Preparation of suspension of nanodiamonds with immobilized scandium isotopes for in vivo research
- 作者: Kazakov A.G.1, Pavlova D.V.1,2, Ushakov I.A.3, Nesterov E.A.3, Skuridin V.S.3, Odintsova E.A.4, Vinokurov S.E.1, Myasoedov B.F.1,5
-
隶属关系:
- Vernadsky Institute of Geochemistry and Analytical Chemistry, RAS
- Mendeleev University of Chemical Technology of Russia
- National Research Tomsk Polytechnic University
- Bentonit Company
- Interdepartmental Center for Analytical Research in Physics, Chemistry, and Biology, RAS
- 期: 卷 66, 编号 6 (2024)
- 页面: 582-588
- 栏目: Articles
- URL: https://ogarev-online.ru/0033-8311/article/view/292292
- DOI: https://doi.org/10.31857/S0033831124060097
- ID: 292292
如何引用文章
详细
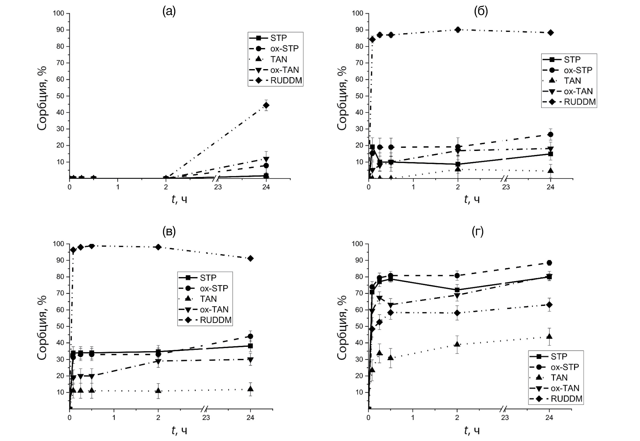
The conditions for preparing a suspension of detonation synthesis nanodiamonds (NDs) with immobilized scandium in solutions that meet the requirements to solutions for intravenous administration of radiopharmaceuticals (RPs) based on 44Sc and 47Sc are determined. The possibility of quantitatively binding scandium by ND samples in isotonic solutions with the required pH, containing a minimum amount of NDs, is demonstrated. The parameters of the Freundlich and Langmuir adsorption isotherms and ΔG of adsorption under optimal conditions for the most promising ND sample are determined. The conditions found for obtaining NDs with immobilized scandium isotopes will allow further in vivo researches.
全文:
作者简介
A. Kazakov
Vernadsky Institute of Geochemistry and Analytical Chemistry, RAS
编辑信件的主要联系方式.
Email: adeptak92@mail.ru
俄罗斯联邦, Moscow
D. Pavlova
Vernadsky Institute of Geochemistry and Analytical Chemistry, RAS; Mendeleev University of Chemical Technology of Russia
Email: adeptak92@mail.ru
俄罗斯联邦, Moscow; Moscow
I. Ushakov
National Research Tomsk Polytechnic University
Email: adeptak92@mail.ru
俄罗斯联邦, Tomsk
E. Nesterov
National Research Tomsk Polytechnic University
Email: adeptak92@mail.ru
俄罗斯联邦, Tomsk
V. Skuridin
National Research Tomsk Polytechnic University
Email: adeptak92@mail.ru
俄罗斯联邦, Tomsk
E. Odintsova
Bentonit Company
Email: adeptak92@mail.ru
俄罗斯联邦, Moscow
S. Vinokurov
Vernadsky Institute of Geochemistry and Analytical Chemistry, RAS
Email: adeptak92@mail.ru
俄罗斯联邦, Moscow
B. Myasoedov
Vernadsky Institute of Geochemistry and Analytical Chemistry, RAS; Interdepartmental Center for Analytical Research in Physics, Chemistry, and Biology, RAS
Email: adeptak92@mail.ru
俄罗斯联邦, Moscow; Moscow
参考
- Giri P.M., Banerjee A. // Cancers. 2023. Vol. 15. ID 2256.
- Elumalai K., Srinivasan S., Shanmugam A. // Biomed. Technol. 2024. Vol. 5. P. 109–122.
- Yun W.S., Kim J., Lim D.-K., Kim D.-H., Jeon S.I., Kim K. // Nanomaterials. 2023. Vol. 13. ID 2225.
- Kazakov A.G., Babenya J.S., Ekatova T.Y., Vinokurov S.E., Khvorostinin E.Y., Ushakov I.A., et al. // Radiochemistry. 2024. Vol. 66. № 2. P. 191–197.
- Kazakov A.G., Babenya J.S., Ekatova T.Y., Vinokurov S.E., Khvorostinin E.Y., Ushakov I.A., et al. // Radiochemistry. 2024. Vol. 66. N 2. P. 198–204.
- Kazakov A.G., Ekatova T.Y., Vinokurov S.E., Khvorostinin E.Y., Ushakov I.A., Zukau V.V, et al. // Radiochemistry. 2024. Vol. 66. № 2. P. 205–210.
- Skotland T., Iversen T.G., Llorente A., Sandvig K. // Adv. Drug Deliv. Rev. 2022. Vol. 186. ID 114326.
- Yakovlev R.Y., Dogadkin N.N., Kulakova I.I., Lisichkin G.V., Leonidov N.B., Kolotov V.P.// Diamond. Relat. Mater. 2015. Vol. 55. P. 77–86.
- Karpukhin A.V., Avkhacheva N.V., Yakovlev R.Y., Kulakova I.I., Yashin V.A., Lisichkin G.V., Safronova V.G. // Cell. Biol. Int. 2011. Vol. 35. № 7. P. 727–733.
- Dolmatov V.Y., Rudenko D.V., Burkat G.K., Aleksandrova A.S., Vul’ A.Yu., Aleksenskii A.E., et al. // J. Superhard Mater. 2019. Vol. 41. N 3. P. 169–177.
- Qaim S.M. // J. Radioanal. Nucl. Chem. 2024. Vol. 333. P. 3577–3584.
- Государственная фармакопея Российской Федерации. XV изд. Раздел 3.5: Радиофармацевтические лекарственные препараты. https://pharmacopoeia.regmed.ru/pharmacopoeia/izdanie-15/3/3-5/
- Volkov D.S., Krivoshein P.K., Mikheev I.V., Proskurnin M.A. // Diamond Relat. Mater. 2020. Vol. 110. ID 108121.
- Buchatskaya Y., Romanchuk A., Yakovlev R., Shiryaev A., Kulakova I., Kalmykov S. // Radiochim. Acta. 2015. Vol. 103. N 3. P. 205–211.
- Казаков А.Г., Гаращенко Б.Л., Яковлев Р.Ю., Винокуров С.Е., Мясоедов Б.Ф. // Радиохимия. 2020. T. 62. № 6. C. 519–525.
- Ahmadijokani F., Molavi H., Peyghambari A., Shojaei A., Rezakazemi M., Aminabhavi T.M., Arjmand M. // J. Environ. Manag. 2022. Vol. 316. ID 115214.
- Liu J.-H., Yang S.T., Chen X.-X., Wang H. // Curr. Drug Metab. 2012. Vol. 13. P. 1046–1056.
补充文件






