Magnetic and Magnetocaloric Characteristics of the Mn1.9Cu0.1Sb Alloy
- Authors: Mitsiuk V.I.1, Gurbanovich A.V.1, Gurbanovich A.V.1, Tkachenko T.M.2, Valkov V.I.3, Golovchan A.V.3, Mashirov A.V.4, Surowiec Z.5,6
-
Affiliations:
- Scientific and Practical Center, National Academy of Sciences of Belarus for Materials Science
- Belarusian State Agrarian Technical University
- Galkin Donetsk Institute of Physics and Technology
- Kotelnikov Institute of Radioengineering and Electronics, Russian Academy of Sciences
- Joint Institute for Nuclear Research
- Institute of Physics, University Maria Curie-Sklodowska
- Issue: Vol 68, No 4 (2023)
- Pages: 372-377
- Section: К 90-ЛЕТИЮ ВЛАДИМИРА ГРИГОРЬЕВИЧА ШАВРОВА
- URL: https://ogarev-online.ru/0033-8494/article/view/138197
- DOI: https://doi.org/10.31857/S0033849423040095
- EDN: https://elibrary.ru/PFWZCE
- ID: 138197
Cite item
Full Text
Abstract
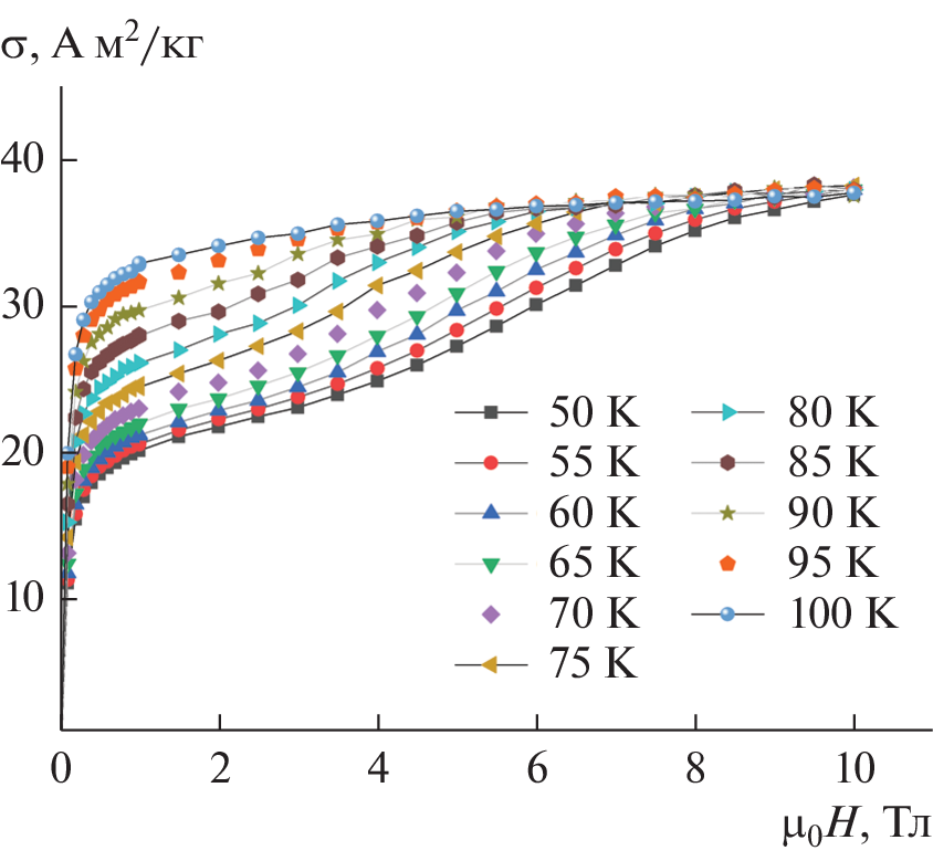
The magnetic and magnetocaloric characteristics of the Mn1.9Cu0.1Sb alloy were studied. The presence of a relatively sharp decrease in the magnetization in the region of 100 K is established, which, according to ab initio calculations, can be interpreted as antiferromagnetism–ferrimagnetism transitions. The presence of a magnetic phase transition from a ferrimagnetic to an antiferromagnetic state (F ↔ AF) leads to the appearance of an inverse magnetocaloric effect, which is preserved in magnetic fields up to 10 T.
About the authors
V. I. Mitsiuk
Scientific and Practical Center, National Academy of Sciences of Belarus for Materials Science
Email: mitsiuk@physics.by
Minsk, 220072 Belarus
A. V. Gurbanovich
Scientific and Practical Center, National Academy of Sciences of Belarus for Materials Science
Email: mitsiuk@physics.by
Minsk, 220072 Belarus
An. V. Gurbanovich
Scientific and Practical Center, National Academy of Sciences of Belarus for Materials Science
Email: mitsiuk@physics.by
Minsk, 220072 Belarus
T. M. Tkachenko
Belarusian State Agrarian Technical University
Email: mitsiuk@physics.by
Minsk, 220012 Belarus
V. I. Valkov
Galkin Donetsk Institute of Physics and Technology
Email: mitsiuk@physics.by
Donetsk, 283050 Russia
A. V. Golovchan
Galkin Donetsk Institute of Physics and Technology
Email: mitsiuk@physics.by
Donetsk, 283050 Russia
A. V. Mashirov
Kotelnikov Institute of Radioengineering and Electronics, Russian Academy of Sciences
Email: mitsiuk@physics.by
Moscow, 125009 Russia
Z. Surowiec
Joint Institute for Nuclear Research; Institute of Physics, University Maria Curie-Sklodowska
Author for correspondence.
Email: mitsiuk@physics.by
Moscow oblast, Dubna, 141980 Russia; Lublin, 20-031 Poland
References
- Shen Q., Batashev I., Zhang F. et al. // J. Alloys Compound. 2021. V. 866. Article No. 158963. https://doi.org/10.1016/j.jallcom.2021.158963
- Zhang H., Gimaev R., Kovalev B. et al. // Physica B: Cond.Matt. 2019. V. 558. P. 65. https://doi.org/10.1016/j.physb.2019.01.035
- Рыжковский В.М. // Металлы. 2001. № 3. С. 59.
- Zhang Y.Q., Zhang Z.D., Xiong D.K. et al. // J. Appl. Phys. 2003. V. 94. № 7. P. 4726. https://doi.org/10.1063/1.1608468
- Matsumoto Y., Orihashi H., Matsubayashi K. et al. // IEEE Trans. 2014. V. MAG-50. № 1. Pt. 1. Article No. 1000704. https://doi.org/10.1109/TMAG.2013.2279536
- Matsumoto Y., Matsubayashi K., Uwatoko Y. et al. // AIP Conf. Proc. 2015. V. 1763. № 2. P. 020005. https://doi.org/10.1063/1.4961338
- Pankratov N.Yu., Mitsiuk V.I., Ryzhkovskii V.M., Nikitin S.A. // J.Magn.Magn.Mater. 2019. V. 470. P. 46. https://doi.org/10.1016/j.jmmm.2018.06.035
- Wolf J.D., Hanlon J.E. // J. Appl. Phys. 1961. V. 32. № 12. P. 2584. https://doi.org/10.1063/1.1728358
- Митюк В.И., Римский Г.С., Коледов В.В. и др. // ФТТ. 2021. Т.63. № 12. С. 2082.
- Ebert H., Kodderitzsch D., Minar J. Munich SPRKKR package, version 8.6. 41 p. München: Ludwig-Maximilians Universität, 2010 https://www.ebert.cup.uni-muenchen.de/sprkkr.
- Ebert H., Kodderitzsch D., Minar J. // Rep. Prog. Phys. 2011. V. 74. № 9. Article No. 096501.
- Vosko S.H., Wilk L. // Phys. Rev. B. 1980. V. 22. № 8. P. 3812. https://doi.org/10.1103/PhysRevB.22.3812
- Liechtenstein A.I., Katsnelson M.I., Antropov V.P., Gubanov V.A. // J. Magn. Magn. Mater. 1987. V. 67. P. 65. https://doi.org/10.1016/0304-8853(87)90721-9
- Вальков В.И., Головчан А.В. // ФНТ. 2008. Т. 34. № 1. С. 53.
- Королев К.А., Сиваченко А.П., Грибанов И.Ф. и др. // Челябинский физ.-мат. журн. 2020. Т. 5. № 4. С. 569. https://doi.org/10.47475/2500-0101-2020-15416
- Рыжковский В.М., Глазков В.П., Гончаров В.С. и др. // ФТТ. 2002. Т. 44. № 12. С. 2178.
Supplementary files








