“2+1B” Technetium-99m Tricarbonyl Complexes with N,N'-Bidentate Ligands and Methyl 14-Isocyano-3-Methyltetradecanoate
- Authors: Miroslavov A.E.1,2,3, Kuz’menko P.M.2, Tyupina M.Y.1,3, Sakhonenkova A.P.1,3, Sidorenko G.V.1,3, Kochergina A.R.1,3, Krotov S.A.1
-
Affiliations:
- Khlopin Radium Institute
- St. Petersburg State University
- Ozyorsk Institute of Technology, Branch of National Research Nuclear University MEPhI
- Issue: Vol 66, No 5 (2024)
- Pages: 438-446
- Section: Articles
- URL: https://ogarev-online.ru/0033-8311/article/view/287548
- DOI: https://doi.org/10.31857/S0033831124050039
- ID: 287548
Cite item
Full Text
Abstract
A novel procedure was developed for preparing methyl 14-isocyano-3-methyltetradecanoate. It consists of 12 steps. “2+1B” tricarbonyl complexes [99mTc(CO)3(N^N)CN(CH2)11CH(CH3) CH2COOMe]+, where N^N = 2,2’-bipyridine (bipy) or 1,10-phenanthroline (phen), were prepared by the reaction of [99mTc(CO)3(N^N)(H2O,EtOH)]+ with methyl 14-isocyano-3-methyltetradecanoate in aqueous ethanol. The formation of technetium-99m complexes was confirmed by HPLC, and the partition coefficient (n-octanol/water) of these complexes was measured.
Full Text
ВВЕДЕНИЕ
Радиофармпрепараты на основе жирных кислот используются для визуализации процессов метаболизма в миокарде [1] за счет их окисления и транспортировки метаболитов в ионизированной форме через клеточную мембрану. Локальные изменения при окислении жирных кислот в миокарде могут указывать на ишемическую болезнь сердца и кардиомиопатию уже на ранних стадиях. В настоящее время в клинической практике используются препараты жирных кислот, меченные только иодом-123 (T1/2 = 13.22 ч) с γ-излучением с энергией 159.0 кэВ (83.3%). В работах с соединениями, меченными иодом-123, используют чаще всего 15-(п-[123I]иодфенил)пентадекановую кислоту (IPPA) и ее β-метилпроизводные (BMIPP и DMIPP) [2]. Установлен ряд катаболитов [123I]IPPA: 3-(4'-иодфенил)пропановая кислота, 5-(4'-иодфенил)-3-гидроксипентановая кислота, 4-иодбензойная кислота. Кроме того, один из метаболитов был обнаружен исключительно во фракции сложных эфиров липидов (гидролизованных липидов сердца) и был идентифицирован как 11-(4'-иодфенил)ундекановая кислота [3]. Поскольку иод-123 – довольно дорогостоящий изотоп, нарабатываемый с помощью циклотронных технологий, его замена на более дешевый технеций-99m является актуальной задачей. Одним из наиболее широко используемых координационных ядер для связывания данного радионуклида с биомолекулами, включая жирные кислоты, является трикарбонильное ядро [4–13]. В качестве прекурсора при этом чаще всего выступает трикарбонилтриаквакомплекс [99mTc(CO)3(H2O)3]+. В настоящей работе мы также использовали данный комплекс в качестве исходного. Для введения технециевой метки в молекулу жирной кислоты мы применили так называемый «2+1Б»-подход, в рамках которого координационная сфера трикарбонильного фрагмента заполняется вначале бидентатным лигандом («2»), а затем монодентатным лигандом, соединенным с молекулой жирной кислоты («1Б»). В качестве бидентатных лигандов, как и в предыдущих наших работах [14–16], мы исследовали гетероциклические амины (1,10-фенатролин и 2,2'-бипиридин), а в качестве монодентатного лиганда – метиловый эфир 14-изоциано-3-метилтетрадекановой кислоты, координирующийся через концевую изоцианидную группу. Выбор данного лиганда обусловлен тем фактом, что для исследования миокарда методом ОФЭКТ более эффективными могут оказаться жирные кислоты, разветвленные в β-положении. В частности, используемый в клинической практике препарат с иодом-123 [2] содержит метильный заместитель в β-положении, замедляющий процесс окисления в тканях миокарда и позволяющий получать устойчивое ОФЭКТ изображение миокарда в течение продолжительного времени. Следует отметить, что введение заместителя в β-положение жирной кислоты – это сложный, многостадийный и дорогостоящий органический синтез. Цель данной работы – разработать процедуру синтеза метилового эфира 14-изоциано-3-метилтетрадекановой кислоты, изучить возможность введения метки 99mTc в ее молекулу и определить липофильность полученных «2+1Б» трикарбонильных комплексов технеция-99m.
ЭКСПЕРИМЕНТАЛЬНАЯ ЧАСТЬ
Для синтеза «2+1Б» трикарбонильных комплексов использовали химические чистые реагенты (Fluka и Sigma–Aldrich).
В работе использовали элюат экстракционного генератора Na99mTcO4 с активностью ≈2 ГБк/мл (для медицинского применения, выпускаемого в Радиевом институте им. В.Г. Хлопина, рН 6.5, радиохимическая чистота ≥99.0%, содержание метилэтилкетона <0.5 мг/мл). Поскольку традиционный метод синтеза трикарбонилтриаквакомплекса путем восстановления пертехнетат-иона борогидридом натрия в присутствии СО или боранокарбонатом натрия [17, 18] оказался недостаточно эффективен в случае элюата экстракционного генератора, мы в данной работе применяли оригинальную процедуру, заключающуюся в первоначальном синтезе пентакарбонилиодида технеция-99m.
[99mTcI(CO)5] получали по ранее описанной процедуре [19] путем карбонилирования моноксидом углерода (начальное давление 100 атм, до 150 атм при 170°С) при 170°С реакционной смеси, состоящей из элюата экстракционного генератора (3 мл), KI (140 мг) и серной кислоты (200 мкл). ВЭЖ-хроматограмма [99mTcI(CO)5] (Rt = 17.84 мин при р = 152.3 бар) представлена на рис. 1, радиохимическая чистота (РХЧ) 100%.
Рис. 1. ВЭЖ-хроматограмма [99mTcI(CO)5].
[99mTc(CO)3(H2O)3]+ получали нагреванием водного раствора [99mTcI(CO)5] по ранее разработанной нами процедуре [14]. Полученный трикарбонильный комплекс содержал небольшое количество пертехнетата и использовался в дальнейшем без дополнительной очистки. Радиохимическая чистота продукта составила 91% (рис. 2).
Рис. 2. Хроматограмма [99mTc(CO)3(H2O)3]+ (Rt = 5.38 мин при р = 130.5 бар).
Хроматографический анализ проводили на хроматографе 940 Professional IC Vario ONE/LPG (фирма Metrohm AG, Швейцария), UV/Vis детектор – 947 Professional UV/VIS Detector Vario (фирма Metrohm AG, Швейцария), γ-детектор – HERM LB500 (фирма Berthold Technologies GmbH & Co. KG, Германия). Колонка: Atlantis dC18 5 μm, 150 × 4.6 mm. Петля: 20 мкл. Программное обеспечение: MagIC Net 3.3.
Градиентная система: 0.1 М трифторуксусная кислота–ацетонитрил, 35 мин, Т = 25°С, Рmах = 130–160 бар, расход 1 мл/мин. Состав градиентной системы CH3CN (А)–0.1 М водная CF3COOH (В): 0–5 мин – 100% В, 5–6 мин – 0→25% А, 6–9 мин – 25→34% А, 9–10 мин – 34→40% А, 10–11.6 мин – 40→50% А, 11.6–15 мин – 50→70% А, 15–17 мин – 70→82% А, 17–19 мин – 82→94% А, 19–20 мин – 94→100% А, 20–25 мин – 100% А, 25–26 мин – 100% А→100% В, 26–35 мин – 100% В.
Определение липофильности «2+1Б» трикарбонильных комплексов технеция-99m
Липофильность комплексов определяли по стандартной процедуре [20–22]. Водно-спиртовой раствор технециевых комплексов (1 мл) (соотношение объемов воды и этанола 2 : 1) перемешивали при температуре 20–22°С в течение 10 мин (легкое перемешивание в режиме маятника) с 1 мл 1-октанола в узкой пробирке. Разделение фаз проводили центрифугированием при 4000 об/мин с последующей декантацией. Объем отбираемых для измерений органических и водных фаз составлял 0.2 мл. Измерения активности фаз проводили в пенициллиновых флаконах на приборе Curiementor 3 (Германия, погрешность 3%). Эффективную липофильность определяли как логарифм коэффициента распределения препарата между октанольной и водной фазами:
lgP = lg(Aoctanol/Awater).
Синтез метилового эфира 14-изоциано-3-метилтетрадекановой кислоты
Процедура синтеза данного лиганда была разработана нами и представлена на схеме 1. Превращение амина в изонитрил проводили непосредственно перед проведением синтеза из-за ограниченной устойчивости изонитрила при хранении.
Схема 1. Процедура синтеза метилового эфира 14-изоциано-3-метилтетрадекановой кислоты.
Оксациклотридекан-2-он (2). К раствору циклододеканона (1) в хлороформе (1 г на 10 мл) прибавляли м-хлорпербензойную кислоту (70%) в количестве 1.5 и 0.4 экв трифторуксусной кислоты. Реакционную смесь перемешивали при комнатной температуре, контролируя реакцию с помощью спектроскопии ЯМР. По завершении реакции смесь фильтровали для отделения выпавшего осадка м-хлорбензойной кислоты, промывали 10%-ным водным раствором Na2CO3 + Na2SO3. Хлороформный слой отделяли, сушили над безводным Na2SO4 и упаривали. Получившийся продукт, содержащий примеси, использовали в следующей стадии без очистки. Выход ~80%.
3-Метилоксациклотридекан-2-он (3). К раствору диизопропиламина (1.25 экв) в тетрагидрофуране в атмосфере аргона при температуре –78°C прибавляли коммерчески доступный раствор н-бутиллития (1.2 экв BuLi). После перемешивания через 20 мин к раствору образовавшегося диизопропиламида лития добавляли по каплям раствор лактона (1 экв) в ТГФ, поддерживая температуру на уровне –78°C, после чего реакционную смесь перемешивали 3 ч и начинали быстро прибавлять по каплям иодистый метил (1.5 экв) (температура не должна превышать –10°C). Реакционную смесь перемешивали 1 ч. Затем к реакционной смеси прибавляли раствор NH4Clконц и далее хлороформ, отделяли органическую фазу, промывали ее раствором NaCl и лимонной кислоты, сушили над безводным Na2SO4 и упаривали в вакууме. Получившийся продукт очищали с помощью колоночной хроматографии на SiO2 в системе гексан–этилацетат 85 : 15. Выход продукта 65%.
Гидроксикислота (4). К раствору гидроксида калия (1.4 экв) в смеси метанол–вода (1 : 2) добавляли лактон 3. Гетерогенную смесь перемешивали при температуре 50°C в течение 12 ч. После этого реакционную смесь упаривали в вакууме на роторном испарителе и подкисляли 10%-ной H2SO4, получившийся продукт экстрагировали хлороформом (двумя равными порциями) и сушили над Na2SO4, а затем упаривали в вакууме. Выход продукта более 95%.
Хлорангидрид 12-хлор-2-метилдодекановой кислоты (5). Гидроксикислоту 4 растворяли в хлористом тиониле (15 экв) и перемешивали при комнатной температуре 2 ч. Затем кипятили с обратным холодильником 7 ч, после чего хлористый тионил упаривали в вакууме. Остаток растворяли в сухом толуоле и упаривали в вакууме досуха, затем сушили в вакууме при температуре 40°C. Выход продукта 95%.
Метиловый эфир 13-хлоро-3-метилтридекановой кислоты (7). Предварительно получали N-нитрозо-N-метилмочевину [23] и затем из нее получали диазометан [24]. Получали диазосоединение 6 по реакции Арндта–Эйстерта. К эфирному раствору диазометана (3–3.5 экв) при 0°C добавляли эфирный раствор хлорангидрида (1 : 3). Затем реакционную смесь перемешивали 2 ч при 0°C, убирали охлаждающую баню и мешали еще 1.5 ч. Далее реакционную смесь упаривали на 4/5 объема в вакууме. Следующая подстадия – перегруппировка Вольфа. Реакционную смесь прибавляли по каплям к нагретой до кипения суспензии Ag2O (~0.2 экв) в сухом метаноле (25 мл) с добавкой триэтиламина. После окончания прибавления выключали нагрев и смесь перемешивали еще 1 ч, фильтровали и упаривали в вакууме. Производили в несколько этапов очистку: сначала методом колоночной хроматографии, затем путем растворения в сухом метаноле (1 : 15) и SOCl2 (2 экв), перемешивания в течение 24 ч при комнатной температуре и упаривания в вакууме.
Метиловый эфир 13-иод-3-метилтридекановой кислоты (8). 1 экв метилового эфира 13-хлоро-3-метилтридекановой кислоты, 6 экв безводного прокаленного NaI растворяли в ацетоне (~1 : 4 по массе) и кипятили 48 ч с обратным холодильником в атмосфере аргона при перемешивании. После этого ацетон отгоняли на роторном испарителе, добавляли воду, органику экстрагировали гексаном 2 раза, гексан сушили над безводным Na2SO4, затем упаривали. Выход продукта 90%.
Метиловый эфир 13-циано-3-метилтридекановой кислоты (9). К KCN (2.5 экв) в сухом ДМСО (1 : 10 по массе) прибавляли 1 экв метилового эфира 13-иод-3-метилтридекановой кислоты 8. Реакционную смесь перемешивали в атмосфере аргона при температуре 50°C, контролируя степень превращения, до завершения. После этого реакционную смесь выливали в четырехкратный объем воды, органику экстрагировали гексаном. Органическую фазу промывали 8 раз небольшими порциями (~3–5 мл) воды для полного удаления ДМСО, сушили безводным Na2SO4 и упаривали в вакууме. Выход продукта 80%.
Метиловый эфир 14-boc-амино-3-метилтетрадекановой кислоты (10). Восстановление нитрила в амин с одновременной защитой аминогруппы трет-бутоксикарбонилом (boc-) проводили по оригинальной методике [25]. Полученный boc-аминоэфир очищали методом колоночной хроматографии. Выход ~70%.
Гидрохлорид метилового эфира 14-амино-3-метилтетрадекановой кислоты (11). Метиловый эфир 14-boc-амино-3-метилтетрадекановой кислоты растворяли в безводном диоксане, содержащем ~10% HCl (3 экв). Реакционную смесь перемешивали в инертной атмосфере с хлоркальциевой трубкой в течение 1 ч при 60°C, затем все летучие компоненты упаривали на роторном испарителе. Для удаления остатков диоксана и хлороводорода остаток растворяли в метаноле, затем упаривали досуха в вакууме и сушили при 60°C. Выход на этой стадии >95%. Данную форму использовали для хранения. Ее спектр ЯМР представлен на рис. 3.
Рис. 3. ЯМР спектр HCl·H2N(CH2)11CH(CH3) CH2COOMe.
Метиловый эфир 14-формиламино-3-метилтетрадекановой кислоты (12). К гидрохлориду метилового эфира 14-амино-3-метилтетрадекановой кислоты (300 мг) добавляли метанол, этилформиат (1 : 15 по массе) и триэтиламин (1 : 0.5 по массе) и кипятили в течение 36 ч. Продукт отфильтровывали, растворяли в хлороформе и отгоняли растворитель на роторном испарителе.
Метиловый эфир 14-изоциано-3-метилтетрадекановой кислоты (13). Метиловый эфир 14-формиламино-3-метилтетрадекановой кислоты растворяли в 5 мл безводного пиридина и прибавляли тозилхлорид (толуол-4-сульфонилхлорид) (25%-ный избыток). Смесь перемешивали 1.5 ч при 0°С и экстрагировали диэтиловым эфиром. Полученный раствор в эфире промывали водным раствором NaCl и отгоняли растворитель на роторном испарителе. Продукт дополнительно очищали методом флэш-хроматографии. Наполнитель колонки силикагель, элюент – смесь диэтилового эфира и гексана (2 : 5). ИК (CaF2, гексан : диэтиловый эфир, 5 : 2 v/v, cм–1): 2144.7 (C≡N).
Синтез 2+1 трикарбонильных комплексов технеция-99m с метиловым эфиром 14-изоциано-3-метилтетрадекановой киcлоты
[99mTc(CO)3(bipy)(CN(CH2)11CH(CH3) CH2COOMe)]+ (13а). К водному раствору (2 мл) [99mTc(CO)3(H2O)3]+ в пенициллиновом флаконе добавляли 0.002 М раствор bipy в этаноле (1 мл). Флакон закрывали резиновой пробкой, проткнутой медицинской иглой, и нагревали на водяной бане при 80°С в течение 30 мин. В результате получена смесь из двух продуктов: [99mTc(CO)3(bipy)Cl]+ (Rt = 14.86 мин) и [99mTc(CO)3(bipy)(H2O, EtOH)]+ (Rt = 15.62 мин) в соотношении 6 : 1. Флакон охлаждали водой и добавляли 0.002 М раствор метилового эфира 14-изоциано-3-метилтетрадекановой кислоты в этаноле (1 мл). Ранее [26] мы показали, что реакция переэтерификации в данных системах идет очень медленно и ее вкладом в синтез препарата можно пренебречь. После добавления раствора эфира жирной кислоты реакционная смесь мутнела. Флакон закрывали резиновой пробкой и нагревали на водяной бане при 80°С в течение 30 мин, и реакционная смесь становилась прозрачной. После охлаждения реакционной смеси до комнатной температуры проводили ВЭЖХ анализ полученных продуктов. Rt = 20.05 мин (при р = 156.5 бар).
[99mTc(CO)3(phen)(CN(CH2)11CH(CH3) CH2COOMe)]+ (13б). К водному раствору (2 мл) [99mTc(CO)3(H2O)3]+ в пенициллиновом флаконе добавляли 0.002 М раствор phen в этаноле (1 мл). Флакон закрывали резиновой пробкой, проткнутой медицинской иглой, и нагревали на водяной бане при 80°С в течение 30 мин. В результате получена смесь из двух продуктов: [99mTc(CO)3(phen)Cl]+ (Rt = 15.65 мин) и [99mTc(CO)3(phen)(H2O, EtOH)]+ (Rt = 16.23 мин) в соотношении 3 : 2. Флакон охлаждали водой и добавляли 0.002 М раствор метилового эфира 14-изоциано-3-метилтетрадекановой кислоты в этаноле (1 мл). После добавления раствора эфира жирной кислоты реакционная смесь мутнела. Флакон закрывали резиновой пробкой и нагревали на водяной бане при 80°С в течение 30 мин, реакционная смесь становилась прозрачной. После охлаждения реакционной смеси до комнатной температуры проводили ВЭЖХ анализ полученных продуктов. Rt = 19.95 мин (при р = 161.3 бар).
РЕЗУЛЬТАТЫ И ИХ ОБСУЖДЕНИЕ
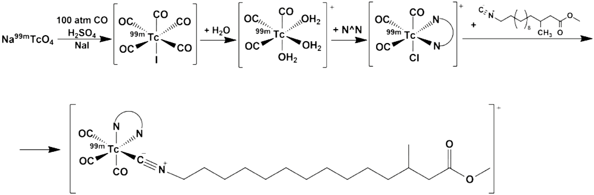
В данной работе для создания новых кардиотропных препаратов мы изучили возможность использования метилового эфира 14-изоциано-3-метилтетрадекановой кислоты. Выбор данного лиганда обусловлен тем, что он содержит метильный заместитель в β-положении, замедляющий окисление в тканях миокарда. Процедура синтеза данного соединения, разработанная нами, очень сложна и включает 12 стадий (схема 1). Как и в предыдущих наших работах [14, 27], для введения технециевой метки мы использовали так называемый «2+1Б»-подход. В качестве бидентатных лигандов были взяты гетероциклические амины (2,2'-бипиридин и 1,10-фенантролин), а в качестве монодентатного лиганда – изоцианидная группа жирной кислоты.
Путем последовательного замещения водных лигандов в комплексе [99mTc(CO)3(H2O)3]+ на бидентатный амин и метиловый эфир 14-изоциано-3-метилтетрадекановой кислоты нами были синтезированы комплексы [99mTc(CO)3(N^N)(CN(CH2)11CH(CH3) COOMe)]+, где N^N = bipy или phen (схема 2).
Схема 2. Процедура синтеза [99mTc(CO)3(N^N)(CN(CH2)11CH(CH3) COOMe)]+, где N^N = bipy (13а) или phen (13б).
Общее время синтеза комплексов 13а и 13б, начиная от времени загрузки раствора Na99mTcO4 в автоклав, составляет около 3 ч и вполне приемлемо для клинического применения. Хроматограммы полученных комплексов 13а и 13б представлены на рис. 4 и 5 соответственно.
Рис. 4. ВЭЖ-хроматограмма реакционной смеси синтеза [99mTc(CO)3(bipy)(CN(CH2)11CH(CH3) COOMe)]+.
Рис. 5. ВЭЖ хроматограмма реакционной смеси синтеза [99mTc(CO)3(phen)(CN(CH2)11CH(CH3) COOMe)]+.
Радиохимическая чистота бипиридильного и фенантролинового комплексов, определенная из ВЭЖ-хроматограмм как отношение площади пика целевого продукта к суммарной площади наблюдаемых пиков, составляет 94.6 и 82.5% соответственно.
Важным параметром, определяющим накопление технециевых препаратов в тканях миокарда, является липофильность. Результаты определения липофильности комплексов 13а и 13б представлены в табл. 1.
Таблица 1. Результаты измерения липофильности комплексов [99mTc(CO)3(N^N)(CN(CH2)11CH(CH3) COOMe)]+*
Комплекс | Водная фаза, МБк | Органическая фаза, МБк | Р | lgP |
[99mTc(CO)3(bipy)(CN(CH2)11CH(CH3) COOMe)]+ | 0.115 ± 0.001 | 0.129 ± 0.001 | 18.51 | 1.27 ± 0.04 |
[99mTc(CO)3(phen)(CN(CH2)11CH(CH3) COOMe)]+ | 0.064 ± 0.001 | 0.612 ± 0.003 | 40.81 | 1.61 ± 0.05 |
* Усредненные данные и среднеквадратичное отклонение для трех параллельных измерений каждой из проб.
Полученные значения липофильности комплексов 13а и 13б несколько выше, чем для трикарбонильных комплексов технеция-99m с изоцианидом 4-нитроимидазола, у которых одно из самых высоких значений lgP: 1.22 ± 0.03 [28], что свидетельствует о их гидрофобности. Следует отметить, что аналогичный коэффициент для метилового эфира тетрадекановой кислоты составляет 6.41 ± 0.77 [29], а для иодсодержащего 4-[123I]-N-{2-[4-(6-трифторметил-2-пиридинил)-1-пиперазинил]этил}бензамида lgP = 4.28 [30]. Исследование биораспределения комплексов 13а и 13б планируется в дальнейшем.
ЗАКЛЮЧЕНИЕ
Таким образом, нами разработана оригинальная процедура синтеза метилового эфира 14-изоциано-3-метилтетрадекановой кислоты. Впервые синтезированы «2+1Б» трикарбонильные комплексы вида [99mTc(CO)3(N^N)CN(CH2)11CH(CH3) CH2COOMe]+, где N^N = 2,2'-бипиридин (bipy) или 1,10-фенантролин (phen), они получены по реакции [99mTc(CO)3(N^N)(H2O,EtOH)]+ с метиловым эфиром 14-изоциано-3-метилтетрадекановой кислоты в водном этаноле. Радиохимическая чистота бипиридинового и фенантролинового комплексов составила 94.6 и 82.5% соответственно. Значения липофильности этих комплексов составили 1.27 ± 0.04 и 1.61 ± 0.05 соответственно.
ФИНАНСИРОВАНИЕ РАБОТЫ
Исследование выполнено при финансовой поддержке Российского научного фонда, проект 22-13-00057.
КОНФЛИКТ ИНТЕРЕСОВ
Авторы заявляют об отсутствии конфликта интересов в связи с публикацией данной статьи.
ДОПОЛНИТЕЛЬНЫЕ МАТЕРИАЛЫ К СТАТЬЕ
К статье имеются следующие электронные дополнительные материалы: спектры ЯМР промежуточных продуктов синтеза, таблица с детальными результатами обсчета хроматограмм технециевых комплексов. Дополнительные материалы размещены в электронном виде по ссылке: https://doi.org/10.31857/S0033831124050039
About the authors
A. E. Miroslavov
Khlopin Radium Institute; St. Petersburg State University; Ozyorsk Institute of Technology, Branch of National Research Nuclear University MEPhI
Email: gevasid@mail.ru
Russian Federation, 2-i Murinskii pr. 28, St. Petersburg, 194021; Universitetskaya nab. 7/9, St. Petersburg, 199034; pr. Pobedy 48, Ozyorsk, Chelyabinsk oblast, 456783
P. M. Kuz’menko
St. Petersburg State University
Email: gevasid@mail.ru
Russian Federation, Universitetskaya nab. 7/9, St. Petersburg, 199034
M. Yu. Tyupina
Khlopin Radium Institute; Ozyorsk Institute of Technology, Branch of National Research Nuclear University MEPhI
Email: gevasid@mail.ru
Russian Federation, 2-i Murinskii pr. 28, St. Petersburg, 194021; pr. Pobedy 48, Ozyorsk, Chelyabinsk oblast, 456783
A. P. Sakhonenkova
Khlopin Radium Institute; Ozyorsk Institute of Technology, Branch of National Research Nuclear University MEPhI
Email: gevasid@mail.ru
Russian Federation, 2-i Murinskii pr. 28, St. Petersburg, 194021; pr. Pobedy 48, Ozyorsk, Chelyabinsk oblast, 456783
G. V. Sidorenko
Khlopin Radium Institute; Ozyorsk Institute of Technology, Branch of National Research Nuclear University MEPhI
Author for correspondence.
Email: gevasid@mail.ru
Russian Federation, 2-i Murinskii pr. 28, St. Petersburg, 194021; pr. Pobedy 48, Ozyorsk, Chelyabinsk oblast, 456783
A. R. Kochergina
Khlopin Radium Institute; Ozyorsk Institute of Technology, Branch of National Research Nuclear University MEPhI; Ozyorsk Institute of Technology, Branch of National Research Nuclear University MEPhI
Email: gevasid@mail.ru
Russian Federation, 2-i Murinskii pr. 28, St. Petersburg, 194021; pr. Pobedy 48, Ozyorsk, Chelyabinsk oblast, 456783; pr. Pobedy 48, Ozyorsk, Chelyabinsk oblast, 456783
S. A. Krotov
Khlopin Radium Institute
Email: gevasid@mail.ru
Russian Federation, 2-i Murinskii pr. 28, St. Petersburg, 194021
References
- Богородская М.А., Кодина Г.Е. Химическая технология радиофармацевтических препаратов. М.: ФМБЦ им. А.И. Бурназяна ФМБА России, РХТУ им. Д.И. Менделеева, 2010.
- Morishita S., Kusuoka H., Yamamichi Y., Suzuki N., Kurami M., Nishimura T. // Eur. J. Nucl. Med. 1996. Vol. 23. P. 383–389. https://doi.org/10.1007/BF01247365
- Eisenhut M., Lehmann W.D., Sütterle A. // Nucl. Med. Biol. 1993. Vol. 20. P. 747–754. https://doi.org/10.1016/0969-8051(93)90161-m
- Sidorenko G.V., Miroslavov A.E., Tyupina M.Yu. // Coord. Chem. Rev. 2023. Vol. 476. ID 214911. https://doi.org/10.1016/j.ccr.2022.214911
- Chu T., Zhang Y., Liu X., Wang Y., Hu S., Wang X. // Appl. Radiat. Isot. 2004. Vol. 60. P. 845–850. https://doi.org/10.1016/j.apradiso.2004.02.006
- Lee B.C., Kim D.H., Lee J.H., Sung H.J., Choe Y.S., Chi D.Y., Lee K.-H., Choi Y., Kim B.-T. // Bioconjugate Chem. 2007. Vol. 18. P. 1332–1337. https://doi.org/10.1021/bc060299w
- Das S., Mathur A., Sakhare N., Mallia M.B., Sarma H.D., Sachdev S.S., Dash A. // J. Label. Compd. Radiopharm. 2018. Vol. 61. P. 1048–1057. https://doi.org/10.1002/jlcr.3681
- Liang J., Hu J., Chen B., Luo L., Li H., Shen L., Luo Z. // Nucl. Sci. Tech. 2007. Vol. 18. P. 159–163. https://doi.org/10.1016/S1001-8042(07)60039-6
- Tsotakos T., Tsoukalas C., Papadopoulos A., Pelecanou M., Papadopoulos M., Pirmettis I. // Nucl. Med. Biol. 2010. Vol. 37. P. 683. https://doi.org/10.1016/j.nucmedbio.2010.04.021
- Xue Q., Wang H., Liu J., Wang D., Zhang H. // J. Radioanal. Nucl. Chem. 2016. Vol. 310. P. 1181–1194. https://doi.org/10.1007/s10967-016-4916-0
- Uehara T., Uemura T., Hirabayashi S., Adachi S., Odaka K., Akizawa H., Magata Y., Irie T., Arano Y. // J. Med. Chem. 2007. Vol. 50. P. 543–549. https://doi.org/10.1021/jm061017g
- Zeng H., Zhang H. // Eur. J. Med. Chem. 2014. Vol. 72. P. 10–17. https://doi.org/10.1016/j.ejmech.2013.11.015
- Lee B.C., Kim D.H., Lee I., Choe Y.S., Chi D.Y., Lee K.-H., Choi Y., Kim B.-T. // J. Med. Chem. 2008. Vol. 51. P. 3630–3634. https://doi.org/10.1021/jm800049h
- Miroslavov A.E., Kuz’min V.V., Sakhonenkova A.P., Tyupina M.Yu., Sidorenko G.V., Kochergina A.R., Polukeev V.A. // Radiochemistry. 2023. Vol. 65. P. 672–679. https://doi.org/10.1134/S1066362223060085
- Miroslavov A.E., Sakhonenkova A.P., Tyupina M.Yu., Sidorenko G.V. // Russ. J. Gen. Chem. 2023. Vol. 93. P. 327–331. https://doi.org/10.1134/S1070363223020135
- Sidorenko G.V., Miroslavov A.E., Tyupina M.Yu., Gurzhiy V.V., Sakhonenkova A.P., Lumpov A.A. // Inorg. Chem. 2023. Vol. 62. P. 15593–15604. https://doi.org/10.1021/acs.inorgchem.3c02204
- Alberto R., Schibli R., Egli A., Schubiger A.P., Abram U., Kaden T.A. // J. Am. Chem. Soc. 1998. Vol. 120. P. 7987–7988. https://doi.org/10.1021/ja980745t
- Alberto R., Ortner K., Wheatley N., Schibli R., Schubiger A.P. // J. Am. Chem. Soc. 2001. Vol. 123. P. 3135–3136. https://doi.org/10.1021/ja003932b
- Miroslavov A.E., Lumpov A.A., Sidorenko G.V., Levitskaya E.M., Gorshkov N.I., Suglobov D.N., Alberto R., Braband H., Gurzhiy V.V., Krivovichev S.V., Tananaev I.G. // J. Organomet. Chem. 2008. Vol. 693. № 1. P. 4–10. https://doi.org/10.1016/j.jorganchem.2007.09.032
- Hassanzadeh L., Erfani M., Sadat Ebrahimi S.E. // J. Label. Compd. Radiopharm. 2012. Vol. 55. P. 371–376. https://doi.org/10.1002/jlcr.2953.
- Mastrostamatis S.G., Papadopoulos M.S., Pirmettis I.C., Paschali E., Varvarigou A.D., Stassinopoulou C.I., Raptopoulou C.P., Terzis A., Chiotellis E. // J. Med. Chem. 1994. Vol. 37. P. 3212–3218. https://doi.org/10.1021/jm00046a004
- Zhang J., Yu Q., Huo J., Pang Y., Yang S., He Y., Tang T., Yang C., Wang X. // J. Radioanal. Nucl. Chem. 2010. Vol. 283. P. 481–485. https://doi.org/10.1007/s10967-010-0455-2
- Arndt F., Amstutz E.D., Myers R.R. // Org. Synth. 1935. Vol. 15. P. 48. https://doi.org/10.15227/orgsyn.015.0048
- Arndt F. // Org. Synth. 1935. Vol. 15. P. 3. https://doi.org/10.15227/orgsyn.015.0003
- Caddick S., Judd D.B., Lewis A.K. de K., Reich M.T., Williams M.R.V. // Tetrahedron. 2003. Vol. 59. P. 5417–5423. https://doi.org/10.1016/S0040-4020(03)00858-5
- Miroslavov A.E., Polotskii Y.S., Gurzhiy V.V., Ivanov A.Yu., Lumpov A.A., Tyupina M.Yu., Sidorenko G.V., Tolstoy P.M., Maltsev D.A., Suglobov D.N. // Inorg. Chem. 2014. Vol. 53. P. 7861–7869. https://doi.org/10.1021/ic500327s
- Тюпина М.Ю., Мирославов А.Е., Сидоренко Г.В., Гуржий В.В., Сахоненкова А.П. // ЖОХ. 2022. Т. 92. С. 110–120. https://doi.org/10.31857/S0044460X22010127
- Ruan Q., Zhang X., Gan Q., Fang S., Zhang J. // J. Radioanal. Nucl. Chem. 2020. Vol. 323. P. 851–859. https://doi.org/10.1007/s10967-019-07005-7
- Krop H.B., Van Velzen M.J.M., Parsons J.R., Govers H.A.J. // Chemosphere. 1997. Vol. 34. P. 107–119. https://doi.org/10.1016/S0045-6535(96)00371-2
- Vandecapelle M., De Vos F., Vermeirsch H., De Ley G., Audenaert K., Leysen D., Dierckx R.A., Slegers G. // Nucl. Med. Biol. 2001. Vol. 28. P. 639–643. https://doi.org/10.1016/S0969-8051(01)00223-2
Supplementary files









