Динамика малых спутников с трехосным гравитационным демпфером
- Авторы: Асланов В.С.1, Дорошин А.В.1
-
Учреждения:
- Самарский национальный исследовательский университет им. академика С.П. Королёва
- Выпуск: Том 87, № 5 (2023)
- Страницы: 729-741
- Раздел: Статьи
- URL: https://ogarev-online.ru/0032-8235/article/view/232502
- DOI: https://doi.org/10.31857/S003282352305003X
- EDN: https://elibrary.ru/QHRPJS
- ID: 232502
Цитировать
Полный текст
Аннотация
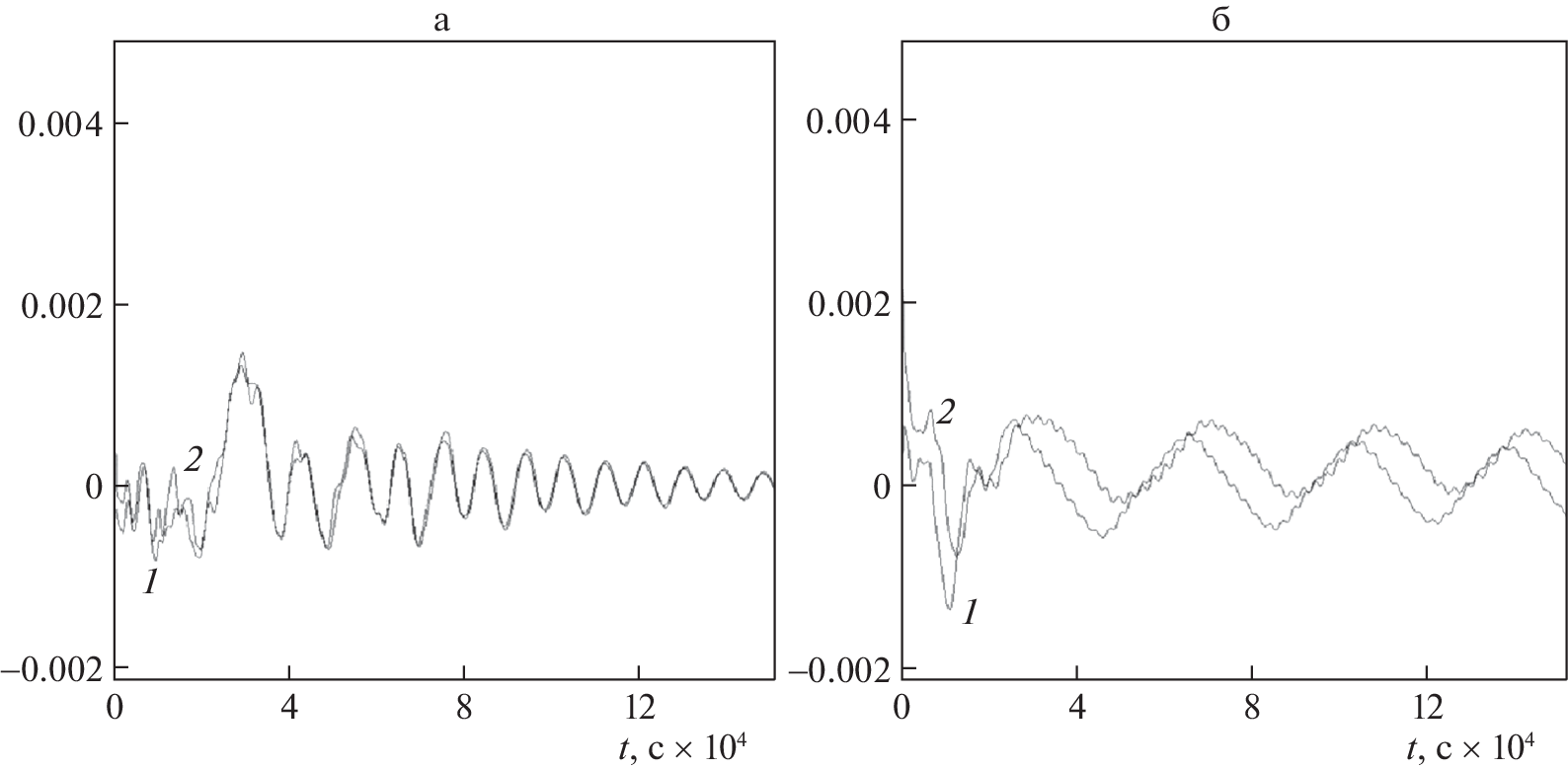
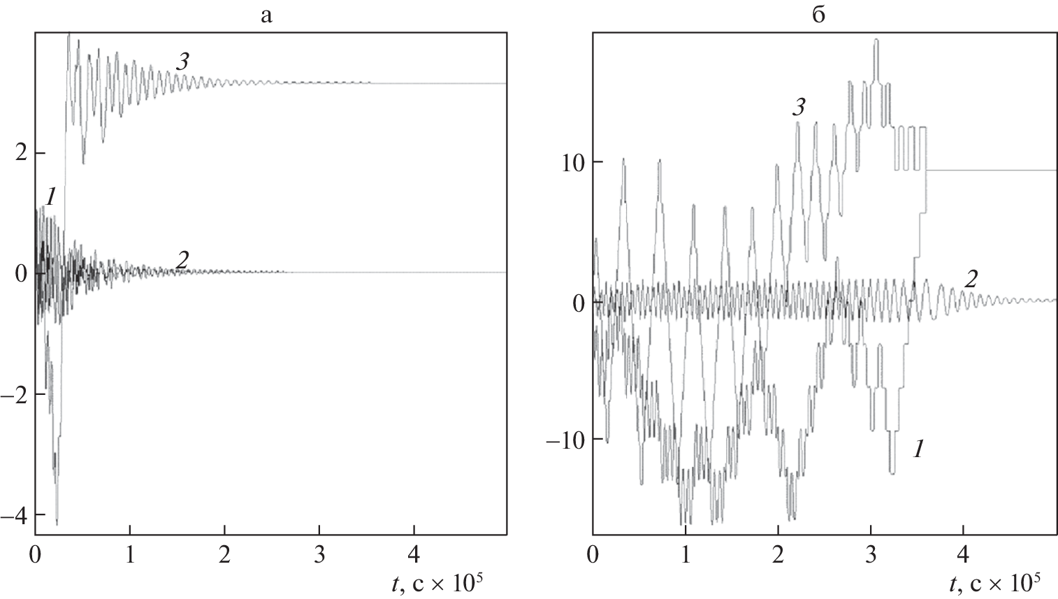
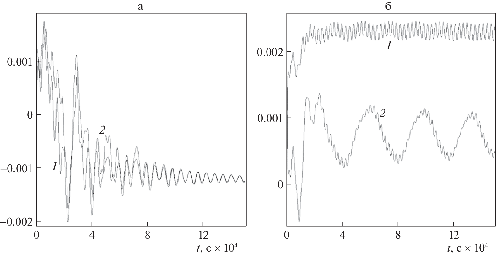
Рассматриваются вопросы динамики углового движения наноспутников с гравитационными демпферами. Демпфер представляет собой твердое тело, вращающееся в сферической полости с вязким жидким наполнением, создающим внутреннее трение с диссипацией кинетической энергии углового движения. В отличии от классических моделей подобных вязких демпферов, использующих схему М.А. Лаврентьева со сферической динамической симметрией тела-демпфера, в настоящей работе тело-демпфер имеет центральный трехосный эллипсоид инерции, что повышает эффективность взаимодействия с внешним гравитационным полем. Это позволяет использовать в качестве такового внутреннего тела-демпфера практически любой автономный агрегат наноспутника, размещая его в герметичной сферической оболочке внутри сферической полости с вязкой жидкостью в центре масс главного тела-корпуса спутника. Наличие трехосевого тензора инерции тела-демпфера изменяет и усложняет математическую модель углового движения по сравнению с классической, что может рассматриваться как определенное обобщение и развитие исследований в этом направлении.
Об авторах
В. С. Асланов
Самарский национальный исследовательский университет им. академика С.П. Королёва
Автор, ответственный за переписку.
Email: aslanov_vs@mail.ru
Россия, Самара
А. В. Дорошин
Самарский национальный исследовательский университет им. академика С.П. Королёва
Email: aslanov_vs@mail.ru
Россия, Самара
Список литературы
- Ишлинский А.Ю. Деятельность Михаила Алексеевича Лаврентьева в Академии наук УССР // ПМТФ. 1960. № 3. С. 16–19.
- Черноусько Ф.Л. Движение твердого тела с полостями, содержащими вязкую жидкость. М.: ВЦ АН СССР, 1968.
- Черноусько Ф.Л. О движении твердого тела, содержащего сферический демпфер // ПМТФ. 1968. № 1. С. 73–79.
- Черноусько Ф.Л., Акуленко Л.Д., Лещенко Д.Д Эволюция движений твердого тела относительно центра масс. Ижевск: Ижевский ин-т компьют. исслед., 2015. 308 с.
- Акуленко Л.Д., Лещенко Д.Д., Черноусько Ф.Л. Быстрое движение вокруг неподвижной точки тяжелого твердого тела в сопротивляющейся среде // Изв. АН СССР. МТТ. 1982. № 3. С. 5–13.
- Акуленко Л.Д. Асимптотические методы оптимального управления. М.: Наука, 1987. 365 с.
- Акуленко Л.Д., Лещенко Д.Д., Рачинская А.Л., Щетинина Ю.С. Эволюция возмущенных вращений несимметричного гиростата в гравитационном поле и среде с сопротивлением // Изв. РАН. МТТ. 2016. № 4. С. 43–52.
- Акуленко Л.Д., Лещенко Д.Д., Рачинская А.Л. Эволюция вращений спутника с полостью, заполненной вязкой жидкостью // Мех. тверд. тела. 2007. Вып. 37. С. 126–139.
- Акуленко Л.Д., Зинкевич Я.С., Лещенко Д.Д., Рачинская А.Л. Быстрые вращения спутника с полостью, заполненной вязкой жидкостью, под действием моментов сил гравитации и светового давления // Космич. исслед. 2011. Т. 49. № 5. С. 453–463.
- Амелькин Н.И., Холощак В.В. Об устойчивости стационарных вращений спутника с внутренним демпфированием в центральном гравитационном поле // ПММ. 2017. Т. 81. № 2. С. 123–136.
- Холощак В.В. Динамика вращательного движения спутника с демпфером в центральном гравитационном поле // Тр. МФТИ. 2017. Т. 9. № 4 (36). С. 106–119.
- Амелькин Н.И., Холощак В.В. Вращательное движение несимметричного спутника с демпфером на круговой орбите // ПММ. 2019. Т. 83. Вып. 1. С. 16–31.
- Амелькин Н.И., Холощак В.В. Эволюция вращательного движения динамически симметричного спутника с внутренним демпфированием на круговой орбите // ПММ. 2019. Т. 83. Вып. 1. С. 3–15.
- Амелькин Н.И. Об асимптотических свойствах движений спутников в центральном поле, обусловленных внутренней диссипацией // ПММ. 2011. Т. 75. № 2. С. 204–223.
- Амелькин Н.И., Холощак В.В. Об устойчивости стационарных вращений спутника с внутренним демпфированием в центральном гравитационном поле // ПММ. 2017. Т. 81. Вып. 2. С. 123 –13.
- Сидоренко В.В. Эволюция вращательного движения планеты с жидким ядром // Астроном. вестн. 1993. Т. 27. № 2. С. 119–127.
- Прикладная небесная механика и управление движением. Сб. статей, посвященный 90‑летию со дня рождения Д.Е. Охоцимского / Составители: Т.М. Энеев, М.Ю. Овчинников, А.Р. Голиков. М.: ИПМ им. М.В. Келдыша, 2010. 368 с.
- Морозов В.М., Каленова В.И. Управление спутником при помощи магнитных моментов: управляемость и алгоритмы стабилизации // Космич. исслед. 2020. Т. 58. № 3. С. 199–207.
- Doroshin A.V. Gravitational dampers for unloading angular momentum of nanosatellites // in: Advances in Nonlinear Dynamics. NODYCON Conf. Proc. Ser. Vol. 1 / Ed. by Lacarbonara W., Balachandran B. et al. Springer, 2022. P. 257–266.
- Amel’kin N.I., Kholoshchak V.V. Rotational motion of a non-symmetrical satellite with a damper in a circular orbit // Mech. Solids. 2019. V. 54. P. 190–203.
- Amel’kin N.I. Evolution of rotational motion of a planet in a circular orbit under the influence of internal elastic and dissipative forces //Mech. Solids. 2020. V. 55. P. 234–247.
- Winfree P.K., Cochran Jr J.E. Nonlinear attitude motion of a dual-spin spacecraft containing spherical dampers // J. Guidance, Control, & Dyn. 1986. V. 9. № 6. P. 681–690.
- Davis L.K. Motion damper. U.S. Patent No. 3,399,317. Washington, DC: U.S. Patent and Trademark Office, 1968.
- Ivanov D.S., Ovchinnikov M.Y., Penkov V.I., Ivanova T.A. Modeling a nanosatellite’s angular motion damping using a hysteresis plate // Math. Models&Comput. Simul. 2020. V. 12. P. 816–823.
- Ovchinnikov M.Y., Roldugin D.S. A survey on active magnetic attitude control algorithms for small satellites // Progr. in Aerosp. Sci. 2019. V. 109. P. 100546.
- Roldugin D.S., Ovchinnikov M.Y. Wobble of a spin stabilized satellite with cross products of inertia and magnetic attitude control // Adv. in Space Res. 2023. V. 71. № 1. P. 408–419.
Дополнительные файлы










