Sorption Statics of Cr(VI), Mo(VI), W(VI), Se(IV) Oxygen Anions by Nanostructured Al2O3||C Composite
- Authors: Polyakov Е.V.1, Krasilnikov V.N.1, Volkov I.V.1, Ioshin A.A.1
-
Affiliations:
- Institute of Solid State Chemistry of the Ural Branch of the Russian Academy of Sciences
- Issue: Vol 66, No 5 (2024)
- Pages: 484-492
- Section: Articles
- URL: https://ogarev-online.ru/0033-8311/article/view/287833
- DOI: https://doi.org/10.31857/S0033831124050081
- ID: 287833
Cite item
Full Text
Abstract
By the methods of thermodynamic modeling, sorption diagnostics, analysis of particle zeta-potential, and UV-Vis spectrometry the equilibrium conditions of sorption interaction of CrO4 2– , MoO4 2– , WO4 2– , SeO3 2– oxygen anions in the region of chemical stability of Al2O3||C composite have been analyzed. The anion sorption isotherms are shown to follow the Langmuir model for a monoenergetic sorbent. The Henry region is observed at concentrations less than 1 μmol/L. According to the established mechanism of surface complexation, the value of anions protonation constant (K1) in the investigated pH range determines the sorption activity of the composite to these anions. This explains the correlation found between the ratio of parameters of acid–base sites {Al–O–}, {Al–HO0}, and {Al–OH2+} of composite KM(1,2) and the protonation constant of anion K1. It is shown that the Al2O3||C composite exhibits the properties of collective action sorbent, concentrating from dilute solutions both cations of d-, f-elements and oxygen anions of d-elements with the value of logKd [mL/g] > 4.
Full Text
ВВЕДЕНИЕ
Анионные формы радионуклидов, возникая в качестве химических продуктов деления и активации, существенно влияют на радиационную обстановку действующих АЭС. В растворах теплоносителя фиксируются анионные формы радионуклидов 93,99mMo, 187W, 99mTc. В газово-аэрозольных выбросах АЭС присутствуют анион-образующие формы таких радиотоксичных элементов, как 129,131I, 95Nb, 99Mo [1]. Радионуклиды 99Tc и 79Se, обнаруженные в высокоактивных радиоактивных отходах в качестве продуктов деления 235U, обладают высокой радиоактивностью, большим периодом полураспада, слабой адсорбцией и повышенной миграцией в минеральных средах. Радионуклиды Mo представляет особый интерес в связи с тем, что 99Mo используется в качестве прекурсора 99mTc, а 93Mo является продуктом активации отработавшего ядерного топлива [1, 2]. На выделение этих радионуклидов обращают внимание при оценке безопасности геологического захоронения высокоактивных радиоактивных отходов [3]. Среди радионуклидов, рекомендованных МАГАТЭ для применения в качестве радиофармпрепаратов, значительное место занимают анион-образующие радионуклиды – 71As(71Ge), 71Ge, 77Br, 80mBr, 103Ru(103mRh), 119Sb, 119mTe(119Sb) [4]. Некоторые элементы, такие как вольфрам в форме вольфрамат-ионов, обладают высокой токсичностью при попадании в почву и воду на уровне микроконцентраций [5]. Извлечение этих элементов из водных растворов в форме анионов и их иммобилизация требуют использования сорбентов с высокой специфичностью к анионам в реакциях соосаждения, ионного обмена, поверхностного комплексообразования, экстракции [6].
К сорбентам широкого спектра действия, способным извлекать группы радионуклидов-анионов, относят активированные угли [7]. Созданные в качестве универсальных адсорбентов газов, активированные угли используют в качестве структурного мотива во многих нанодисперсных сорбентах очистки водных растворов от ионов тяжелых металлов: Cr(VI), Pb(II), Cd(II), Ni(II), Eu(III), Cm(III), U(VI) и др. [8–13]. Специальные сорта активированного угля обнаруживают сильное сродство к анионам 75Se, 129I, 99Tc, 79Se, 36Cl, 93Mo, причем наибольшим сродством обладают анионы Cr(VI) [14]. Эффективными сорбентами для анионов SeO3 2–, SeO4 2–, CrO4 2–, AsO4 3– являются оксигидраты Fe2O3·nH2O, Al2O3·nH2O [15], а ионы Cr(VI), Mo(VI), W(VI), IO3 –, S2O3 2– с высоким коэффициентом распределения сорбируются оксидами марганца(IV) [16]. Отмечается селективность в сорбции анионов разной валентности. Так, анионы SeO3 2– адсорбируются многими оксидами d-, f-металлов сильнее, чем SeO4 2–. Анионы As(III) адсорбируются на оксиде железа слабее, чем As(V) [17]. Алюмосиликаты способны реагировать как с катионами, так и с анионами микроэлементов в растворах. Их сорбционные свойства по отношению к анионным формам на порядки слабее в сравнении с катионами [18]. Тем не менее, алюмосиликаты и природные глины способны быть естественными сорбционными барьерами и регуляторами миграции анионных форм радионуклидов в водных растворах [19].
Большой интерес в ряду неорганических сорбционных материалов представляют оксиды алюминия благодаря своей высокой сорбционной специфичности (высоким коэффициентам распределения, Kd) к многозарядным ионам в растворах и своим амфотерным свойствам. Сорбенты на основе оксида алюминия применяют для выделения из растворов как катионов, так и анионов. Высокая удельная поверхность и сродство к анионам As(III,V), P(V), Se(IV,VI), F–, низкая себестоимость и простота применения делает оксид алюминия одним из привлекательных сорбентов в своем классе для выделения токсичных микроэлементов из водных сред [20], иммобилизации делящихся и радиоактивных материалов для последующей долговременной выдержки [21]. В обзоре [22] изложены результаты исследования сорбентов на основе нанодисперсных форм оксида алюминия, оценен потенциал и перспективы их использования для очистки воды от различных загрязнителей, приводятся сведения о составе, условиях синтеза сорбентов и механизмах сорбции катионов и анионов. Авторы работы [22] подчеркивают отсутствие в настоящее время обобщающих представлений о реакционной способности оксида алюминия в нанодисперсном состоянии. Примеры использования ультрадисперсного оксида алюминия в качестве сорбента можно найти в работах [23–26].
Переход к созданию ультрадисперсных сорбционных материалов позволяет объединять сорбционные свойства графеноподобного углерода и оксида алюминия в одном композите [27–29]. Этот подход реализован в работах [30, 31], где представлен новый способ синтеза композитного материалов Al2O3||C, обладающий преимуществами технологической простоты, экономичности и возможностью масштабирования. Сорбционные характеристики такого композита по отношению к катионам лантанидов и актинидов показали существенные преимущества в сравнении с известными оксидными и углеродными сорбентами по величине Kd и диапазону рН использования композита при сорбции катионов [27–33]. С учетом литературных данных по анионной сорбционной функции оксидов алюминия и экономического интереса к сорбентам коллективного действия, способным извлекать как катионы, так и анионы радионуклидов/микроэлементов из технологических и природных водных растворов, интересно оценить характеристики композита Al2O3||C в качестве сорбента анионных форм микроэлементов/радионуклидов. Цель исследования состояла в установлении методами статики сорбции равновесных сорбционных характеристик композита Al2O3||C по отношению к представительной группе кислородных анионов Cr(VI), Mo(VI), W(VI), Se(IV) в области химической устойчивости композита, оценке механизма сорбции анионов и перспектив применения данного композита в качестве сорбента коллективного действия для дезактивации водных сред от токсичных микроэлементов/радионуклидов.
ЭКСПЕРИМЕНТАЛЬНАЯ ЧАСТЬ
Синтез композита Al2O3||C осуществляли термическим разложением прекурсора – продукта термообработки раствора нитрата алюминия Al(NO3)3·9H2O в этиленгликоле [30, 31]. Полученный раствор нагревали при 120°C до образования сначала вязкой массы, а затем белого порошка прекурсора. Композит общего состава Al2O3||C получали нагревом прекурсора в атмосфере гелия при 700°C в течение часа. Согласно данным элементного и термогравиметрического анализа, полученный композит содержит 23.6 мас% свободного углерода. По данным сканирующей электронной микроскопии, продукт состоял из сферических агрегатов с размером 100–150 нм. Агрегаты собраны из однородных частиц без выраженных границ раздела фаз [32]. Удельная поверхность синтезированного композита составляла 40.0 м2/г (БЭТ), кумулятивный объем пор с диаметром от 17.0 до 3000.0 Å – 0.37 см³/г, средний размер пор по данным БЭТ – 401 Å, что характерно для мезопористых сорбентов.
Статику и кинетику сорбции анионов Cr(VI), Mo(VI), W(VI), Se(IV) изучали на образцах рентгеноаморфного композита, нагретого в атмосфере гелия до 700°C в течение часа. В экспериментах варьировали рН и равновесную концентрацию аниона в растворе. Зета-потенциал композита в суспензии раствора при различных значениях рН измеряли методом лазерного допплеровского электрофореза на анализаторе Zetasizer Nano ZS (Malvern Panalytical Ltd.).
Сорбционную активность синтезированного материала исследовали методом ограниченного объема по отношению к выбранной группе анионов, химические свойства которых позволяли моделировать условия выделения микроколичеств ионов в радиоактивных технологических и природных растворах низкой активности. Использовали деионизированную воду, поученную на установке Millipore Simplicity. Электролитом служил раствор 0.01 моль/л аналитически чистого NaCl. Выбор рабочего диапазона рН при исследовании сорбции полностью определялся данными по растворимости сорбента [30, 32]. Рабочие растворы с концентрацией элемента 100 мг/л из ГСО готовили внесением в мерную колбу объемом 50 мл аликвоты 5 мл ГСО 7340-96 для Se(IV), ГСО 7834-2000 для Cr(VI), ГСО 9117-2008 для W(VI) и ГСО 7768-2000 для Mo(VI). Затем доводили раствор до метки дистиллированной водой при перемешивании. В стеклянный стакан объемом 200 мл вносили 67 мл 0.01 моль/л NaCl, 3 мл рабочего раствора с концентрацией определяемого элемента 100 мг/л. При скорости перемешивания на магнитной мешалке 500 1/мин в исследуемых растворах устанавливали рН добавлением раствора 0.1 моль/л HCl или 1.9%-ного аммиака с помощью рН-метра И-150 МИ. Отбирали 60 мл раствора для эксперимента. Остальной объем раствора использовали для определения начальной концентрации исследуемого аниона в растворе.
В экспериментах по статике сорбции в серию пластиковых герметичных контейнеров с винтовой пробкой вносили навески 50 мг Al2O3||C и аликвоты 60 мл исследуемого раствора. После перемешивания растворы с сорбентом выдерживали 21 сут для достижения равновесных значений сорбции. Затем растворы фильтровали через бумажный фильтр “синяя лента”, в фильтрате определили массовую концентрацию одного из определяемых микроэлементов [Cr(VI), W(VI), Se(IV), Mo(VI)] методом атомно-эмиссионной спектроскопии (ИСП–АЭС) на спектрометре Optima 8000 (Perkin Elmer). Затем измеряли равновесное значение рН исследуемых растворов.
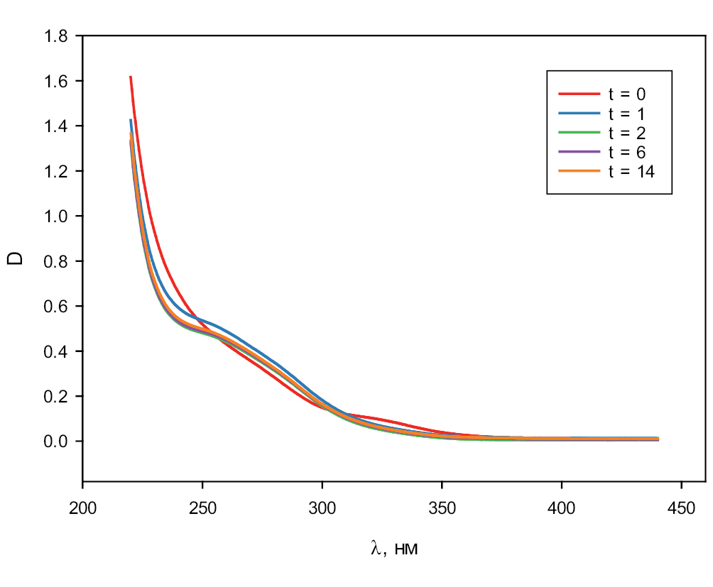
Контроль стабильности физико-химического состояния анионов в растворе вели с помощью записи спектров поглощения и определения оптической плотности исследуемых растворов в области поглощения анионов на спектрофотометре UV-1900i (Shimadzu). Было экспериментально отмечено, что длительная выдержка рабочих растворов в пластиковых контейнерах на свету приводила к слабому изменению спектров поглощения анионов Cr(VI), W(VI). На рис. 1 показан пример спектров поглощения раствора вольфрамата натрия измеренных при разном времени время экспозиции (t) в условиях естественного лабораторного освещения. Полосу поглощения при 300–325 нм относят к переносу заряда в цепочках W–O–W изополивольфрамат-иона(VI) и вместе с полосами при 220 и 264 нм отмечают в растворах как свидетельство образования декавольфрамат-аниона [34–36]. Низкая интенсивность этих полос поглощения при общей концентрации вольфрама в диапазоне 1–10 мкмоль/л говорит об отсутствии заметной доли изополивольфрамат-анионов в исследуемых рабочих растворах в диапазоне рН 6–11 [35–37]. Это согласуется с выводами работы [37] о том, что в водных растворах с концентрацией вольфрамата менее 30 мкмоль/л возможно присутствие только частиц состава HWO4 –, H2WO4, W4O14(OH)2 4–. Учитывая полученные данные и сведения о влиянии внешнего светового облучения растворов вольфраматов на его химическое состояние, мы провели сорбционные эксперименты в двух сериях – при лабораторном освещении (на свету) и без доступа видимого света (в темноте). В случае незначимых (менее 10% измеряемой величины) различий в спектрах поглощения данные двух серий результаты измерения аналитической концентрации металла аниона объединяли в общую статистическую выборку.
Рис. 1. Спектры поглощения раствора Na2WO4–HCl, полученные в процессе хранении раствора на свету в воздушно-сухой атмосфере при разном времени экспозиции t (сут). рН 6.02, начальная концентрация W(VI) 1.0 ммоль/л, NaCl – 0.01 моль/л, температура 23°C, спектры сняты относительно дистиллированной воды.
Для установления закона распределения в экспериментах с переменной концентрацией аниона в растворе в серию пластиковых герметичных контейнеров с пробкой вносили объем V = 60 мл исследуемого раствора, содержащего отдельно анионы Cr(VI), W(VI), Se(IV), Mo(VI) с различной концентрацией при начальном рН раствора 5.0. Затем в контейнеры вносили навески m = 50.0 мг сорбента. Полученные суспензии раствора с сорбента выдерживали на свету/в темноте в течение 21 сут. Затем контейнеры вскрывали, растворы фильтровали через бумажный фильтр, определяли рН раствора и массовую концентрацию элемента аниона методом ИСП–АЭС. По результатам экспериментов вычисляли равновесную концентрацию аниона в растворе (Caq, ммоль/л) и в сорбенте (Cs, ммоль/г), находили их отношение, соответствующее коэффициенту распределения Kd (мл/г) в условиях выполнения закона Генри (степень реализации сорбционной емкости близка к нулю):
. (1)
На рис. 2 приведены изотермы сорбции анионов в исследуемых растворах. В связи с сильным влиянием химической растворимости композитов в кислых средах мы ограничили диапазон изменения кислотности равновесными рН 6.5–7.5.
Рис. 2. Изотермы сорбции анионов композитом Al2O3||C, полученные при переменной концентрации аниона в растворе, уравнения (1), (2). Время экспозиции t = 21 сут. рН 6.5–9.05. 23°С. Посуда – стеклянные стаканы из темного стекла.
РЕЗУЛЬТАТЫ И ИХ ОБСУЖДЕНИЕ
Мы использовали уравнение изотермы Лэнгмюра для монофункционального сорбента в виде
, (2)
где B – параметр сорбционной специфичности (л/ммоль), связанный с сорбционной емкостью композита (Q, ммоль/г). Логарифмическая форма уравнения (2) позволяла оценить область концентрации отдельных анионов, отвечающих закону Генри (1) в условиях эксперимента. Как следует из данных рис. 2, эти условия выполняются, когда концентрация анионов в равновесном растворе менее 1–10 мкмоль/л, справедлива гипотеза о неизменной емкости сорбента в процессе эксперимента и можно вести речь о поверхностном комплексообразовании с участием оксида алюминия без учета его растворимости [38–40].
Влияние химического состава раствора на изменение равновесного состояния ионных и коллоидных частиц из анионов CrO4 2–, MoO4 2–, WO4 2–, SeO3 2– мы оценивали с помощью программы HSC Chemistry 8. Из рассчитанных диаграмм ионных равновесий (рис. 4) следует, что в области химической устойчивости аморфного оксида алюминия композита (pH > 5 [32]) основное участие в сорбции анионов и формировании общего коэффициента распределения (Kd) принимают частицы простого и протонированного анионов. Для W(VI) вклад в общий набор анионов вносят изополианионы состава HW10O21 5–, доминирующие в узком диапазоне рН 4.5–5.5. По другим данным, в выбранной области рН возможно присутствие частиц HWO4 –, H2WO4, W4O14(OH)2 4– [37].
Для моделирования сорбционных процессов мы использовали 2-рK модели поверхностного комплексообразования анионов. Это позволяло учесть весь состав сорбционных центров Al–O–, Al–HO0 и Al–OH2 + с участием молекул химически сорбированной воды [39–47] в предположении нерастворимого сорбента, неизменной структуры, степени заполнения и состава двойного электрического слоя поверхности композита. Изотермы сорбции аниона MOn 2– (CrO4 2–, MoO4 2–, WO4 2–, SeO3 2–) с переменным рН формировали, используя следующие гетерогенные равновесия с образованием внешнесферного комплекса аниона:
, (3)
, (4)
, (5)
,(6)
, (7)
(8)
(9)
Здесь в квадратных скобках указаны мольные концентрации химических компонентов в растворе и в композите (черта сверху), KH,OH – константы протонирования и протолиза функциональных групп композита, KM(1,2) – константы поверхностного комплексообразования анионов, G – сорбционная емкость композита по аниону, K1 – первая константа протонирования аниона в растворе электролита, Mtot – общая концентрация аниона в сорбционной системе, H+ – концентрация водородных ионов в растворе, символы MOn 2–, HMOn– означают состав анионов в растворе, n = 4 (Cr, Mo, W) или 3 (Se). Используя логарифмическую форму уравнения (9), мы оценили параметры модели сорбционного взаимодействия анионов с учетом реакции протонирования. Результаты оценки по методу наименьших квадратов приведены в табл. 1. Линии на рис. 3 у точек представляют собой регрессионные кривые, построенные по результатам моделирования.
Таблица 1. Параметры модели (9) сорбции анионов композитом Al2O3||C по механизму поверхностного комплексообразования. Абсолютная погрешность коэффициентов <45% логарифмической величины. SEE – стандартная погрешность определения, F – отношение дисперсий. lg(KH) = 6.9, log(KOH) = –9.7 [48, 49]
Анион | G,* ммоль/г | lgKM(1) [л/моль] | lgKM(2) [л/моль] | lgKH | lgKOH | F* | lgK1 [л/моль] | lgK1,T [л/моль] | SEE* |
CrO4 2– | 0.355 | 11.8 | 14.8 | 7.9 | –12.0 | 5 | 6.9 | 6.50 | 0.31 |
MoO4 2– | 0.099 | 12.3 | 16.9 | 7.3 | –13.8 | 40 | 4.5 | 3.70 | 0.13 |
WO4 2– | 0.077 | 11.5 | 14.5 | 6.0 | –9.5 | 93 | 0.8 | 4.60 | 0.24 |
SeO3 2– | 0.290 | 15.5 | 13.3 | 9.9 | –5.8 | 22 | 7.90 | 8.50 | 0.34 |
b[0] = 0.88 ± 1.10 | b[1] = 0.94 ± 0.20 | 1.28 | |||||||
Значком (*) отмечены абсолютные значения величин.
Рис. 3. Изотермы сорбции анионов композитом Al2O3||C, полученные на свету и в темноте при переменной концентрации ионов водорода в растворе. Время экспозиции t = 21 сут. 23°С. Посуда – пластиковые герметичные контейнеры.
Рис. 4. Результаты моделирования термодинамических равновесий в исследуемых растворов анионов (программа HSC Chemistry 8). Оси абсцисс – рН, ось ординат – lg(A), где А – равновесная концентрация простых кислородных анионов Cr(VI), Mo(VI), W(VI), Se(IV) в растворе, мкмоль/кг. Равновесные концентрация в сорбционных экспериментах составляли (мкмоль/л): Cr(VI) 0.1–10, Mo(VI) 10–60, W(VI) 0.1–10, Se(IV) 0.01–1.0. Температура 23C.
Подтверждением правильности выбранной модели можно считать совпадение найденных из эксперимента (Y) и термодинамических (X) величин первой константы протонирования аниона K1 по уравнениям (8), (9), рис. 5 и табл. 1.
Рис. 5. Сравнение найденных по уравнению (9) констант протонирования (8) кислородных анионов CrO4 2–, MoO4 2–, WO4 2–, SeO3 2– K1 с термодинамическими величинами первой константы протонирования аниона K1,T [51]. Темная линия – уравнение регрессии, пунктир – границы 90%-ного доверительного интервала.
Из данных табл. 1, 2 мы видим, что константы протонирования и протолиза функциональных групп композита с учетом статистической погрешности оценивания не одинаковы для сорбционных систем с разными по своей природе кислородными анионами. Как отмечено в работе [50], причиной этого может быть присутствие в сорбционной системе фонового электролита, конкурентная сорбция которого изменяет поверхностный потенциал сорбента. Вследствие этого адсорбция противоиона способна влиять на адсорбцию коионов, увеличивая адсорбцию за счет образования ионных пар [50]. При этом вычисленные средние значения констант протонирования и протолиза для анионов с литературными данными для кристаллической g-Al2O3 различаются в значительно меньшей степени (табл. 2).
Таблица 2. Сравнение кислотно-основных параметров модели (9) сорбции анионов композитом Al2O3||C по механизму поверхностного комплексообразования. SEE – стандартная погрешность определения
Оценка по (9) | Среднее | SEE | |
lg(KH) | 8.0 | 1.3 | 6.9 |
lg(KOH) | –10.7 | 3.9 | –9.7 |
Приведенные выше результаты позволяют заключить, что выбранное в экспериментах время экспозиции обеспечивает установление сорбционного равновесия в системе и модель (9) адекватна полученным экспериментальным данным. Влияние степени освещенности раствора на состояние ионов в первом приближении можно не учитывать. Результаты моделирования говорят о том, что механизм сорбционного взаимодействия анионов с сорбционными центрами композита осуществляется при участии протона в виде протонированного аниона (рис. 6). Это взаимодействие определяется соотношением кислотно-основных свойств центра и аниона (рис. 6, 7). На нейтральных центрах {–SOH0} константы поверхностного комплексообразования анионов возрастают по мере ослабления силы кислоты сорбируемого аниона и увеличения константы протонирования аниона K1 (рис. 6). На основных центрах {–SO–} наблюдается противоположная картина: наибольшее сродство к центру проявляют анионы с наименьшей константой протонирования аниона K1, т.е. анионы более сильных кислот: MoO4 2–, WO4 2–.
Рис. 6. Соотношение кислотно-основных свойств сорбционных центров (–SOH0), (–SO–) композита KM(1,2) и константы протонирования аниона K1.
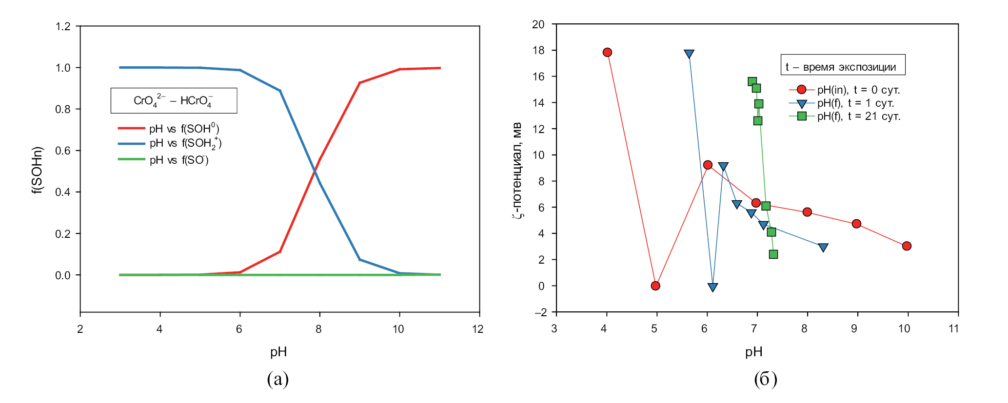
Рис. 7. а – Пример соотношения кислотно-основных центров (–SOHn) композита Al2O3||C в зависимости от рН по результатам моделирования сорбции анионов CrO4 2– с концентрацией 0.1–10 мкмоль/л, t = 21 сут. б – Зависимость ζ-потенциала суспензии композит Al2O3||C–раствор NaCl от рН при 23°С. pH(in) – начальный рН раствора, pH(f) – рН раствора к времени t.
Одним из показателей коллоидно-химической активности частиц композита, характеризующих его кислотно-основные свойства, служит величина поверхностного заряда частиц и ее изменение с рН. Поверхностный заряд для всех кристаллических форм оксида алюминия изменяется с рН единообразно [44, 46]: ниже рН изоэлектрической точки (α-Al2O3 8.4–9.4, g-Al2O3 7.8–9.7) наблюдается компенсация поверхностного заряда за счет адсорбции протонов, и эти процессы сопровождаются началом растворения поверхности оксида алюминия [30, 39, 40]. На рис. 7 приведены изотермы зависимости z-потенциала частиц композита от рН раствора электролита, полученные для различного времени экспозиции суспензии. Видно, что время контакта раствор–сорбент играет существенную роль как в величине электрокинетического потенциала, так и зависимости его от рН. Из данных рис. 7 следует, что процессы установления гетерогенных равновесий с участием поверхности композита завершаются на 21-е сутки, и z-потенциал приближается к нулю в области рН преобладания нейтральных сорбционных центров Al–OH0.
В целом полученные результаты показывают высокое сорбционное сродство композита ко всей группе исследуемых анионов. Наибольшее значение Kd обнаружено для анионов Se(IV) и W(VI) (рис. 2, 3). Область сорбции Генри для этих анионов находится при концентрациях менее 1 мкмоль/л. Особое поведение W(VI) проявляется в стремлении к образованию анионов изополикислот даже при предельно низких концентрациях. Это способствует увеличению коэффициента распределения W(VI) в области рН 5–6 (рис. 2), а также росту времени, необходимого для установления зарядового и сорбционного равновесия в системе. При сравнении величины Kd для сорбции W(VI) исследуемым композитом с данными для кристаллов g-Al2O3 [33] видно, что композит проявляет на порядок большее сорбционное сродство к анионам MOn 2– (CrO4 2–, MoO4 2–, WO4 2–, SeO3 2–). Таким образом, данный композит можно отнести к сорбентам коллективного действия, способным эффективно концентрировать из разбавленных растворов как катионы d-, f-элементов [13, 32], так и кислородные анионы d-элементов.
ФИНАНСИРОВАНИЕ РАБОТЫ
Работа выполнена по планам бюджетных тем 124020600007-8 и FUWF-2024-0012.
КОНФЛИКТ ИНТЕРЕСОВ
Авторы заявляют об отсутствии конфликта интересов.
About the authors
Е. V. Polyakov
Institute of Solid State Chemistry of the Ural Branch of the Russian Academy of Sciences
Author for correspondence.
Email: polyakov@ihim.uran.ru
Russian Federation, 620108, 91 Pervomayskaya st., Ekaterinburg
V. N. Krasilnikov
Institute of Solid State Chemistry of the Ural Branch of the Russian Academy of Sciences
Email: polyakov@ihim.uran.ru
Russian Federation, 620108, 91 Pervomayskaya st., Ekaterinburg
I. V. Volkov
Institute of Solid State Chemistry of the Ural Branch of the Russian Academy of Sciences
Email: polyakov@ihim.uran.ru
Russian Federation, 620108, 91 Pervomayskaya st., Ekaterinburg
A. A. Ioshin
Institute of Solid State Chemistry of the Ural Branch of the Russian Academy of Sciences
Email: polyakov@ihim.uran.ru
Russian Federation, 620108, 91 Pervomayskaya st., Ekaterinburg
References
- Москвин Л.Н., Гумеров М.Ф., Ефимов А.А., Красноперов В.М., Леорнтьев Г.Г., Мельников В.А. // Методы химического и радиохимического контроля в ядерной энергетике. Сб. статей / Под ред. Л.Н. Москвина. М.: Энергоатомиздат, 1989. С. 264.
- Marty N.C.M., Grangeon S., Elkaïm E., Tournassat Ch., Fauchet C., Claret F. // Sci. Rep. 2018. Vol. 8. P. 7943.
- Zhang H., Wang J., Wu W., Luo M., Hua R., Zhou Zh., Ling H. // J. Radioanal. Nucl. Chem. 2024. Vol. 333. P. 2273.
- Tárkányi F., Hermanne A., Ignatyuk A.V., Ditrói F., Takács S., Capote Noy R. // J. Radioanal. Nucl. Chem. 2024. Vol. 333. P. 717.
- Koutsospyros A., Braida W., Christodoulatos C., Dermatas D., Strigul N. // J. Hazard. Mater. 2006. Vol. 136. P. 1.
- Вольхин В.В., Егоров Ю.В., Белинская Ф.А., Бойчинова Е.С., Малофеев Г.Н. // Неорганические сорбенты: Сб. статей / Под ред. М.М. Сенявина. М.: Наука, 1981. 271 с.
- Зелинский Н.Д., Садиков В.С. Уголь, как средство борьбы с удушающими и ядовитыми газами: Экспериментальное исследование 1915–1916 гг. М.: АН СССР, 1941. 131 с.
- Wei X., Huang T., Yang J.H., Zhang N., Wang Y., Zhou Z.W. // J. Hazard. Mater. 2017. Vol. 335. P. 28.
- Erto A., Giraldo L., Lancia A., Moreno-Pirajan J.C. // Water Air Soil Pollut. 2013. Vol. 224. P. 1531.
- Abdel Salam O.E., Reiad N.A., ElShafei M.M. // J. Adv. Res. 2011. Vol. 2. P. 297.
- Salam M.A. // Int. J. Environ. Sci. Technol. 2013. Vol. 10. P. 677–688.
- Yamaguchi D., Furukawa K., Takasuga M., Watanabe K. // Sci. Rep. 2014. Vol. 4. P. 6053.
- Krasil’nikov V.N., Linnikov O.D., Gyrdasova О.I., Rodina I.V., Tyutyunnik А.P., Baklanova I.V., Polyakov E.V., Khlebnikov N.А., Tarakina N.V. // Solid State Sci. 2020. Vol. 108. ID 106429.
- Elgazzar A.H., Mahmoud M.S.A., El Sayed A.A., Saad E.A. // J. Radioanal. Nucl. Chem. 2020. Vol. 326. P. 1733–1748.
- Benjamin M.M., Bloom N.S. // Adsorption from Aqueous Solutions / Ed. P.H. Tewari. New York: Plenum, 1981. P. 41.
- Bhutani M.M., Mitra A.K., Kumari R. // Microchim. Acta. 1992. Vol. 107. P. 19.
- Yu T., Liu B., Liu J. // J. Anal. Test. 2017. Vol. 1. P. 2.
- Hou Z., Shi K., Wang X., Ye Y., Guo Zh., Wangsuo W. // J. Radioanal. Nucl. Chem. 2015. Vol. 303. P. 25.
- Fan Q., Li P., Pan D. // Interface Sci. Technol. 2020. Vol. 29. P. 1.
- Kumar E., Bhatnagar A., Hogland W., Marques M., Sillanpää M. // Chem. Eng. J. 2014. Vol. 241. P. 443.
- Кулемин В.В., Красавина Е.П., Горбачева М.П., Румер И.А., Бессонов А.А., Крапухин В.Б., Кулюхин С.А. // Радиохимия. 2021. Т. 63. № 5. С. 484.
- Islam M.A., Morton D.W., Johnson B.B., Pramanik B.K., Mainali B., Angove M.J. // J. Environ. Chem. Eng. 2018. Vol. 6. P. 6853.
- Poursani A.S., Nilchi A., Hassani A.H., Shariat M., Nouri J. // Int. J. Environ. Sci. Technol. 2015. Vol. 12. P. 2003.
- Tabesh S., Davar F., Loghman-Estarki M.R. // J. Alloys Compd. 2018. Vol. 730. P. 441.
- Yu J., Bai H., Wang J., Li Z., Jiao C., Liu Q., Zhanga M., Liu L. // New J. Chem. 2013. Vol. 37. P. 366.
- Huang S., Pang H., Li L., Jiang S., Wen T., Zhuang L., Hu B., Wang X. // Chem. Eng. J. 2018. Vol. 353. P. 157.
- Yang W., Tang Q., Wei J., Ran Y., Chai L., Wang H. // Appl. Surf. Sci. 2016. Vol. 396. P. 215.
- Chen H., Luo J., Wang X., Liang X., Zhao Y., Yang C., Baikenov M.I., Su X. // Micropor. Mesopor. Mater. 2018. Vol. 255. P. 69.
- Yao W., Wang X., Liang Y., Yu S., Gu P., Sun Y., Xu C., Chen J., Hayat T., Alsaedi A., Wang X. // Chem. Eng. 2018. Vol. 332. P. 775–786.
- Krasil’nikov V.N., Baklanova I.V., Polyakov E.V., Volkov I.V., Khlebnikov A.N., Tyutyunnik A.P., Tarakina N.V. // Inorg. Chem. Commun. 2022. Vol. 138. ID 109313.
- Поляков Е.В., Красильников В.Н., Волков И.В. Патент RU 2774876 C1, приоритет от 12.08.2021. Опубл. 23.06.2022 // Б.И. 2022. № 18.
- Поляков Е.В., Волков И.В., Красильников В.Н., Иошин А.А. // Радиохимия. 2023. Т. 65. № 1. С. 70.
- Khalid M., Mushtaq A., Iqbal M.Z. // Sep. Sci. Technol. 2001. Vol. 36. N 2. P. 283.
- Kantcheva M., Koz C. // J. Mater. Sci. 2007. Vol. 42. P. 6074.
- Chemseddine A., Sanchez C., Livage J., Launay J.P., Fournieric M. // Inorg. Chem. 1984. Vol. 23. N 17. P. 2609.
- Пойманова Е.Ю., Розанцев Г.М., Белоусова Е.Е., Чунтук Е.С. // Вісн. Донецьк. нац. унів. Сер. А: Природн. науки. 2014. Т. 2. С. 126.
- Загальская Е.Ю., Розанцев Г.М., Радио С.В. // Наук. праці ДонНТУ. Сер.: Хімія і хім. технологія. 2010. Т. 14. С. 40.
- Goldberg S. // Soil Sci. 2010. Vol. 175. № 3. P. 105.
- Davis J.A., James R.O., Leckie J.O. // J. Colloid Interface Sci. 1978. Vol. 63. № 3. P. 480.
- Davis J.A., Leckie J.O. // J. Colloid Interface Sci. 1978. Vol. 67. N 1. P. 90.
- Zhang L., Li Y., Guo H., Zhang H., Zhang N., Hayat T., Sun Y. // Environ. Pollut. 2019. Vol. 248. P. 332.
- Bolt G.H., De Beodt M.F., Hayes M.H.B., McBride M.B. Interactions at the Soil Colloid–Soil Solution Interface. Ghent: Springer Science + Business Media, 1991. 602 p.
- Marmier N., Dumonceau J., Fromage F. // J. Contam. Hydrol. 1997. Vol. 26. P. 159–167.
- Huang Sh., Pang H., Li L., Jiang Sh., Wang X. // Chem. Eng. J. 2018. Vol. 3531. P. 157.
- Tan X., Ren X., Li J., Wang X. // Surfaces. RSC Adv. 2013. Vol. 3. P. 19551.
- Kasprzyk-Hordern B. // Adv. Colloid Interface Sci. 2004. Vol. 110. P. 19.
- Yiacoumi S., Tien Ch. Kinetics of Metal Ion Adsorption from Aqueous Solutions. Models, Algorithms, and Applications. New York: Springer Science + Business Media, 1995. 221 p.
- Missana T., Garcıa-Gutierrez M. // Phys. Chem. Earth. 2007. Vol. 32. P. 559.
- Mayordomo N., Alonso U., Missana T. // Appl. Geochem. 2019. Vol. 100. P. 121.
- Tewari P.H. Proc. Symp. on Adsorption from Aqueous Solutions. Meet. of the Am. Chem. Soc., Division of Colloid and Surface Chemistry (Houston, Texas). New York: Plenum, 1980. 248 p.
- Kotrly S., Sucha L. Handbook of Chemical Equilibria in Analytical Chemistry. Chichester: Horwood, 1985. 252 p.
Supplementary files









