Влияние упругих резонансов подложки на ферромагнитный резонанс в пленках железоиттриевого граната
- Авторы: Ветошко П.М.1, Власов В.С.2, Шавров В.Г.1, Щеглов В.И.1
-
Учреждения:
- Институт радиотехники и электроники им. В. А. Котельникова РАН
- Сыктывкарский государственный университет им. П. Сорокина
- Выпуск: Том 68, № 2 (2023)
- Страницы: 157-164
- Раздел: РАДИОФИЗИЧЕСКИЕ ЯВЛЕНИЯ В ТВЕРДОМ ТЕЛЕ И ПЛАЗМЕ
- URL: https://ogarev-online.ru/0033-8494/article/view/138115
- DOI: https://doi.org/10.31857/S0033849423020146
- EDN: https://elibrary.ru/LCUVXP
- ID: 138115
Цитировать
Полный текст
Аннотация
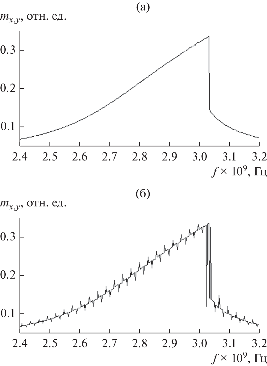
Рассмотрена задача о возбуждении ферромагнитного резонанса в тонкой ферритовой пленке, обладающей магнитоупругими свойствами, находящейся на толстой упругой подложке. Предложена модель возбуждения упругих колебаний в подложке за счет распространения периодического граничного режима, создаваемого магнитными колебаниями в пленке. В условиях стационарных колебаний получены амплитудно-частотные характеристики ферромагнитного резонанса, имеющие сильно осциллирующий характер, обусловленный возбуждением упругих мод высоких порядков по толщине подложки.
Ключевые слова
Об авторах
П. М. Ветошко
Институт радиотехники и электроники им. В. А. Котельникова РАН
Email: vshcheg@cplire.ru
Российская Федерация, 125009, Москва, ул. Моховая, 11, корп. 7
В. С. Власов
Сыктывкарский государственный университет им. П. Сорокина
Email: vshcheg@cplire.ru
Российская Федерация, 167001, Сыктывкар, Октябрьский просп., 55
В. Г. Шавров
Институт радиотехники и электроники им. В. А. Котельникова РАН
Email: vshcheg@cplire.ru
Российская Федерация, 125009, Москва, ул. Моховая, 11, корп. 7
В. И. Щеглов
Институт радиотехники и электроники им. В. А. Котельникова РАН
Автор, ответственный за переписку.
Email: vshcheg@cplire.ru
Российская Федерация, 125009, Москва, ул. Моховая, 11, корп. 7
Список литературы
- Штраусс В. // Физическая акустика / Под ред. У.П. Мэзона. Т. 4Б. Применения физической акустики в квантовой физике и физике твердого тела. М.: Мир, 1970. С. 247.
- Адам Дж.Д. // ТИИЭР. 1988. Т. 76. № 2. С. 73.
- Исхак В.С. // ТИИЭР. 1988. Т. 76. № 2. С. 86.
- Adam J.D., Davis L.E., Dionne G.F. et al. // IEEE Trans. 2002. V. MTT-50. № 3. P. 721.
- Шавров В.Г., Щеглов В.И. Магнитостатические волны в неоднородных полях. М.: Физматлит, 2016.
- Курушин Е.П., Нефедов Е.И. // Микроэлектроника. 1977. Т. 6. № 6. С. 549.
- Serga A.A., Chumak A.V., Hillebrands B. // J. Phys. D: Appl. Phys. 2010. V. 43. P. 264002.
- Ле-Кроу Р., Комсток Р. // Физическая акустика / Под ред. У.П. Мэзона Т. 3Б. Динамика решетки. М.: Мир, 1968. С. 156.
- Калашникова А.М., Кимель А.В., Писарев Р.В. // Успехи физ. наук. 2015. Т. 185. № 10. С. 1064.
- Chang C.L., Tamming R.R., Broomhall T.J. et al. // Phys. Rev. Appl. 2018. V. 10. № 3. P. 034068.
- Власов В.С., Голов А.В., Котов Л.Н. и др. // Акуст. журн. 2022. Т. 68. № 1. С. 22.
- An K., Litvinenko A.N., Kohno R. et al. // Phys. Rev. B. 2020. V. 101. № 6. P. 060407.
- Кузмичев А.Н., Ветошко П.М., Князев Г.А. и др. // Письма в ЖЭТФ. 2020. Т. 112. № 11-12. С. 749.
- Полулях С.Н., Бержанский В.Н., Семук Е.Ю. и др. // ЖТФ. 2021. Т. 91. № 7. С. 1124.
- Полулях С.Н., Бержанский В.Н., Семук Е.Ю. и др. // ЖЭТФ. 2021. Т. 159. № 2. С. 307.
- Гуляев Ю.В., Зильберман П.Е., Казаков Г.Т. и др. // Письма в ЖЭТФ. 1981. Т. 39. № 9. С. 500.
- Казаков Г.Т., Тихонов В.В., Зильберман П.Е. // ФТТ. 1983. Т. 25. № 8. С. 2307.
- Андреев А.С., Зильберман П.Е., Кравченко В.Б. и др. // Письма в ЖТФ. 1984. Т.10. № 2. С. 90.
- Хивинцев Ю.В., Сахаров В.К., Высоцкий С.Л. и др. // ЖТФ. 2018. Т. 88. № 7. С. 1060.
- Streib S., Keshtgar H., Bauer G.E.W. // Phys. Rev. Lett. 2018. V. 121. № 2. P. 027202.
- Власов В.С., Котов Л.Н., Шавров В.Г., Щеглов В.И. // РЭ. 2009. Т. 54. № 7. С.863.
- Тихонов А.Н., Самарский А.А. Уравнения математической физики. М.: Наука, 1972.
- Двайт Г.Б. Таблицы интегралов и другие математические формулы. М.: Наука, 1973.
- Корн Г., Корн Т. Справочник по математике для научных работников и инженеров. М.: Наука, 1973.
- Гуревич А.Г., Мелков Г.А. Магнитные колебания и волны. М.: Физматлит, 1994.





