Экстракция иттербия растворами моно(2-этилгексилового) эфира 2-этилгексилфосфоновой кислоты в гексане из растворов азотной кислоты
- Авторы: Бобровская К.С.1, Кузнецов Р.А.1
-
Учреждения:
- Научно-исследовательский технологический институт им. С.П. Капицы Ульяновского государственного университета
- Выпуск: Том 66, № 6 (2024)
- Страницы: 566-576
- Раздел: Статьи
- URL: https://ogarev-online.ru/0033-8311/article/view/292266
- DOI: https://doi.org/10.31857/S0033831124060078
- ID: 292266
Цитировать
Аннотация
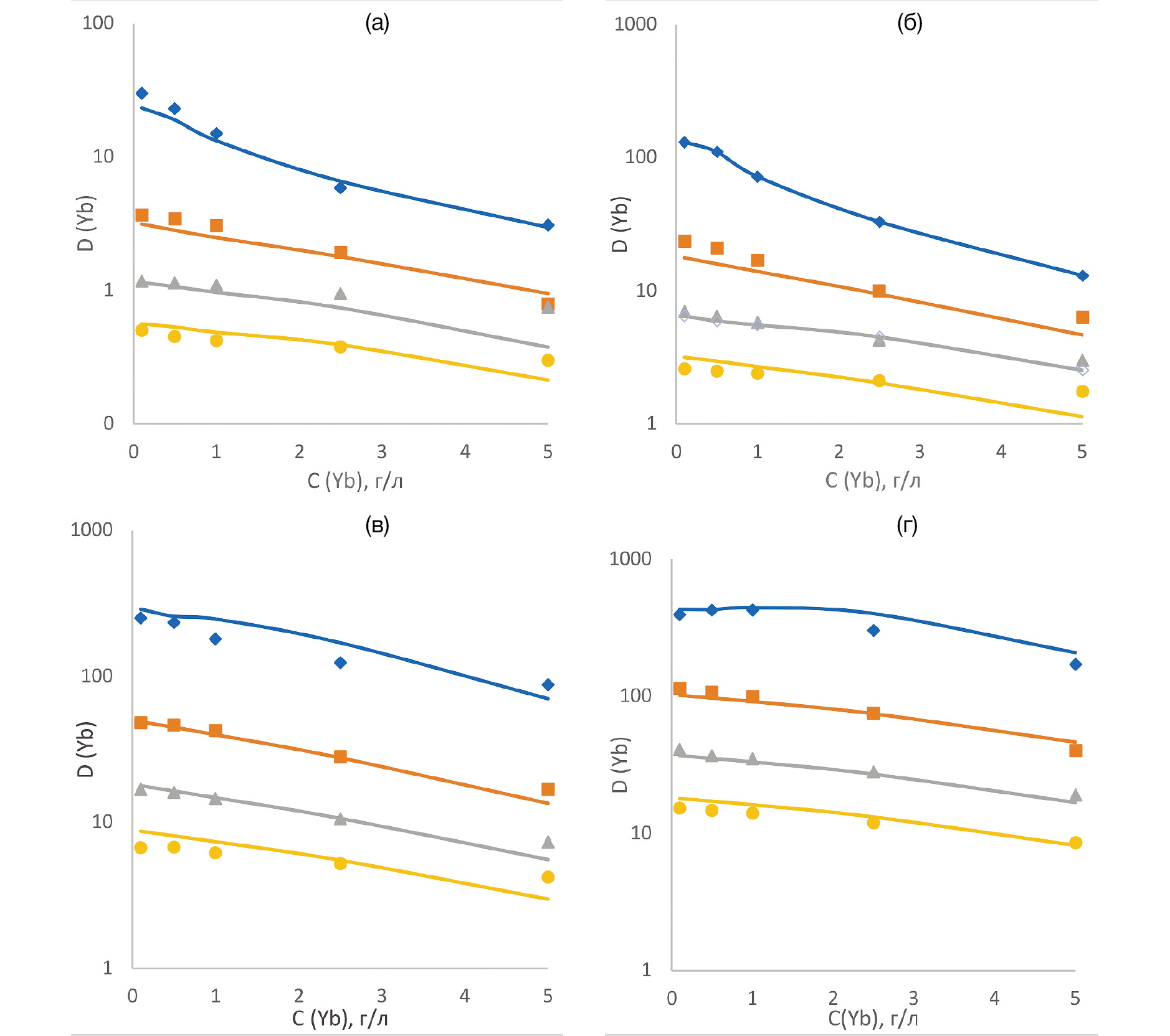
Исследована экстракция иттербия растворами моно(2-этилгексилового) эфира 2-этилгексилфосфоновой кислоты (HEH[EHP]) в гексане из растворов азотной кислоты при концентрации HEH[EHP] 0.5–2.0 моль/л, кислотности 0.1–2.0 моль/л и концентрации лантанида от 0.1 до 5 г/л. Показано, что зависимости коэффициентов распределения иттербия от кислотности раствора описываются выражениями типа lgD = alg[H+] + b, при этом значение коэффициента a зависит от концентрации экстрагента и концентрации лантанида, варьируясь в диапазоне от –1.26 до –3.0. Вероятная причина – экстракция как по катионообменному, так и по сольватному механизму. Предложена модель, описывающая зависимость коэффициента распределения иттербия от его концентрации в водной фазе при различных концентрациях экстрагента и кислотностях. Показана удовлетворительная сходимость модели с экспериментальными данными.
Полный текст
Об авторах
К. С. Бобровская
Научно-исследовательский технологический институт им. С.П. Капицы Ульяновского государственного университета
Автор, ответственный за переписку.
Email: rostislavkuznetsov@yandex.ru
Россия, Ульяновск
Р. А. Кузнецов
Научно-исследовательский технологический институт им. С.П. Капицы Ульяновского государственного университета
Email: rostislavkuznetsov@yandex.ru
Россия, Ульяновск
Список литературы
- Dash A., Chakravarty R., Knapp Furn F., Pillai A.M.R. // Curr. Radiopharm. 2015. Vol. 8. N. 2. P. 107. https://doi.org/10.2174/1874471008666150312161942
- Tarasov V., Andreev O., Romanov E., Kuznetsov R., Kupriyanov V., Tselishchev I. // Curr. Radiopharm. 2015. Vol. 8. N 2. P. 95. https://doi.org/10.2174/1874471008666150312160855
- Qi D. Hydrometallurgy of Rare Earths: Extraction and Separation. Elsevier Science, 2018. 804 p. https://doi.org/10.1016/b978-0-12-813920-2.00002-7
- Dash A., Pillai M.R.A., Knapp F.F. // Nucl. Med. Mol. Imaging. 2015. Vol. 49. N 2. P. 85. https://doi.org/10.1007/s13139-014-0315-z
- Kuznetsov R.A., Bobrovskaya K.S., Svetukhin V.V., Fomin A.N., Zhukov A.V. // Radiochemistry. 2019. Vol. 61. N 4. P. 381–395. https://doi.org/10.1134/S1066362219040015
- Horwitz E.P., McAlister D.R., Bond A.H., Barrans R.E., Williamson J.M. // Appl. Radiat. Isot. 2005. Vol. 63. P. 23. https://doi.org/10.1016/j.apradiso.2005.02.005
- Амбул Е.В., Голецкий Н.Д., Медведева А.И., Наумов А.А., Пузиков Е.А., Афонин М.А., Шишкин Д.Н. // Радиохимия. 2022. Т. 64. № 3. С. 233. https://doi.org/10.31857/S0033831122030054
- Амбул Е.В., Голецкий Н.Д., Наумов А.А., Пузиков Е.А., Мамчич М.В., Бизин А.В., Медведева А.И. // Радиохимия. 2023. T. 65. № 3. С. 226. doi: 10.31857/S0033831123030036
- Zhengshui Hu, Ying Pan, Xun Fu, Ying Pan // Solvent Extr. Ion Exch. 1995. Vol. 13. N 5. P. 965. https://doi.org/10.1080/07366299508918312
- Zhu Z., Bian Z., Long Z. // Anal. Meth. 2010. Vol. 2. P. 82. https://doi.org/10.1039/b9ay00187e
- Quinn J.E., Soldenhoff K.H., Stevens G.W., Lengkeek N.A. // Hydrometallurgy. 2015. Vol. 157. P. 298. http://doi.org/10.1016/j.hydromet.2015.09.005
- Lumetta G.J., Sinkov S.I., Krause J.A., Sweet L.E. // Inorg. Chem. 2016. Vol. 55. N 4. P. 1633. https://doi.org/10.1021/acs.inorgchem.5b02524
- Grimes T.S., Tian G., Rao L., Nash K.L. // Inorg. Chem. 2012. Vol. 51. P. 6299. https://doi.org/10.1021/Ic300503P
- Shu Q., Khayambashi A., Wang X., Wei Y. // Adsorp. Sci. Technol. 2018. Vol. 36. P. 1049. https://doi.org/10.1177/0263617417748112
- Su W., Chen Ji, Jing Yu, Liu Ch., Deng Yu, Yang M. // J. Rare Earths. 2018. Vol. 36. N 5. P. 505. https://doi.org/10.1016/j.jre.2017.10.008
- Lécrivain T., Kimberlin A., Dodd D.E., Miller S., Hobbs I., Campbell E., et al. // Solvent Extr. Ion Exch. 2019. Vol. 37. N 3. P. 284–296. https://doi.org/10.1080/07366299.2019.1639371
- Kolarik Z. // Solvent Extr. Ion Exch. 2010. Vol. 28. N 6. P. 707. https://doi.org/10.1080/07366299.2010.515172
- Tasaki Y., Abe Y., Ooi K., Narita H., Tanaka M., Wakisaka A. // Sep. Purif. Technol. 2016. Vol. 157. P. 162. https://doi.org/10.1016/j.seppur.2015.11.038
- Ooi K., Tasaki-Handa Y., Abe Y., Wakisaka A. // Dalton Trans. 2014. Vol. 43. P. 4807. https://doi.org/10.1039/c3dt53407c
Дополнительные файлы








