Multibeam Antenna with a Full Azimuth Field Angle Based on a Layered Metal-Dielectric Cylindrical Lens
- Autores: Venetskiy A.S.1, Kaloshin V.A.1, Thang T.T.2
-
Afiliações:
- Kotelnikov Institute of Radioengineering and Electronics
- Moscow Institute of Physics and Technology (National Research University)
- Edição: Volume 68, Nº 6 (2023)
- Páginas: 579-586
- Seção: К 85-ЛЕТИЮ ДМИТРИЯ СЕРГЕЕВИЧА ЛУКИНА
- URL: https://ogarev-online.ru/0033-8494/article/view/138266
- DOI: https://doi.org/10.31857/S0033849423060165
- EDN: https://elibrary.ru/XOFJVL
- ID: 138266
Citar
Texto integral
Resumo
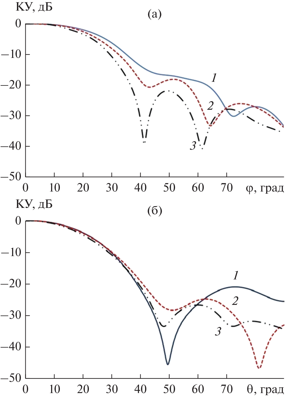
A multibeam antenna based on a layered lens with axial symmetry in the form of a set of dielectric disks with a refractive index gradient along the radius, which are located between metal disks, is proposed and investigated. A layered lens converts the fields of feeds located on a circle centered on the axis of the lens in the plane of its base into highly directed beams in the same plane. A synthesis of a layered lens is carried out, the layers of which are made in the form of a set of dielectric rings of variable thickness. The analysis of a multibeam lens antenna with metal-dielectric feeds was carried out by numerical simulation using the finite element method.
Palavras-chave
Sobre autores
A. Venetskiy
Kotelnikov Institute of Radioengineering and Electronics
Email: AVenetsky@yandex.ru
Moscow, 125007 Russia
V. Kaloshin
Kotelnikov Institute of Radioengineering and Electronics
Email: AVenetsky@yandex.ru
Moscow, 125007 Russia
Tran Thang
Moscow Institute of Physics and Technology (National Research University)
Autor responsável pela correspondência
Email: AVenetsky@yandex.ru
Dolgoprudny, Moscow oblast, 141700 Russia
Bibliografia
- Jay Guo Y., Ansari M., Ziolkowski R.W., Fonseca N.J.G. // IEEE Open J. Antennas and Propagation. 2021. V. 2. P. 807.
- Denisov D.V., Shabunin S.N., Kusaykin D.V., Klevakin M.A. // IEEE 15th Int. Conf. Actual Problems of Electronic Instrument Engineering (APEIE). Novosibirsk. 19–21 Nov. 2021. N.Y.: IEEE, 2021. P. 260.
- Захаров Е.В., Ильинский А.С., Медведев Ю.В. и др. // Журн. радиоэлектроники 2020. № 2. http://jre.cplire.ru/ jre/feb20/3/text.pdf.
- Ansari M., Jones B., Shariati N., Jay Guo Y. // 15th Europ. Conf. on Antennas and Propagation (EuCAP). Dusseldorf. 22–26 Mar. 2021. N.Y.: IEEE, 2021. Paper № 9411005. https://doi.org/10.23919/EuCAP51087.2021.9411005
- Huang M. // IEEE Int. Symp. on Antennas and Propagation & USNC/URSI Nat. Radio Sci. Meeting. San Diego. 9–14 Jul. 2017. N.Y.: IEEE, 2017. P. 779.
- Fonseca N.J.G., Liao Q., Quevedo-Teruel O. // IEEE Trans. 2023. V. AP-68. № 5. P. 3410.
- Венецкий А.С., Калошин В.А., Чан Т.Т. // РЭ. 2022. Т. 67. № 8. С. 754.
- Забрейко П.П., Кошелев А.И., Красносельский М.А. и др. Интегральные уравнения. М.: Наука, 1968.
- Калошин В.А. // Дис.…докт. физ.-мат. наук. М.: ИРЭ АН СССР, 1989. 250 с.
- Ахияров В.В., Калошин В.А., Никитин Е.А. // Журн. радиоэлектроники. 2014. № 1. http://jre.cplire.ru/ jre/jan14/18/text.pdf.
- Калошин В.А., Ви Ут Нам // РЭ. 2022. Т. 67. № 3. С. 249.
Arquivos suplementares















