Effect of ionic liquid on the extraction of lanthanides(III) from nitric acid solutions with phosphoryl-containing podands
- Authors: Turanov A.N.1, Karandashev V.K.2, Baulin V.E.3, Baulin D.V.4
-
Affiliations:
- Ossipyan Institute of Solid State Physics, Russian Academy of Sciences
- Institute of Microelectronics Technology and High Pure Materials, Russian Academy of Sciences
- Institute of Physiologically Active Substances of the Russian Academy of Sciences
- Frumkin Institute of Physical Chemistry and Electrochemistry, Russian Academy of Sciences
- Issue: Vol 66, No 4 (2024)
- Pages: 322-327
- Section: Articles
- URL: https://ogarev-online.ru/0033-8311/article/view/279396
- DOI: https://doi.org/10.31857/S0033831124040031
- ID: 279396
Cite item
Full Text
Abstract
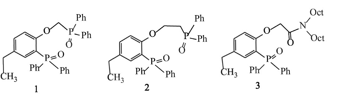
The effect of the ionic liquid, 1-butyl-3-methylimidazolium bis[(trifluoromethyl)sulfonyl]imide, on the extraction of lanthanides(III) from nitric acid solutions with phosphoryl-containing podands (2-(2-diphenylphosphoryl)-4-ethylphenoxy)methyl)diphenylphosphine oxide (1), (2-(2-diphenylphosphoryl)-4-ethylphenoxy)ethyl)diphenylphosphine oxide (2), and 2-[2-(diphenylphosphoryl)-4-ethylphenoxy]-N, N-dioctylacetamide (3) was studied. The stoichiometry of the extracted complexes was determined. The efficiency of extraction of lanthanides(III) with solutions of compounds 1–3 in dichloroethane from nitric acid solutions increases in the order 3 < 2 < 1. It has been established that, when replacing dichloroethane with an ionic liquid as a diluent, the extraction efficiency increases. The magnitude of this effect decreases in the series of compounds 3 > 2 > 1. In the case of compound 1, the replacement of dichloroethane with an ionic liquid as a solvent is accompanied by a decrease in the extraction of lanthanides(III) at [HNO3] > 1.5 M.
Full Text
С развитием атомной энергетики возрастает актуальность решения экологических проблем, связанных с переработкой радиоактивных отходов. Экстракционные методы широко используются для извлечения, концентрирования и разделения актинидов и лантанидов в процессах переработки отработанного ядерного топлива [1]. Высокой экстракционной способностью по отношению к этим элементам обладают полидентатные нейтральные экстрагенты [2–6], в том числе замещенные диоксиды алкилендифосфинов [7] и оксиды (диалкилкарбамоилметил)диарилфосфинов (КМФО) [8, 9]. В последние десятилетия возрос интерес к использованию фосфорилсодержащих подандов (ФП) – соединений, молекула которых состоит из двух РО-групп, соединенных полиэфирной цепочкой – для извлечения актинидов и лантанидов. Экстракционная способность и селективность таких реагентов существенно зависят от длины полиэфирной цепи, конформационной жесткости молекулы, а также природы заместителя при атомах фосфора [10–12]. Среди известных ФП производные оксида (2-((дифенилфосфорил)метокси)фенил)дифенилфосфина обладают наиболее высокой экстракционной способностью по отношению к ионам актинидов и Ln(III) [10], существенно превосходя таковую КМФО. Введение этильного заместителя в 4-е положение о-фениленового фрагмента оксида (2-((дифенилфосфорил)метокси)фенил)дифенилфосфина приводит к повышению растворимости соединения 1 в органических растворителях и снижению перехода экстрагента в водную фазу [11].
В последнее время значительно возрос интерес к использованию в экстракционной практике ионных жидкостей (ИЖ) в качестве растворителей нейтральных экстрагентов [13–18]. При этом экстракция актинидов и Ln(III) растворами КМФО в ИЖ – гексафторфосфатах и бис[(трифторметил)сульфонил]имидах метилалкилимидазолия – значительно возрастает по сравнению с экстракцией растворами КМФО в традиционных растворителях [18]. Для повышения эффективности извлечения актинидов и Ln(III) из растворов HNO3 достаточно даже небольшой концентрации ИЖ в органическом растворителе, содержащем нейтральный экстрагент [19–21]. Поскольку сами ИЖ практически не экстрагируют ионы актинидов и Ln(III) из азотнокислых растворов, ИЖ можно рассматривать как активный компонент синергетической смеси. Величина синергетического эффекта в таких системах зависит как от природы ИЖ, так и строения экстрагента. Ранее нами исследовано влияние строения КМФО на экстракцию ионов металлов в присутствии ИЖ [19]. Влияние ИЖ на экстракцию ионов актинидов и Ln(III) фосфорилсодержащими подандами ранее не рассматривалось.
В данной работе исследовано влияние структуры ФП на эффективность экстракции ионов лантанидов(III) из азотнокислых растворов. Для этого рассмотрено межфазное распределение Ln(III) между растворами HNO3 и растворами соединений 1–3 в дихлорэтане и ИЖ – бис[(трифторметил)сульфонил]имиде 1-бутил-3-метилимидазолия.
Формула
ЭКСПЕРИМЕНТАЛЬНАЯ ЧАСТЬ
Синтез соединений 1 [11], 2 [12] и 3 [22] описан в предыдущих работах. В качестве органических разбавителей использовали 1,2-дихлорэтан марки х.ч. и ионную жидкость – бис[(трифторметил)сульфонил]имид 1-бутил-3-метилимидазолия (С4mimTf2N), синтезированный и очищенный по известной методике [23]. Растворы экстрагентов готовили по точной навеске. Исходные водные растворы Ln(III) готовили растворением соответствующих нитратов в воде с последующим добавлением HNO3. Литиевую соль бис[(трифторметил)сульфонил]имида (LiTf2N) (Sigma–Aldrich) использовали без дополнительной очистки.
Распределение ионов Ln(III) между водной и органической фазами изучали при изменении концентрации HNO3 в диапазоне 0.1–5.0 моль/л. Исходная концентрация каждого из элементов составляла 1 × 10–5 моль/л. Экстракцию проводили при температуре 22 ± 2°С и соотношении объемов органической и водной фаз 1 : 1. Контакт фаз осуществляли на аппарате для перемешивания со скоростью 60 об/мин в течение 1 ч, что достаточно для установления постоянных значений коэффициентов распределения (DLn).
Содержание Ln(III) в исходных и равновесных водных растворах определяли методом масс-спектрометрии с ионизацией пробы в индуктивно связанной плазме с использованием масс-спектрометра XSeries 2 (Thermo Scientific, США). Содержание Ln(III) в органической фазе определяли по разнице концентраций в водном растворе до и после экстракции. Когда эта разница была мала, содержание элементов в органической фазе определяли после реэкстракции водным раствором 0.1 моль/л оксиэтилидендифосфоновой кислоты. Коэффициенты распределения Ln(III) рассчитывали как отношение их концентраций в равновесных фазах. Погрешность определения коэффициентов распределения не превышала 10 %. Концентрацию HNO3 в равновесных водных фазах определяли потенциометрическим титрованием раствором NaOH.
РЕЗУЛЬТАТЫ И ОБСУЖДЕНИЕ
Рассмотрено влияние концентрации HNO3 в равновесной водной фазе на коэффициенты распределения Ln(III) при экстракции раствором соединения 1 в дихлорэтане (рис. 1). При экстракции этих ионов получены зависимости коэффициентов распределения (D) от концентрации HNO3 с максимумом, что связано с высаливающим действием ионов NO3– и связыванием экстрагента азотной кислотой. Положение максимума на кривой зависимости lgDLn–lg[HNO3] смещается в область более высокой кислотности водной фазы по мере увеличения атомного номера (Z) лантанида, что связано с увеличением энергии гидратации ионов Ln3+ вследствие уменьшения их ионных радиусов с возрастанием Z. Это приводит к увеличению коэффициента разделения Lu/La, βLu/La = DLu/DLa, с ростом концентрации HNO3 (рис. 1). При экстракции Ln(III) соединением 1 из азотнокислых растворов наблюдается тенденция увеличения эффективности экстракции Ln(III) с увеличением Z. Это связано с увеличением устойчивости комплексов Ln(III) с жесткими (по Пирсону) лигандами по мере увеличения плотности заряда ионов Ln3+ c возрастанием Z [24].
Рис. 1. Зависимость коэффициентов распределения Ln(III) от концентрации HNO3 в водной фазе при экстракции растворами 0.01 моль/л соединения 1 в дихлорэтане.
Аналогичный характер зависимостей DLn–[HNO3] отмечался при экстракции Ln(III) растворами соединения 2 в дихлорэтане в виде координационно сольватированных нитратов [12].
Стехиометрическое соотношение Ln(III) : экстрагент в экстрагируемых комплексах определено методом сдвига равновесия. Угловой наклон зависимостей DLn–lg[L] равен 1.47 ± 0.05 и 1.98 ± 0.05 при экстракции ионов Ln(III) соединениями 1 и 3 соответственно (рис. 1S), что указывает на экстракцию ионов Ln(III) из азотнокислых растворов соединением 1 в дихлорэтане в виде смеси моно- и дисольватов, а соединением 3 – в форме дисольватов. Ранее было установлено, что в виде дисольватов ионы Ln(III) экстрагируются растворами соединения 2 в дихлорэтане [12].
Исходя из полученных данных процесс экстракции ионов Ln(III) из растворов HNO3 растворами соединений 1–3 может быть описан уравнением
, (1)
где символы (о) и (в) относятся к компонентам экстракционной системы в органической и водной фазах соответственно, s – сольватное число.
Замена метиленового мостика между фенольным атомом кислорода и группой P(O)Ph2 в молекуле соединения 1 на этиленовый приводит к снижению экстракции ионов Ln(III) раствором соединения 2 в дихлорэтане (рис. 1S), что может быть связано с увеличением расстояния между комплексообразующими группами в молекуле экстрагента. К еще более заметному снижению величин DLn приводит замена группы P(O)Ph2 в молекуле соединения 1 на C(O)NOct2 (соединение 3).
Характер зависимости lgDLn–[HNO3] при экстракции растворами соединений 1–3 в дихлорэтане и ионной жидкости С4mimTf2N существенно отличается (рис. 2). При использовании С4mimTf2N в качестве растворителя наблюдается снижение DLn с ростом [HNO3], что отмечалось ранее при экстракции ионов металлов растворами нейтральных экстрагентов в присутствии ИЖ [18–21]. Более высокая экстракционная способность соединений 1–3 в ионной жидкости С4mimTf2N, по-видимому, связана с вхождением гидрофобных анионов Tf2N– в состав экстрагируемых комплексов, что приводит к увеличению их гидрофобности по сравнению с координационно сольватированными нитратами Ln(III). Величина синергетического эффекта SC = D/D0 (где D и D0 – коэффициенты распределения при использовании в качестве растворителя ИЖ или дихлорэтана) уменьшается с ростом [HNO3], однако синергизм в системе с соединениями 2 и 3 наблюдается даже в сильнокислых средах (рис. 2). Вместе с тем, при [HNO3] > 1.5 моль/л раствор соединения 1 в ИЖ экстрагирует ионы Ln(III) менее эффективно, чем раствор 1 в дихлорэтане.
Рис. 2. Зависимость коэффициентов распределения Eu(III) от концентрации HNO3 в водной фазе при экстракции растворами 0.05 моль/л соединений 1 (1, 3), 2 (4, 5) и 3 (2, 6) в дихлорэтане (1, 5, 6) и в C4mimTf2N (2–4).
Стехиометрическое соотношение металл : экстрагент в комплексах, экстрагируемых в присутствии ИЖ, определено методом сдвига равновесия. Полученные данные (рис. 2S) показали, что ионы Ln(III) экстрагируются соединениями 1 и 3 в основном в виде дисольватов (тангенс угла наклона зависимости lgDLn–lg[L] составляет 1.95 ± 0.05). Ранее было показано, соединение 2 экстрагирует ионы Ln(III) в основном в виде трисольватов [12]. Увеличение сольватных чисел в системах с ИЖ связано с тем, что ионы Tf2N– обладают слабой координационной способностью [25], тогда как ионы NO3– входят во внутреннюю координационную сферу комплексов, экстрагируемых растворами соединением 1 в молекулярных растворителях [11].
Процесс экстракции Ln(III) растворами соединений 1–3 в ИЖ может быть описан уравнением
, (2)
а константа экстракции выражается как
, (3)
где [L](о) – равновесная концентрация экстрагента в органической фазе.
Известно, что с увеличением концентрации азотной кислоты увеличивается растворимость ИЖ в водной фазе [26], что приводит к снижению равновесной концентрации экстрагента в органической фазе вследствие экстракции HTf2N соединениями 1–3, которая может быть описана уравнением
H +( в) + Tf2N –( в) + L(o) ⇄ HTf2NL(o), (4)
а константа экстракции выражена как
KHTf2N = [HTf2NL]/([L][H+][Tf2N–]). (5)
При экстракции Ln(III) из азотнокислых растворов растворами соединений 1–3 в ИЖ зависимость DLn от концентрации компонентов органической и водной фаз может быть выражена как
, (6)
где f = 1 + KHNO3(1)[H+][NO3–]γ±2 + KHNO3(2)[H+]2 [NO3–]2γ±4 + KHTf2N[H+][Tf2N–]) – поправка на связывание экстрагента HNO3 и HTf2N. Из этого выражения следует, что при постоянной концентрации экстрагента в ИЖ увеличение концентрации HNO3 в водной фазе, сопровождающееся увеличением концентраций ионов C4mim+ и Tf2N– в водной фазе, приводит к уменьшению DLn .
Сопоставление величин DLn при экстракции из растворов 3 моль/л HNO3 растворами соединений 1–3 показало, что изменение структуры экстрагентов различным образом влияет на эффективность экстракции ионов Ln(III) при использовании в качестве растворителя ИЖ или дихлорэтана (рис. 3). При экстракции растворами экстрагентов в дихлорэтане в виде координационно–сольватированных нитратов величины DLn возрастают в ряду 3 < 2 < 1. При использовании ИЖ в качестве растворителя такой порядок сохраняется только при экстракции Tm(III), Yb(III) и Lu(III). При экстракции La(III)–Gd(III) величины DLn возрастают в ряду 2 < 1 < 3, а при экстракции Tb(III)–Er(III) – в ряду 2 < 3 < 1 (рис. 3). Следует отметить, что при экстракции соединением 1 незначительный синергетический эффект при замене дихлорэтана на ИЖ наблюдается только при экстракции La(III) и Ce(III). Наибольший синергетический эффект наблюдается при экстракции соединением 3, при этом в ряду Ln(III) значение SC увеличивается от 350 для La(III) до 780 для Eu(III), а затем постепенно снижается до 200 при экстракции Lu(III). При использовании ИЖ в качестве растворителя соединение 3 экстрагирует легкие Ln(III) с более высокими DLn, чем соединение 1, которое при использовании дихлорэтана в качестве растворителя существенно превосходит соединение 3 по своей экстракционной способности (рис. 3).
Рис. 3. Коэффициенты распределения Ln(III) при экстракции из раствора 3 моль/л HNO3 растворами 0.05 моль/л соединений 1(1, 2), 2 (4, 5) и 3 (3, 6) в дихлорэтане (1, 5, 6) и в C4mimTf2N (2–4).
Для оценки влияния строения соединений 1–3 на экстракцию ионов Ln(III) в виде комплексов LnLs(Tf2N)3 исследована экстракция этих ионов из растворов LiTf2N растворами 1–3 в дихлорэтане, т.е. в отсутствии ионов C4mim+ в системе. Из данных рис. 4 видно, что величины DLn возрастают в ряду 2 < 3 < 1. По-видимому, замена метиленового мостика между фенольным атомом кислорода и группой P(O)Ph2 в молекуле соединения 1 на этиленовый приводит к более заметному снижению устойчивости комплексов LnLs(Tf2N)3, чем замена группы P(O)Ph2 в молекуле соединения 1 на группу C(O)NOct2 (соединение 3).
Рис. 4. Коэффициенты распределения Ln(III) при экстракции из раствора 0.003 моль/л LiTf2N растворами 0.002 моль/л соединений 1–3 в дихлорэтане.
В системе с низкой концентрацией HNO3 в водной фазе и низкой концентрацией C4mimTf2N в органической, когда связывание экстрагента с HNO3 и HTf2N минимально, значения DLn изменяются симбатно с изменением устойчивости комплексов LnLs(Tf2N)3, т.е. в ряду 2 < 3 < 1 (рис. 5). При экстракции ионов Ln(III) растворами соединений 1–3 в C4mimTf2N из растворов с умеренной и высокой концентрацией HNO3 порядок изменения величин DLn в ряду соединений 1–3 существенно изменяется (рис. 3). При этом экстракционная способность соединения 1 в C4mimTf2N существенно снижается по сравнению с таковой раствора 1 в дихлорэтане. Это связано, помимо значительной соэкстракции HTf2N, с затруднениями при обмене ионов NO3–, находящихся во внутренней координационной сфере комплексов LnLs(NO3)3, на ионы Tf2N– при увеличении концентрацией HNO3 в водной фазе.
Рис. 5. Коэффициенты распределения Ln(III) при экстракции из раствора 0.01 моль/л HNO3 растворами 0.01 моль/л соединений 1–3 в дихлорэтане, содержащем 0.05 моль/л C4mimTf2N.
Представленные данные показали, что замена метиленового мостика между фенольным атомом кислорода и группой P(O)Ph2 в молекуле соединения 1 на этиленовый, а также замена группы P(O)Ph2 в молекуле соединения 1 на группу C(O)NOct2 приводит к снижению экстракции ионов Ln(III) растворами соединений 2 и 3 в дихлорэтане. Замена дихлорэтана на C4mimTf2N в качестве растворителя сопровождается увеличением DLn при экстракции соединениями 2 и 3 во всем исследованном диапазоне изменения концентрации HNO3 в водной фазе. В случае соединения 1 такое увеличение отмечено только при [HNO3] < 1.5 моль/л. При более высокой концентрации HNO3 замена дихлорэтана на C4mimTf2N в качестве растворителя сопровождается снижением DLn. Эффект увеличения DLn при замене дихлорэтана на ИЖ в качестве разбавителя снижается в ряду соединений 3 > 2 > 1 по мере увеличения их экстракционной способности этих соединений в дихлорэтане.
ФОНДОВАЯ ПОДДЕРЖКА
Работа выполнена в рамках Государственного задания 2024 г. ИФТТ РАН, ИПТМ РАН, ИФАВ РАН и ИФХЭ РАН.
КОНФЛИКТ ИНТЕРЕСОВ
Авторы заявляют об отсутствии конфликта интересов.
ДОПОЛНИТЕЛЬНЫЕ МАТЕРИАЛЫ
Рис. 1S, 2S с концентрационными зависимостями коэффициентов распределения. https://doi.org/ 10.31857/S0033831124040031
About the authors
A. N. Turanov
Ossipyan Institute of Solid State Physics, Russian Academy of Sciences
Email: mager1988@gmail.com
Russian Federation, Chernogolovka, Moscow oblast, 142432
V. K. Karandashev
Institute of Microelectronics Technology and High Pure Materials, Russian Academy of Sciences
Email: mager1988@gmail.com
Russian Federation, Chernogolovka, Moscow oblast, 142432
V. E. Baulin
Institute of Physiologically Active Substances of the Russian Academy of Sciences
Author for correspondence.
Email: mager1988@gmail.com
Russian Federation, Chernogolovka, Moscow oblast, 142432
D. V. Baulin
Frumkin Institute of Physical Chemistry and Electrochemistry, Russian Academy of Sciences
Email: mager1988@gmail.com
Russian Federation, 119991, Moscow, 119991
References
- Myasoedov B.F., Kalmykov S.N., Kulyako Yu.M., Vinokurov S.E. // Geochem. Int. 2016. Vol. 54. N 13. P. 1156. https://doi.org/10.1134/S0016702916130115
- Аляпышев М. Ю., Бабаин В. А., Устынюк Ю. А. // Успехи химии. 2016. Т. 85. N 9. С. 943; Alyapyshev M.Yu., Babain V.A., Ustynyuk Yu.A. // Russ. Chem. Rev. 2016. Vol. 85. N 9. P. 943. https://doi.org/10.1070/RCR4588
- Leoncini A., Huskens J., Verboom W. // Chem. Soc. Rev. 2017. Vol. 46. P. 7229. doi: 10.1039/C7CS00574A
- Wilson A. M., Bailey P. J., Tasker P. A. // Chem. Soc. Rev. 2014. Vol. 43. P. 123.
- Werner E. J., Biros S. M. // Org. Chem. Front. 2019. Vol. 6. P. 2067.
- Bhattacharyya A., Mohapatra P.K. // Radiochim. Acta. 2019. V. 107. P. 931.
- Розен А. М., Крупнов Б. В. // Успехи химии. 1996. Т. 65. N 11. С. 1052–1079; Rozen A.M., Krupnov B.V. // Russ. Chem. Rev. 1996. Vol. 65. N 11. P. 973. http://dx.doi.org/10.1070/RC1996v065n11ABEH000241
- Horwitz E.P., Martin K.A., Diamond H., Kaplan L. // Solvent Extr. Ion Exch. 1986. Vol. 4. N 3. P. 449. https://doi.org/10.1080/07366298608917877
- Чмутова М.К., Литвина М.Н., Прибылова Г.А. Иванова Л.А., Смирнов И.В., Шадрин А.Ю., Мясоедов Б.Ф. // Радиохимия. 1999. Т. 41. № 4. С. 331. Chmutova M.K., Litvina M.N., Pribylova G.A., Ivanova L A., Smirnov I.V., Shadrin A.Yu, Myasoedov B.F. // Radiochemistry. 1999. Vol. 41. № 4. P. 349.
- Turanov A.N., Karandashev V.K., Baulin V.E., Yarkevich A.N., Safronova Z.V. // Solvent Extr. Ion Exch. 2009. Vol. 27. P. 551. https://doi.org/10.1080/07366290903044683
- Демин С.В., Жилов В.И., Нефедов С.Е. Баулин В.Е., Цивадзе А.Ю. // ЖНХ. 2012. Т. 57. № 6. С. 970; Demin S.V., Nefedov S.E., Zhilov V.I. Baulin V. E., Tsivadze A. Y. // Russ. J. Inorg. Chem. 2012. Vol. 57. N 6. P. 897. https://doi.org/10.1134/S0036023612060095
- Туранов А.Н., Карандашев В.К., Баулин Д.В., Баулин В.Е. // ЖОХ. 2020. Т. 90. № 6. С. 919.
- Kolarik Z. // Solvent Extr. Ion Exch. 2013. Vol. 31. P. 24. https://doi.org/10.1080/07366299.2012.700589
- Riano S., Foltova S.S., Binnemans K. // RSC Adv. 2020. Vol. 10. P. 307. https://doi.org/10.1039/c9ra08996
- Iqbal M., Waheed K., Rahat S.B., Mehmood T., Lee M.S. // J. Radioanal. Nucl. Chem. 2020. Vol. 325. P. 1. https://doi.org/10.1007/s10967-020-07199-1
- Atanassova M. // J. Mol. Liq. 2021. Vol. 343. ID 117530. https://doi.org/10.1016/j.molliq.2021.117530
- Белова В.В. // Радиохимия. 2021. Т. 63. № 1. С. 3; Belova V.V. // Radiochemistry. 2021. V. 63. № 1. Р. 1. https://doi.org/10.1134/S106636222101001X
- Sun T., Zhang Y., Wu Q., Chen J., Xia L., Xu C. // Solvent Extr. Ion Exch. 2017. Vol. 35. P. 408. https://doi.org/10.1080/07366299.2017.1379142
- Туранов А.Н., Карандашев В.К., Яркевич А.Н. // Радиохимия. 2022. Т. 64. № 2. С. 164; Turanov A.N., Karandashev V.K., Yarkevich A.N. // Radiochemistry. 2022. Vol. 64. № 2. P. 163. https://doi.org/10.1134/S1066362222020072
- Turanov A.N., Karandashev V.K., Sharova E.V., Artyushin O.I., Kostikova G.V., Fedoseev A.M. // Radiochim. Acta. 2023. Vol. 111. P. 601.
- Pribilova G., Smirnov I., Novikov A. // J. Radioanal. Nucl. Chem. 2012. Vol. 295. P. 83.
- Туранов А.Н., Карандашев В.К., Баулин В.Е., Калашникова И.П., Кириллов Е.В., Кириллов С.В., Рычков В.Н., Цивадзе А.Ю. // ЖНХ. 2016. Т. 61. № 3. С. 396.
- Bonhote P., Dias A.P., Papageorgiou N., Kalyanasundaram K., Grätzel M. // Inorg. Chem. 1996. Vol. 35. P. 1168. https://doi.org/10.1021/ic951325x
- Nash K.L., Jensen M.P. // Sep. Sci. Technol. 2001. Vol. 36. N 5–6. P. 1257. https://doi.org/10.1081/SS-100103649
- Binnemans K. // Chem. Rev. 2007. Vol. 107. P. 2592.
- Gaillard C., Boltoeva M., Billard I., Georg S., Mazan V., Ouadi A., Ternova D., Henning C. // ChemPhysChem. 2015. Vol. 16. P. 2653. https://doi.org/ 10.1002/cphc.201500283
Supplementary files








