Test Methods for Signal Reconstruction of Linear Stationary Systems
- Authors: Novikov-Borodin A.V.1
-
Affiliations:
- Institute for Nuclear Research, Russian Academy of Sciences
- Issue: Vol 68, No 7 (2023)
- Pages: 632-649
- Section: THEORY AND METHODS OF SIGNAL PROCESSING
- URL: https://ogarev-online.ru/0033-8494/article/view/138303
- DOI: https://doi.org/10.31857/S0033849423070082
- EDN: https://elibrary.ru/WPIOFD
- ID: 138303
Cite item
Full Text
Abstract
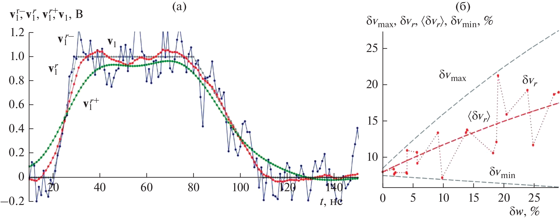
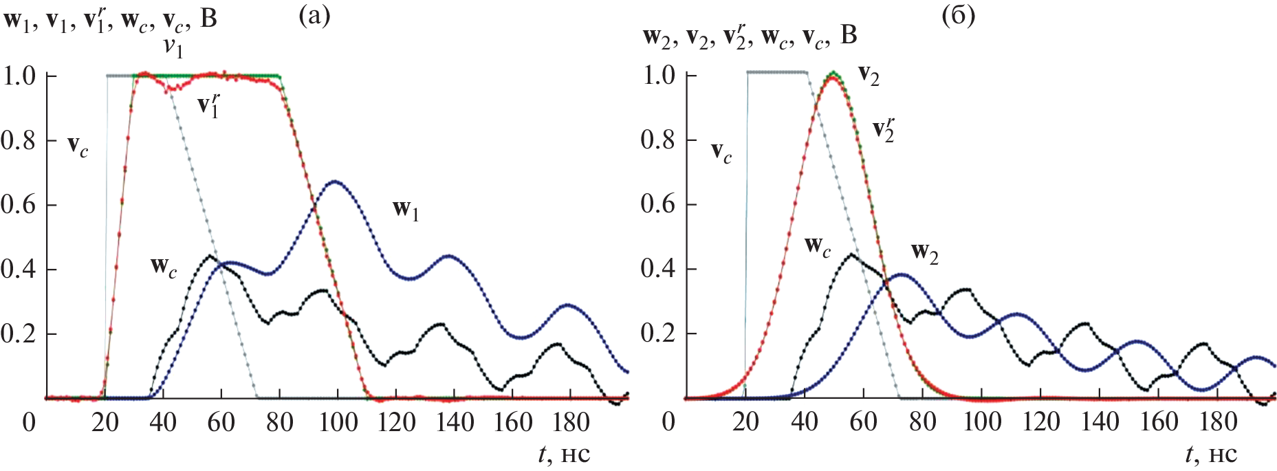
The test methods designed for mathematical reconstruction of input signals of linear stationary information processing systems from distorted and noisy output signals are proposed and analyzed. It is shown that the use of test data allows one to carry out a non-blind reconstruction without determining the hardware functions of processing systems, which, in general, can belong to the class of generalized functions. The features of the use of the regularization technique in test methods are considered when solving ill-posed and ill-conditioned problems of reconstruction of real non-deterministic signals. The criteria for selecting test signals are analyzed. The results of numerical experiments on the restoration of one-dimensional signals and two-dimensional images at different noise levels are presented.
About the authors
A. V. Novikov-Borodin
Institute for Nuclear Research, Russian Academy of Sciences
Author for correspondence.
Email: novikov.borodin@gmail.com
Moscow, 117312 Russia
References
- Mueller J.L., Siltanen S. Linear and Nonlinear Inverse Problems with Practical Applications. Philadelphia: SIAM, 2012. V. 10.
- Hansen P.C. Discrete Inverse Problems: Insight and Algorithms. Fundamentals of Algorithms. Philadelphia: SIAM, 2010.
- Kaipio J., Somersalo E. Statistical and Computational Inverse Problems. N.Y.: Springer, 2010.
- Chen K. Matrix Preconditioning Techniques and Applications. Cambridge: Cambridge Univ. Press, 2005.
- Tarantola A. Inverse Problem Theory and Methods for Model Parameter Estimation. Philadelphia: SIAM, 2005.
- Vito E.D., Rosasco L., Caponnetto A. et al. // J. Machine Learning Research. 2005. P. 883.
- Ben-Israel A., Greville T.N.E. Generalized Inverses: Theory and Applications. 2nd ed. N.Y.: Springer, 2003. https://doi.org/10.1007/b97366
- Zhang X., Burger M., Bresson X., Osher S. // SIAM J. Imaging Sci. 2010. V. 3. № 3. P. 253. https://doi.org/10.1137/090746379
- Afonso M.V., Bioucas-Dias J.M., Figueiredo M.A.T. // IEEE Trans. 2011. V. IP-20. № 3. P. 681.
- Gonzalez C.R., Woods R.E. Digital Image Processing. 3rd ed. Upper Saddle River: Pearson Prentice Hall, 2008.
- Василенко Г.И., Тараторин А.М. Восстановление изображений. М.: Радио и связь, 1986.
- Benning M., Burger M. // 2018. arXiv:1801.09922v1 [math.NA].
- Kazufumi I., Bangti J. Inverse Problems: Tikhonov Theory and Algorithms. Singapore: World Scientific., 2014.
- Тихонов А.Н., Гончарский А.В., Степанов В.В., Ягола А.Г. Численные методы решения некорректных задач. М.: Наука, 1990.
- Тихонов А.Н., Гончарский А.В., Степанов В.В., Ягола А.Г. Регуляризирующие алгоритмы и априорная информация. М.: Наука, 1983.
- Иванов В.К., Васин В.В., Танана В.П. Теория линейных некорректных задач и её приложения. М.: Наука, 1978.
- Тихонов А.Н., Арсенин В.Я. Методы решения некорректных задач. М.: Наука, 1974.
- Матысик О.В. Итерационная регуляризация некорректных задач. Saarbrücken: LAP LAMBERT Acad. Publ., 2015.
- Самарский А.А., Вабищевич П.Н. Численные методы решения обратных задач математической физики. М.: УРСС, 2004.
- Vogel C.R. Computational Methods for Inverse Problems. Philadelphia: SIAM, 2002.
- Gilyazov S.F., Goldman N.L. Regularization of Ill-posed Problems by Iteration Methods. Dordrecht: Kluwer Acad. Publ., 2000.
- Шлома А.М. // Журн. вычисл. математики и матем. физики. 1996. Т. 36. № 3. С. 15.
- Vaidyanathan P.P., Chen T. // IEEE Trans. 1995. V. SP-43. № 5. P. 1090.
- Денисов А.М. Введение в теорию обратных задач. М.: МГУ, 1994.
- Бакушинский А.Б., Гончарский А.В. Итеративные методы решения некорректных задач. М.: Наука, 1989.
- Chen S.S., Donoho D.L., Saunders M.A. // SIAM Rev. 2001. V. 43. № 1. P. 129.
- Percival D.B., Walden A.T. Wavelet Methods for Time Series Analysis. Cambridge: Cambridge Univ. Press, 2000.
- Mallat S. A Wavelet Tour of Signal Processing. 2nd ed. San Diego: Academic Press, 1999.
- Domínguez A. // IEEE Pulse. 2015. V. 6. № 1. P. 38.
- von zur Gathen J., Gerhard J. Modern Computer Algebra. 3-rd ed. Cambridge: Cambridge Univ. Press, 2013.
- Crutchfield S. The Joy of Convolution. Web Applet. N.Y.: Johns Hopkins Univ., 2010. http:// www.jhu.edu/signals/convolve/.
- Hespanha J.P. Linear System Theory. Princeton: Princeton Univ. Press, 2009.
- Phillips C.I., Parr J.M., Riskin E.A. Signals, Systems and Transforms. Upper Saddle River: Prentice Hall, 2007.
- Баскаков С.И. Радиотехнические цепи и сигналы. М.: Высш. школа, 2005.
- Uludag A.M. // J. Mathematical Analysis and Appl. 1998. V. 227. № 2. P. 335. https://doi.org/10.1006/jmaa.1998.6091
- Sobolev V.I. Convolution of Functions, Encyclopedia of Mathematics. Helsinki: EMS Press, 2001.
- Напалков В.В. Уравнения свертки в многомерных пространствах. М.: Наука, 1982.
- Колмогоров А.Н., Фомин С.В. Элементы теории функций и функционального анализа. М.: Наука, 2004. 7-е изд.
- Владимиров В.С. Уравнения математической физики. М.: Наука, 1981.
- Прасолов В.В. Задачи и теоремы линейной алгебры. М.: Наука, 1996.
Supplementary files








