба на частоте 140 и 460 МГц [7] пропорциональна мощности передатчика в указанном диапазоне мощностей.
3. Обсуждение полученных результатов
Отличительной особенностью рассматриваемого способа возбуждения плазменного канала является возможность изменения длины плазменной области (плазменного столба) при изменении мощности излучения передатчика [5, 7]. Разряд в газоразрядной трубке представляет собой плазменный волновод, по которому распространяется поверхностная волна (ПВ), значительная часть энергии которой идет на поддержание плазмы с высокой, превышающей критическую для данной частоты, концентрацией электронов (ne > nкр). Это условие обеспечивает распространение ПВ вдоль плазменного столба [7]. Плазменный столб может быть эффективным излучателем (антенной) если частота ωп в “плазменном столбе” превышает в два-три раза частоту ωр [1–3].
Для того чтобы определить возможность управления длиной плазменной антенны, представим плазменную область в виде комплексной нагрузки линии питания генератор-плазменная антенна (Zвх = Rл + Rп + jXп где Rл, Rп и Xп – сопротивление линии, активное и реактивное сопротивление плазменного столба, соответственно), параметры которой меняются в зависимости от длины плазменного столба и плотности плазмы, создаваемой излучением собственного передатчика [6, 7, 11].
Газоразрядная трубка, заполненная плазмой частично или полностью, с диэлектрической проницаемостью ε(ω), соответствующей плазме
(3)
где – частота столкновений электронов с нейтральными частицами, будет иметь импеданс [10]
Рис. 2. Зависимость КСВ (1, 2) и длины плазменного столба (3) от мощности передатчика на частоте 140 МГц; 1 – люминесцентная лампа, 2 – штыревая антенна.
(4)
где – геометрическая плазменная частота, , – длина вакуумного зазора, эффективная частота столкновений электронов. Выделяя в (4) действительную и мнимую части, получим активное и реактивное сопротивление и газоразрядной трубки, заполненной частично или полностью плазмой:
(5)
(6)
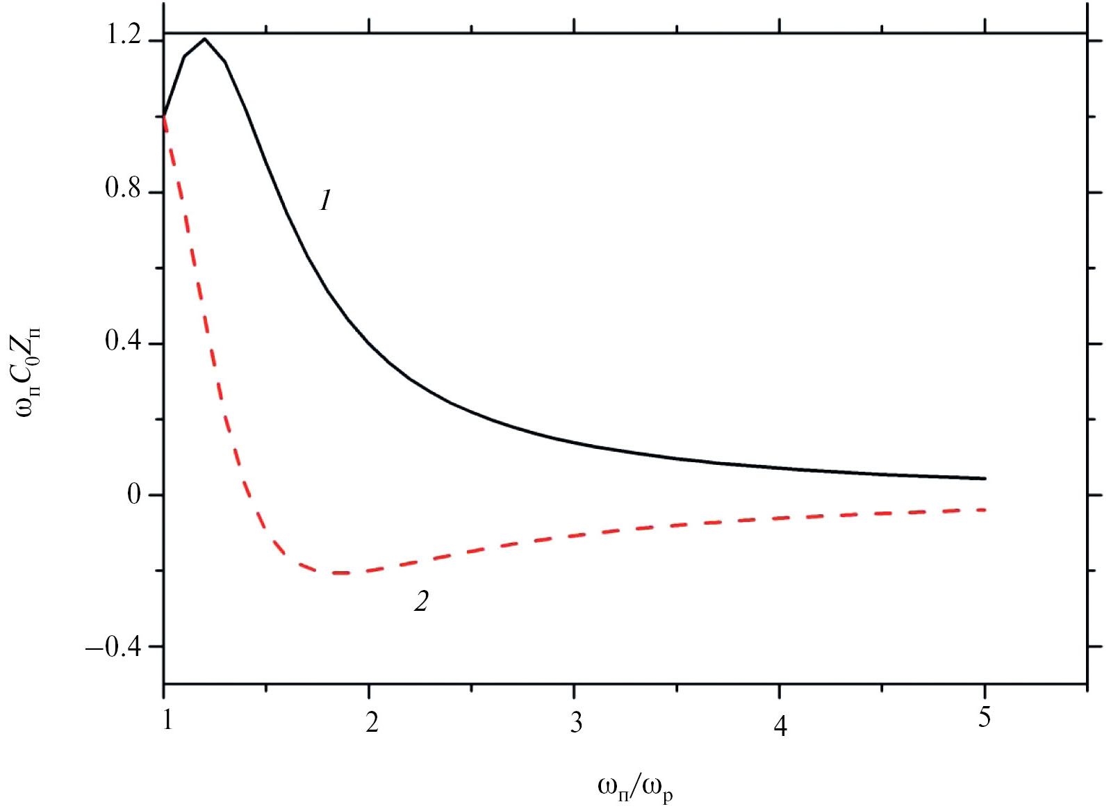
На рис. 3 приведены графики реактивной составляющей комплексного сопротивления Zп для длины плазменного столба ~ Lт и активной составляющей комплексного сопротивления Zп.
Как видно из рис. 3, величина реактивного сопротивления претерпевает значительные изменения в области ωп ~ (1…2) ωр. Реактивная составляющая Zп на частотах >2.2 ωр мала для всех значений длины плазменного столба. В дальнейшем будем считать сопротивление плазменного столба чисто активным.
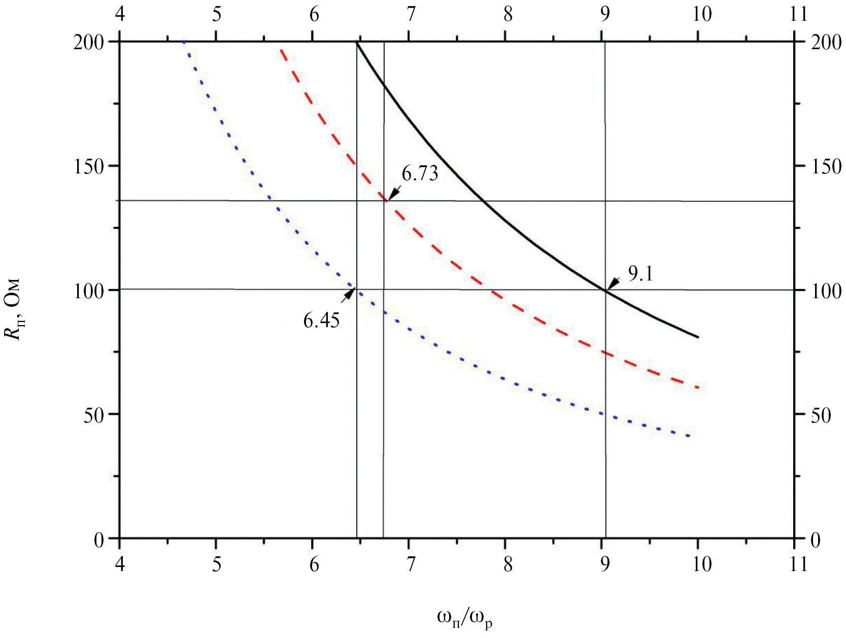
Для оценки характера изменения плотности плазмы при увеличении длины плазменного столба на рис. 4 представлены зависимости активной составляющей сопротивления плазменного столба от ωп (ωр = 9 × 108 рад/с) для длины плазменного столба lст, равного 0.5Lт, 0.75Lт и 1.0Lт.
Из рис. 4 видно, что величина активного сопротивления плазменного столба зависит как от ωп, так и от длины плазменного столба. При заданной длине плазменного столба (вакуумного зазора), зная величину сопротивления R(lст), можно определить ωп (ne).
По результатам измерений КСВ определим величину сопротивления Rп (lст, ωп) плазменного столба определенной длины и соответствующее значение ωп.
Величина КСВ показывает, какая часть падающей на нагрузку мощности отражается, т.е. позволяет определить величину коэффициента отражения r
(7)
или при чисто активной нагрузке
(8)
где R0 – волновое сопротивление линии питания (R0 = 50 Ом).
Рис. 3. Зависимости активной (1) и реактивной (2) составляющих сопротивления Zп плазменного конденсатора от ωп /ωр.
Рис. 4. Зависимости активной составляющей сопротивления плазменного столба от ωп (ωр = 9 × 108 рад/с) для длины плазменного столба lст: 0.5 Lт (пунктир), 0.75 Lт (штриховая кривая), 1.0 Lт (сплошная). Стрелками отмечены точки, соответствующие значениям сопротивления плазменного столба, полученным по измерениям КСВ.
Результаты измерений и расчетов
r | lст/Lт | P, Вт | КСВ | ωп × 109, рад/c | ωп/ωр | Rп, Ом | ne × 1010, см3 |
0.33 | 0.5 | 8.0 | 2.0 | 5.8 | 6.45 | 100.8 | 1.0 |
0.46 | 0.75 | 15.5 | 2.7 | 6.2 | 6.73 | 135.2 | 1.2 |
0.33 | 1 | 20 | 2.0 | 8.2 | 9.1 | 100.8 | 2.1 |
Результаты измерений КСВ и расчетов r, Rп, ωп, ne для длины плазменного столба (0.5, 0.75, 1.0) × Lт приведены в табл. 1. Расчеты проводились для ve ≈ 1.0 × 109 с–1, ωр = 0.9 × 109 рад/с. По значениям сопротивления Rп для плазменного столба заданной длины (см. рис. 4) можно определить значение (ne), табл. 1.
Из данных, приведенных в табл. 1, следует, что с увеличением мощности, вкладываемой в разряд, вместе с ростом плазменного столба происходит рост
Плотность плазмы в плазменном столбе достигает значений, удовлетворяющих условию ωп > (2...3) ωр при длине плазменного столба > 0.5Lт. Таким образом, при изменении частоты передатчика в пределах границ области перестройки имеется возможность регулировки длины плазменной антенны, т.е. частотной подстройки линии передатчик–антенна.
Концентрация электронов в плазменном столбе повышается вместе с ростом длины плазменного столба и мощности передатчика. При длине плазменного столба, равной половине длины разрядной трубки, плазменный столб может быть эффективной антенной на длине волны λ ~ λр/2. Если для возбуждения плазменной области использовать отдельный генератор, то плазменный столб может быть использован в качестве антенны для нескольких передатчиков, длина волны излучения которых лежит в диапазоне λ/4 = (0.5…1)Lт. Чем выше частота источника возбуждения плазменного столба, тем короче длина волны передатчика, на которой плазменный столб будет эффективным излучателем.
Заключение
На основе полученных результатов можно сделать следующие выводы:
- измерение величины КСВ позволяет определить активное сопротивление плазменного столба и среднее значение плотности ne в плазменном столбе при заданных значениях мощности и частоты источника возбуждения плазмы;
- с увеличением мощности, вкладываемой в разряд, вместе с ростом плазменного столба происходит рост ne;
- возбуждение плазменного столба рассмотренным методом позволяет, меняя мощность источника возбуждения, создавать эффективные излучатели (вибраторные плазменные антенны), длиной которых можно управлять.
Финансирование работы
Работа выполнена в рамках государственного задания Института общей физики им. А.М. Прохорова РАН.
Авторы заявляют об отсутствии конфликта интересов.
About the authors
I. M. Minaev
Prokhorov General Physics Institute Russian Academy of Sciences
Author for correspondence.
Email: minaev1945@mail.ru
Russian Federation, Moscow, 119991 Russia
O. V. Tikhonevich
Prokhorov General Physics Institute Russian Academy of Sciences
Email: minaev1945@mail.ru
Russian Federation, Moscow, 119991 Russia
Yu. E. Vekshin
16 Central Research Testing Institute of the Ministry of Defense of the Russian Federation named after Marshal A. I. Belov
Email: minaev1945@mail.ru
Russian Federation, Mytishchi Moscow oblast, 140006 Russia
References
- Alexeff I., Anderson T. // IEEE Trans. 2006. V. PS-34. № 2. P. 166.https://doi.org/10.1109/TPS.2006.872180
- Истомин Е.Н., Карфидов Д.М., Минаев и др. // Физика плазмы. 2006. Т. 32. № 4. С. 423.
- Alexeff I., Anderson T., Farshi E. еt al. // Phys. Plasm. 2008. V. 15. № 5. P. 057104.https://doi.org/10.1063/1.2919157
- Сергейчев К.Ф., Минаев И.М. // Труды ИОФАН. М.: Наука, 2014. Т. 70. C. 143.
- Коновалов В.Н., Кузьмин Г.П., Минаев И.М. и др. // Физика плазмы. 2015. Т. 41. № 9. С. 833. https://doi.org/10.1134/S1063780X15090068
- Тихоневич О.В., Векшин Ю.Е., Кузьмин Г.П. и др. // РЭ. 2020. Т. 65. № 2. С. 165.https://doi.org/10.31857/S0033849420020199
- Минаев И.М., Рухадзе А.А. // Инж. физика. 2016. № 8. С. 24.
- Shahzad M.H., Ghaffar Ab., Naz M.Y., Bhatti H.N. // PIER. 2020. V. 92. P. 11.https://doi.org/10.2528/PIERM20022403
- Kazantsev S.Y., Brusentsev A.S., Titovets P.A. at al. // Generating and Processing in the Field of on Board Communications, Moscow, 2022. P. 11.https://doi.org/10.1109/IEEECONF53456. 2022.9744361
- Александров А.Ф., Кузелев М.В. Теоретическая плазменная электротехника. М.: Изд-во МГУ, 2011.
- Минаев И.М., Тихоневич О.В. // Тр. III Межд. конф. “Газоразрядная плазма и синтез наноструктур”. Казань, 1–4 декабря 2022 г. Казань: Бук, 2022. С. 455.
Supplementary files






