Математическое моделирование амплитудных, угловых и временных характеристик коротких радиоволн при слабонаклонном зондировании ионосферы
- Авторы: Крюковский А.С.1, Лукин Д.С.1, Михалёва Е.В.1, Растягаев Д.В.1
-
Учреждения:
- Российский новый университет
- Выпуск: Том 68, № 6 (2023)
- Страницы: 553-562
- Раздел: К 85-ЛЕТИЮ ДМИТРИЯ СЕРГЕЕВИЧА ЛУКИНА
- URL: https://ogarev-online.ru/0033-8494/article/view/138263
- DOI: https://doi.org/10.31857/S0033849423060098
- EDN: https://elibrary.ru/XMVDRI
- ID: 138263
Цитировать
Полный текст
Аннотация
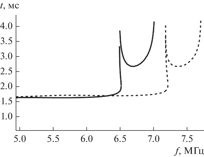
Методом бихарактеристик изучены особенности распространения декаметровых радиоволн в ионосфере, содержащей слои E, F1 и F2, а также перемещающееся ионосферное возмущение (ПИВ) при слабонаклонном зондировании частотно модулированными сигналами. Рассмотрено распространение как обыкновенной, так и необыкновенной волны, выполнено сопоставление ионограмм и исследован их сдвиг относительно друг друга. Исследована структура ионограмм в окрестности каустик, возникающих в точке приема на частотах, отражающихся в окрестности слоя Е и ПИВ. Рассчитана расходимость лучевого потока в точке приема излучения, определяющая ослабление амплитуды.
Об авторах
А. С. Крюковский
Российский новый университет
Email: kryukovsky56@yandex.ru
Российская Федерация, 105005, Москва, ул. Радио, 22
Д. С. Лукин
Российский новый университет
Email: kryukovsky56@yandex.ru
Российская Федерация, 105005, Москва, ул. Радио, 22
Е. В. Михалёва
Российский новый университет
Email: kryukovsky56@yandex.ru
Российская Федерация, 105005, Москва, ул. Радио, 22
Д. В. Растягаев
Российский новый университет
Автор, ответственный за переписку.
Email: kryukovsky56@yandex.ru
Российская Федерация, 105005, Москва, ул. Радио, 22
Список литературы
- Куркин В.И., Медведева И.В., Подлесный А.В. и др. // Армандовские чтения. Всерос. открытая науч. конф. “Современные проблемы дистанционного зондирования, радиолокации, распространения и дифракции волн”. Муром: Изд-во ВлГУ, 2022. С. 27.
- Иванов В.А., Иванов Д.В., Рябова Н.В. // Вестн. Марийского гос. тех. ун-та. Сер. Радиотех. инфокоммуникац. системы. 2010. № 1. С. 3.
- Иванов В.А., Иванов Д.В., Рябова Н.В. и др. // Вестн. Марийского гос. тех. ун-та. Сер. Радиотех. инфокоммуникац. системы. 2011. № 2. С. 15.
- Kryukovsky A.S., Rastyagaev D.V., Bova Y.I., Popchenko O.V. // 7th All-Russian Microwave Conf. (RMC). IEEE, Moscow, 25–27 Nov., 2020. P. 220. https://doi.org/10.1109/RMC50626.2020.9312340
- Kryukovsky A.S., Lukin D.S., Popchenko O.V., Rastyagaev D.V. // J. Phys.: Conf. Ser. 2021. V. 1991. Article No. 012002. https://doi.org/10.1088/1742-6596/1991/1/012002
- Софьин А.В. // Междунар. Байкальская молодеж. науч. школа по фундаментальной физике. Тр. XVII Конф. молодых ученых. Иркутск, 2022. С. 406.
- Софьин А.В., Куркин В.И. // Труды XXVII Всерос. открытой науч. конф. “Распространение радиоволн”, 28 июня–3 июля 2021 г. Калининград, 2021. С. 358.
- Казанцев А.Н., Лукин Д.С., Спиридонов Ю.Г. // Космич. исслед. 1967. Т. 5. Вып. 4. С. 593.
- Гинзбург В.Л. Распространение электромагнитных волн в плазме. 2-е изд. М.: Наука, 1967.
- Davies K. Ionospheric Radio Propagation., National Bureau of Standards Monograph 80. Washington: US Gov. Printing Office, 1965.
- Крюковский А.С., Лукин Д.С., Растягаев Д.В., Скворцова Ю.И. // РЭ. 2015. Т. 60. № 10. С. 1001.
- Крюковский А.С., Куркин В.И., Ларюнин О.А. и др. // РЭ. 2016. Т. 61. № 8. С. 794.
- Бова Ю.И., Крюковский А.С., Лукин Д.С. // РЭ. 2019. Т. 64. № 1. С. 3.
- Крюковский А.С., Лукин Д.С., Бова Ю.И. // РЭ. 2020. Т. 65. № 12. С. 1160.
- Лукин Д.С., Спиридонов Ю.Г. //РЭ. 1969. Т. 14. № 9. С. 1673.
- Крюковский А.С., Лукин Д.С., Кирьянова К.С. // РЭ. 2012. Т. 57. № 9. С. 1028.
- Крюковский А.С., Лукин Д.С., Попченко О.В., Растягаев Д.В. // Всероссийские открытые Армандовские чтения. Современные проблемы дистанционного зондирования, радиолокации, распространения и дифракции волн. Матер. Всерос. открытой науч. конф. Муром. 25–27 мая 2021. Mуром: Изд-во ВлГУ, 2021. С. 32.
- Airy G.B. // Trans. Camb. Phil. Soc. 1838. V. 6. Pt. III. P. 379.
- Pearcey T. // Phil. Mag. 1946. V. 37. № 268. P. 311.
- Палкин Е.А., Петрович А.А. // РЭ. 2021. Т. 66. № 1. С. 18.
- Палкин Е.А., Петрович А.А. // Всерос. открытые Армандовские чтения “Современные проблемы дистанционного зондирования, радиолокации, распространения и дифракции волн”. Муром: Изд-во ВлГУ, 2022. С. 81.
- Маслов В.П. Теория возмущений и асимптотические методы. М.: МГУ, 1965.
- Мищенко А.С., Стернин Б.Ю., Шаталов В.Е. Лагранжевы многообразия и метод канонического оператора. М.: Наука, 1976.
Дополнительные файлы






















