General Solution of the Problem of Synthesis of a Geodesic Lens with Central Symmetry and Dielectric Filling
- Authors: Venetskiy A.S.1, Kaloshin V.A.1, Thang C.T.2
-
Affiliations:
- Kotelnikov Institute of Radioengineering and Electronics, Russian Academy of Sciences
- Moscow Institute of Physics and Technology, National Research University
- Issue: Vol 68, No 5 (2023)
- Pages: 417-423
- Section: АНТЕННО-ФИДЕРНЫЕ СИСТЕМЫ
- URL: https://ogarev-online.ru/0033-8494/article/view/138237
- DOI: https://doi.org/10.31857/S0033849423050170
- EDN: https://elibrary.ru/UIQOYK
- ID: 138237
Cite item
Full Text
Abstract
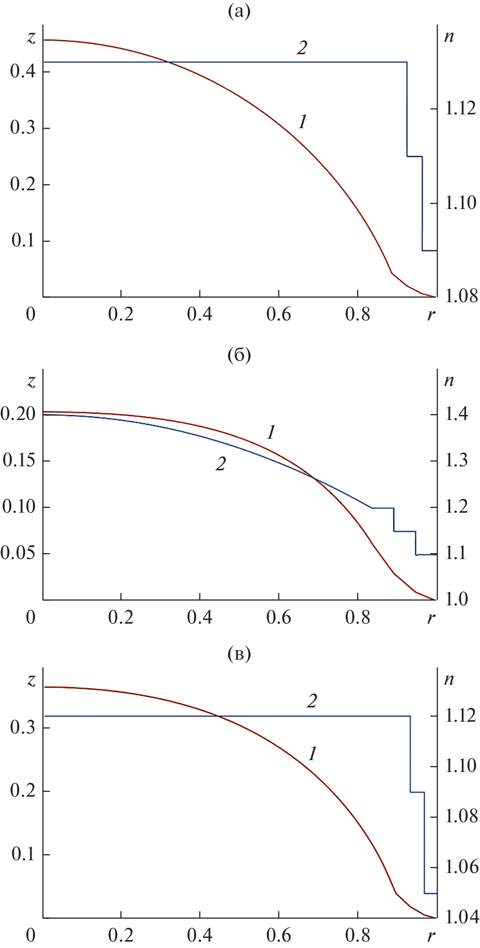
A solution is obtained for the problem of synthesis of a metal–dielectric geodesic lens with central symmetry and, in the general case, inhomogeneous dielectric filling, which transforms the field of a point source into a given geometric optical field. By way of example using the obtained solution, the problems of synthesis of a geodesic lens antenna with layered and gradient dielectric filling are considered. In particular, solutions are obtained for lens antennas with in-phase output front and out-of-phase front that forms a tableshaped radiation pattern. The solutions are analyzed with the aid of numerical simulation using the finite element method.
About the authors
A. S. Venetskiy
Kotelnikov Institute of Radioengineering and Electronics, Russian Academy of Sciences
Email: AVenetsky@yandex.ru
Moscow, 125009 Russia;
V. A. Kaloshin
Kotelnikov Institute of Radioengineering and Electronics, Russian Academy of Sciences
Email: vak@cplire.ru
Moscow, 125009 Russia;
Chan Tran Thang
Moscow Institute of Physics and Technology, National Research University
Author for correspondence.
Email: vak@cplire.ru
Dolgoprudnyi, Moscow oblast, 141700 Russia
References
- Hong W., Jiang Z.H., Yu Ch. et al. // IEEE Trans. 2017. V. AP-65. № 12. P. 6231.
- Quevedo-Teruel O., Ebrahimpouri M., Ghasemifard F. // IEEE Commun. Magazine. 2018. V. 56. № 7. P. 36.
- Numan A.B., Frigon J.-F., Laurin J.-J. // IEEE Trans. 2018. V. AP-66. № 10. P. 5614.
- Quevedo-Teruel O., Ebrahimpouri M., Kehn M.N. // IEEE Antennas Wireless Propagation Lett. 2016. V. 15. P. 484.
- Diallo C.D., Girard E., Legay H., Sauleau R. // Proc. 11th Europ. Conf. Antennas and Propagation (EUCAP). Paris. 19–24 Mar. 2017. N.Y.: IEEE, 2017. P. 1401.
- Quevedo-Teruel O., Miao J., Mattsson M. et al. // IEEE Antennas Wireless Propagation Lett. 2018. V. 17. № 9. P. 1588.
- Bantavis P., Gonzalez C.G., Sauleau R. et al. // Opt. Express. 2020. V. 28. № 10. P. 14648.
- Chou H.-T., Chang Y.-S., Huang H.-J. et al. // IEEE Access. 2019. V. 7. P. 182974.
- Chou H.-T., Chang Y.-S., Huang H.-J. et al. // IEEE Access. 2020. V. 8. P. 79124.
- Венецкий A.C., Калошин B.A., Чан Т.Т. // РЭ. 2022. Т. 67. № 8. С. 754.
- Liao Q., Fonseca N.J.G., Quevedo-Teruel O. // IEEE Trans. 2018. V. AP-66. № 12. P. 7383.
- Fonseca N.J.G., Liao Q., Quevedo-Teruel O. // IEEE Trans. 2020. V. AP-68. № 5. P. 3410.
- Fonseca N.J.G., Liao Q., Quevedo-Teruel O. // IET Microwave Antennas Propagat. 2021. V. 15. № 2. P. 123.
- Fonseca N.J.G. // Rev. of Electromagnetics. 2022. V. 1. № 1. Article No. 21008.
- Венецкий А.С., Калошин В.А., Чан Т.Т. // РЭ. 2022. Т. 67. № 5. С. 447.
- Orgeira O., León G., Fonseca N.J.G., Quevedo-Teruel O. // IEEE Trans. 2022. V. AP-70. № 5. P. 3320.
- Sochacki J. // J. Modern Optics. 1988. V. 35. № 6. P. 891.
- Вайнштейн Л.А. Теория диффракции и метод факторизации. М.: Сов. радио, 1966.
- Калошин В.А. Дис. … док. физ.-мат. наук. М.: ИРЭ АН СССР, 1989. 250 с.
- Ахияров В.В., Калошин В.А., Никитин Е.А. // Журн. радиоэлектроники. 2014. № 1. http://jre.cplire.ru/ jre/jan14/18/text.pdf.
- Калошин В.А., Стоянов С.В. // РЭ. 1989. Т. 35. № 12. С. 2640.
Supplementary files








