Thermal Stability of Irradiated VP–1AP Anion Exchange Resin
- Authors: Kalistratova V.V.1, Belova E.V.1, Milyutin V.V.1, Nazin E.R.1
-
Affiliations:
- Frumkin Institute of Physical Chemistry and Electrochemistry, Russian Academy of Sciences
- Issue: Vol 66, No 3 (2024)
- Pages: 246-252
- Section: Articles
- URL: https://ogarev-online.ru/0033-8311/article/view/288414
- DOI: https://doi.org/10.31857/S0033831124030053
- ID: 288414
Cite item
Full Text
Abstract
The effect of irradiation of a strongly basic vinylpyridine anion exchange resin of the VP–1AP grade in nitrate form on the onset temperatures of exothermic reactions, thermal effects and the composition of gaseous thermolysis products of VP–1AP was studied. It was established that the onset temperatures of exothermic reactions for an irradiated anion exchange resin are reduced by 59–100°C. The total thermal effect of thermolysis of the irradiated sorbent is 67% less than that of the non-irradiated one. An analysis of the composition of the gaseous thermolysis products of the VP–1AP irradiated anion exchange resin showed that at the first stage of thermolysis, the functional groups of the sorbent are predominantly decomposed. At higher temperatures, the process of degradation of the styrene-divinylbenzene anion exchange resin matrix was detected. The significant influence of irradiation on the conditions for the safe use of anion exchange resins during separation of radionuclides from nitric acid solutions was demonstrated.
Full Text
ВВЕДЕНИЕ
В радиохимической технологии широко применяются сорбционные методы выделения и разделения радиоактивных веществ с использованием синтетических анионообменных смол. В частности, для выделения плутония из азотнокислых сред используют сильноосновные винилпиридиниевые аниониты [1–3]. Процесс сорбции плутония проводят из растворов с концентрацией азотной кислоты 7–8 моль/дм3 [4]. В процессе извлечения 238Pu из облученных нептуниевых блочков сорбционная система подвергается высоким радиационным нагрузкам. Ввиду высокой энергии α-частиц при распаде 238Pu происходит разрушение анионита под действием альфа-излучения и термического нагрева [5, 6]. Данная совокупность факторов – окислительная среда, внешнее и внутреннее облучение и повышенная температура – может негативно сказываться на безопасности проведения процесса сорбции. Это подтверждает анализ радиационных аварий в сорбционных системах с участием анионитов, который показывает, что причиной разрушения сорбционных колонн являлись экзотермические процессы взаимодействия анионита с азотнокислыми окислителями [6, 7].
Наиболее полно процессы радиационно-термического разложения изучены для анионита марки ВП–1АП [8]. Однако имеющиеся данные не дают полного представления о механизме реакций окисления анионита азотной кислотой, составе газообразных продуктов термолиза и влияния облучения на их состав. Хотя в настоящее время промышленное производство ВП–1АП прекращено, в радиохимических процессах происходит постепенная замена этого ионита на его аналоги, обладающие сходными физико-химическими и сорбционными характеристиками [1, 9, 10]. Несмотря на сходства сорбционных свойств, показатели радиационной и термической стабильности для аналогов могут различаться [11–15].
Помимо проблемы безопасной эксплуатации анионита ВП–1АП и его аналогов, в радиохимической промышленности существует ещё одна проблема, связанная с накоплением большого количества отработанной анионообменной смолы. В связи с этим большую актуальность приобретает разработка методов утилизации отработанных сорбентов, в частности, методом пиролиза [16, 17].
Целью настоящей работы являлось определение стартовых температур экзотермических реакций, тепловых эффектов, состава газообразных продуктов термолиза, а также влияния облучения на эти параметры для определения температурных границ и условий безопасного использования анионита ВП–1АП в азотнокислых растворах.
ЭКСПЕРИМЕНТАЛЬНАЯ ЧАСТЬ
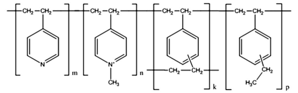
В качестве объекта исследования был выбран сильноосновный макропористый анионит марки ВП–1АП, содержащий два вида ионогенных групп: N-метилпиридиниевый азот и пиридиновый азот:
Основные физико-химические характеристики анионита ВП-1АП [13]:
Основные физико-химические характеристики анионита ВП–1АП [18]:
– внешний вид – сферические гранулы светло- желтого цвета;
– ионная форма при поставке – Cl–;
– размер зерен в воздушно-сухом состоянии, мм – 0.63–2.0;
– насыпной вес, г/см3–0.48;
- удельный объем набухшего в воде ионита, см3/г – не менее 3.5;
– удельная поверхность, м2/г – не менее 10;
– полная обменная емкость по Cl–-ионам, мг-экв/г – не менее 4.3;
– полная обменная емкость по сильноосновным группам, мг-экв/г – не менее 3.7;
– механическая прочность,% – не менее 90.
Анионит ВП–1АП предварительно переводили в нитратную форму. Для этого смолу помещали в колонку и промывали 8 колоночными объемами (к.о.) раствора HNO3 с концентрацией 7 моль/дм3 в течение 8 ч. Затем колонку промывали 2 к.о. воды в течение 2 ч для удаления кислоты из межпорового пространства и сушили на воздухе до постоянной массы.
Облучение анионита ВП–1АП проводили в стеклянных кюветах на линейном ускорителе электронов УЭЛВ-10-10-С-70 до достижения интегральной дозы 2 МГр.
Для избегания перегрева образцов смолы облучение проводили циклично небольшими дозами (100 кГр).
Мощность дозы электронного излучения определяли по следующей методике: химический дозиметр (стандартный эталонный материал СО ПД(Ф)Р–5/50 (сополимер, легированный феназиновым красителем)) устанавливают в том же месте, где предполагается размещать образец. В процессе облучения материал дозиметра приобретает окраску (пропорционально поглощенной дозе). Затем дозу (Гр), полученную дозиметром (согласно его оптическому поглощению), делят на время облучения дозиметра (с) и в итоге получают мощность дозы (Гр/с). Далее облучают образец (толщина которого меньше длины пробега используемых электронов (4 г/см2, т.е. образец толщиной не более 3 г/см2 – для равномерности облучения), а ширина меньше диаметра электронного пучка (10 см при равномерности ±12%)). Из известной мощности дозы (Гр/с) и заданной дозы (Гр) определяют требуемое время облучения.
Параметры экзотермических реакций определяли методом дифференциально-сканирующей калориметрии, совмещенной с термогравиметрией, на приборе Netzsch STA 449 F3 Jupiter и методом дифференциально-сканирующей калориметрии на приборе ДСК–500 СамГТУ. Навеску анионита массой от 10 до 13 мг помещали в открытый корундовый тигель и проводили линейный нагрев со скоростью 2 и 4°C/мин. В качестве образца сравнения использовали прокаленный Al2O3. Нагрев проводили в воздушной атмосфере в интервале температур от 22 до 800°C. Программными комплексами ProteusNetzsch и TSS в среде TDpro определяли температуру начала экзотермической реакции (Тст, °C) и удельный тепловой эффект (Qуд, Дж/г). Погрешность измерений не превышала 3 отн%.
Газообразные продукты термолиза анализировали с помощью хроматомасс-спектрометрической приставки Agilent 8890B GC–Jeol Q 1500 MS к STA 449 F3. Отбор проб происходил автоматически во время термолиза смолы в ДСК порциями через равные промежутки времени.
Продукты термолиза идентифицировали по библиотеке NIST 23 Mass spectral library.
РЕЗУЛЬТАТЫ И ОБСУЖДЕНИЕ
На рис. 1 представлена зависимость удельного теплового потока от температуры нагрева воздушно-сухого необлученного (кривая 1) и облученного (кривая 2) анионита ВП–1АП в нитратной форме. Каждая стадия характеризуется соответствующим пиком. Рассчитанные значения Qуд и температуры начала экзотермической реакции (Тст) приведены в табл. 1.
Рис. 1. Зависимость удельного теплового потока от температуры нагрева необлученного (1) и облученного (2) анионита ВП-1АП в нитратной форме.
Таблица 1. Значения удельного теплового потока (Qуд) и температуры начала экзотермических реакций (Тст) для облученного и необлученного анионита ВП-1АП в нитратной форме
Номер пика | 1 | 2 | 3 | |||
Доза облучения, МГр | 0 | 2 | 0 | 2 | 0 | 2 |
Qуд, Дж/г | 20 | 26 | 754 | 440 | 1370 | 264 |
Тст,°C | 170 | 105 | 225 | 125 | 295 | 230 |
Как видно из рис. 1, термолиз как необлученного, так и облученного анионита ВП–1АП протекает в несколько стадий, сопровождающихся выделением тепла. При нагреве необлученного сорбента от 30 до 400°C первый экзотермический процесс наблюдается при температуре 175°C, что согласуется с данными работы [19]. Данный эффект обладает небольшой интенсивностью и связан, по-видимому, с окислением незначительных количеств продуктов термолиза сорбента, выделившихся при этой температуре. На второй и третьей стадиях со стартовыми температурами около 220 и 295°C происходит интенсивное окисление функциональных групп и самой матрицы ионита с удельным тепловыделением 754 и 1370 Дж/г соответственно. Реакции на второй и третьей стадиях растянуты во времени и продолжаются 20–25 мин.
Сорбент в нитратной форме аналогичен нитроцеллюлозному пороху с невысоким содержанием окислителя, для них температуры самовоспламенения находятся в интервале от 200 до 300°C [20].
Воздействие ионизирующего излучения оказывает заметное влияние на параметры термической стабильности анионита ВП–1АП. Так, в случае облученного ионита первый экзотермический эффект наблюдается уже при нагреве до 106°C, что на 59°C ниже по сравнению с необлученным сорбентом. Сразу после завершения первой стадии наступает вторая стадия, сопровождающаяся высоким экзотермическим эффектом. Третья стадия термолиза облученного анионита начинается при 230 и заканчивается при 290°C.
Количество выделившегося тепла на второй и третьей стадиях для облученного сорбента оказалась в 1.7 и 5.1 раз меньше по сравнению с необлученным сорбентом. Хотя суммарное выделение тепла при окислении облученного сорбента на 67% меньше, чем необлученного, тем не менее, этого теплового эффекта может быть достаточно для самовоспламенения сорбента.
Для определения механизма процессов термолиза анионита ВП–1АП был проведен анализ газообразных продуктов термолиза на каждой из стадий (табл. 2).
Таблица 2. Состав основных газообразных продуктов термолиза облученного и необлученного анионита ВП-1АП в нитратной форме
Доза облучения, МГр | Температурный интервал, °С | ||
1 | 2 | 3 | |
0 | 170–200 | 200–280 | 280–400 |
Пиридин, винилпиридин, метилпиридин | Пиридин, винилпиридин, метилпиридин, 2,5-диметилпиридин, 5-винил-2-метилпиридин | Пиридин, винилпиридин, метилпиридин, 2,5-диметилпиридин 5-винил-2-метилпиридин, стирол, дивинилбензол | |
2 | 105–125 | 125–200 | 225–290 |
Пиридин, винилпиридин, метилпиридин | Пиридин, винилпиридин, метилпиридин, 2,5-диметилпиридин, 5-винил-2-метилпиридин, бензонитрил | Пиридин, винилпиридин, метилпиридин, 2,5-диметилпиридин, 5-винил-2-метилпиридин, стирол, бензонитрил, пиридинкарбоксальдегид, пиридинон, пропилпиридин | |
На первом этапе качественный состав газообразных продуктов термолиза как для необлученного, так и для облученного анионита идентичен и представлен пиридином, винилпиридином и метилпиридином. Наличие этих веществ позволяет предположить, что на первой стадии реакция происходит преимущественно за счет разложения функциональных групп сорбента – пиридиниевой и метилпиридиниевой. Различие необлученного и облученного анионита проявляется только в снижении температуры начала выделения данных веществ из облученного ионита. При разработке условий безопасного использования анионита ВП–1АП следует учитывать, что пиридин является легковоспламеняющимся веществом, что требует использования инертных газов для разбавления газообразных продуктов термолиза.
На втором этапе термолиза появляются различия в составе газообразных продуктов необлученного и облученного образцов: помимо пиридина и его производных в составе газовой фазы облученного сорбента обнаружен бензонитрил, который, по-видимому, является ответственным за снижение Тст второй экзотермической реакции. Все образующиеся продукты относятся к азотсодержащим веществам, т.е. их образование связано с разрушением функциональных групп ионита.
Третья экзотермическая реакция начинается и протекает при более высоких температурах, когда происходит более глубокий термолиз стирол-дивинилбензольной матрицы анионита. В продуктах термолиза ионита помимо азотсодержащих соединений обнаруживаются стирол и дивинилбензол для необлучённого, стирол и толуол – для облучённого. На данной стадии заметно, что состав газообразных продуктов для облученного анионита более сложный: помимо вышеперечисленных соединений присутствуют кислородсодержащие вещества: пиридинкарбоксальдегид, пиридинон. Образование данных продуктов является показателем того, что на третьей стадии происходит деструкция матрицы смолы.
Сценарий возникновения и развития экзотермических процессов при нагревании анионита в нитратной форме можно представить следующим образом: по мере нагревания происходит термолиз ионита с образованием в поровом пространстве парогазовой фазы, состоящей из летучих органических продуктов деструкции смолы и оксидов азота. При достижении стартовой температуры экзотермической реакции (Тст) начинается экзотермическая реакция между компонентами парогазовой фазы, сопровождающаяся резким повышением температуры. На второй стадии, вероятнее всего, происходит окисление функциональных групп ионита, а на третьей происходит более глубокая деградация сорбента – пиролиз, который затрагивает не только функциональные группы, но и матрицу сорбента.
Облучение ионита приводит к изменению физико-химических характеристик сорбента. При сравнении изображений поверхности гранул анионита до и после облучения (рис. 3) видно образование дефектов поверхности, механическое разрушение гранул, увеличение размера пор, что также может сказываться на термической стабильности сорбента. Кроме этого, при облучении изменяется цвет гранул ионита со светло-желтого на оранжевый, а сами гранулы слипаются с образованием агрегатов.
Таблица 3. Газообразные продукты третьей стадии термолиза анионита ВП-1АП
Продукты третьей стадии | |
Облученный ВП-1АП (Хроматограмма 1) | Необлученный ВП-1АП (Хроматограмма 2) |
1) Пиридин 2) Толуол 3) 2-Метилпиридин 4) 3-Метилпиридин 5) Винилбензол 6) 2,5-Диметилпиридин 7) 2,3-Диметилпиридин 8) 3-Этилпиридин 9) 4-Винилпиридин 10) Бензонитрил 11) Этилбензонитрил 12) Пиридинкарбонитрил 13) 2-Этил-6-метилпиридин 14) 2-Этил-5-метилпиридин 15) 5-Винил-2-метилпиридин 16) 1,3-Диэтилбензол 17) Пиридинон 18) Пиридинкарбоксальдегид 19) 2-Метилбензонитрил 20) 2,6-Диэтилпиридин 21) Пропилпиридин | 1) Пиридин 2) 3-Метилпиридин 3) 1,3-Диметилбензол 4) 1,4-дивинилбензол 5) Винилбензол 6) 2,5-Диметилпиридин 7) 2,3-Диметилпиридин 8) 3-Этилпиридин 9) 1-Этил-4-метилбензол 10) 3-Винилпиридин 11) Альфа-метилстирол 12) 1-Винил-3-метилбензол 13) 1-Винил-2-метилбензол 14) 2-Этил-6-метилпиридин 15) 5-Этил-2-метилпиридин 16) 2-Этил-5-метилпиридин 17) 5-Винил-2-метилпиридин 18) 1,3-Диметилбензол 19) 1,4-Диэтилбензол 20) 2,6-Диэтилпиридин 21) 5-Винил-2-метилпиридин |
Рис. 3. Изображения поверхности гранул анионита ВП-1АП: слева – необлученный образец; справа – облученный образец.
Как показано в табл. 1, облучение приводит к существенному снижению тепловыделения в экзотермических реакциях, поэтапно и в целом. Столь значительное снижение тепловыделения можно объяснить уменьшением объемов реагирующих парогазовых смесей вследствие разрыхления гранул сорбента при облучении и частичного удаления их из пор во время облучения и/или нагревания сорбента.
В целом облучение сорбента ВП–1АП в нитратной форме снижает его термическую стабильность и повышает взрывоопасность операций с ним.
ЗАКЛЮЧЕНИЕ
Установлено, что облучение анионита ВП–1АП в нитратной форме оказывает заметное влияние на параметры термической стабильности анионита ВП–1АП. В случае облученного ионита первый экзотермический эффект наблюдается при 105°C, что на 65°C ниже по сравнению с необлученным сорбентом. Вторая и третья стадии термолиза облученного анионита, сопровождающиеся большим экзотермическим эффектом, начинаются при 125 и 230°C, что на 100 и 65°C ниже по сравнению с необлученным ионитом. Суммарный тепловой эффект термолиза облученного сорбента на 67% меньше по сравнению с необлученным.
Анализ газообразных продуктов термолиза облученного анионита ВП–1АП показал, что первом этапе преимущественно происходит разложение функциональных групп сорбента – пиридиниевой и метилпиридиниевой. Различие необлученного и облученного анионита проявляется только в снижении температуры начала выделения данных веществ из облученного ионита. При более высоких температурах кроме разрушения функциональных групп ионита происходит деструкция стирол-дивинилбензольной матрицы анионита.
Облучение ионита приводит к образованию дефектов поверхности, механическому разрушению гранул, увеличению размера пор, что сказывается на термической стабильности сорбента.
На основании полученных результатов установлено, при проведении технологических операций с использованием винилпиридиниевых анионитов в процессе переработки ОЯТ следует исключить повышение температуры более 80°C.
ФОНДОВАЯ ПОДДЕРЖКА
Работа выполнена при частичном финансировании Министерства науки и высшего образования Российской Федерации.
КОНФЛИКТ ИНТЕРЕСОВ
Авторы заявляют об отсутствии конфликта интересов.
About the authors
V. V. Kalistratova
Frumkin Institute of Physical Chemistry and Electrochemistry, Russian Academy of Sciences
Email: vmilyutin@mail.ru
Russian Federation, Moscow, 119071
E. V. Belova
Frumkin Institute of Physical Chemistry and Electrochemistry, Russian Academy of Sciences
Email: vmilyutin@mail.ru
Russian Federation, Moscow, 119071
V. V. Milyutin
Frumkin Institute of Physical Chemistry and Electrochemistry, Russian Academy of Sciences
Author for correspondence.
Email: vmilyutin@mail.ru
Russian Federation, Moscow, 119071
E. R. Nazin
Frumkin Institute of Physical Chemistry and Electrochemistry, Russian Academy of Sciences
Email: vmilyutin@mail.ru
Russian Federation, Moscow, 119071
References
- Лызлова Е.В., Глухова А.В., Кондруцкий Д.А. // Радиохимия. 2019. Т. 61. № 2. С. 122–126.
- Лызлова Е.В., Глухова А.В., Старовойтов Н.П., Логунов М.В., Гелис В.М. // Вопр. радиац. безопасности. 2013. № 2. С. 57–63.
- Peterson R.A., Brown G., Rovira A.M. Ion Exchange. Engineering Separations Unit Operations for Nuclear Processing. CRC, 2019. P. 251–303.
- Du M., Hylton T.D., Robinson S.M. // J. Radioanal. Nucl. Chem. 2021. Vol. 327. P. 417–424.
- Назин Е.Р., Зачиняев Г.М. Пожаровзрывобезопасность технологических процессов радиохимических производств. М.: НТЦ ЯРБ, 2009.
- Nazin E., Belova E. // Prog. Nucl. Energy. 2022. Vol. 149. Article 104254.
- Глаголенко Ю.В. Анализ причин разгерметизации сорбционной колонны на установке по производству плутония–238 радиоизотопного завода ПО «Маяк» Радиевый ин-т им. В.Г. Хлопина, ЦНИИатоминформ, 1996.
- Стрелков С.А. Роль радиационно-химических эффектов в сорбционных процессах на анионите ВП–1Ап: автореф. дис. … к.х.н. СПб.: Радиевый ин-т, 2006. 23 с.
- Milyutin V.V., Nekrasova N.A., Tret’yakov V.A., Kondrutskii D.A. // Radiochemistry. 2016. Vol. 58. P. 640–644.
- Orhan T., Hacaloglu J. // Polym. Degrad. Stab. 2013. Vol. 98. No. 1. P. 356–360.
- Лызлова Е.В., Глухова А.В., Конников А.В., Бирюкова М.А. // Радиохимия. 2020. Т. 62. № 3. С. 234–239.
- Sato Y., Matsunaga T., Koyama S.I., Suzuki T., Ozawa M. // Energy Procedia. 2015. Vol. 71. P. 112–122.
- Sato Y., Okada K., Akiyoshi M., Matsunaga T., Koyama S.I., Suzuki T., Ozawa M. // Prog. Nucl. Energy. 2011. Vol. 53. № 7. P. 988–993.
- Baidak A., LaVerne J.A. // J. Nucl. Mater. 2010. Vol. 407. № 3. P. 211–219.
- Ramesh Kumar C., Vijayakumar V., Suresh A., Jayalakshmi S., Sivaraman N. // J. Radioanal. Nucl. Chem. 2019. Vol. 321. P. 617–627.
- Wang J., Wan Z. // Prog. Nucl. Energy. 2015. Vol. 78. P. 47–55.
- Luca V., Bianchi H.L., Manzini A.C. // J. Nucl. Mater. 2012. Vol. 424. No. 1–3. P. 1–11.
- Ионообменные материалы для процессов гидрометаллургии, очистки сточных вод и водоподготовки: Справ. М.: ВНИИХТ, 1983. 207 с.
- Калистратова В.В., Родин А.В., Емельянов А.С., Виданов В.Л., Милютин В.В., Белова Е.В., Шмидт О.В., Мясоедов Б.Ф. // Радиохимия. 2018. Т. 60. № 3. С. 250–255.
- Горст А.Г. Пороха и взрывчатые вещества. М.: Машиностроение, 1972. 207 с.
Supplementary files






