Numerical Investigation of the Mass Transfer of Dispersed Particles during the Passage of a Shockwave in a Mono and Polydisperse Gas Suspension
- Authors: Gubaidullin D.A.1, Tukmakov D.A.1
-
Affiliations:
- Federal Res. Center Kazan Sci. Center of the RAS
- Issue: Vol 87, No 3 (2023)
- Pages: 461-474
- Section: Articles
- URL: https://ogarev-online.ru/0032-8235/article/view/138872
- DOI: https://doi.org/10.31857/S0032823523030050
- EDN: https://elibrary.ru/ZTCTUM
- ID: 138872
Cite item
Full Text
Abstract
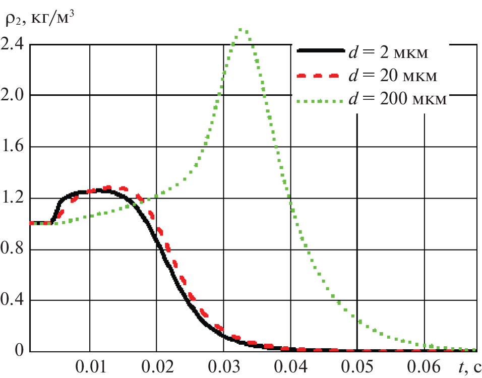
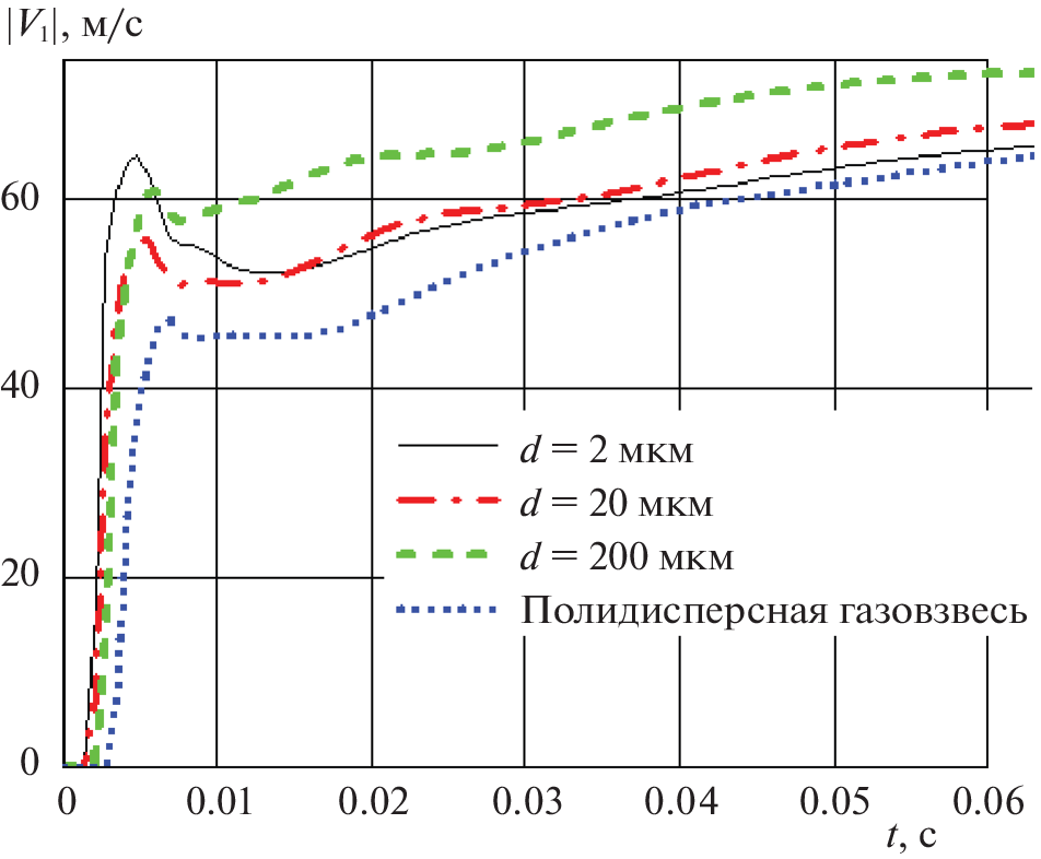
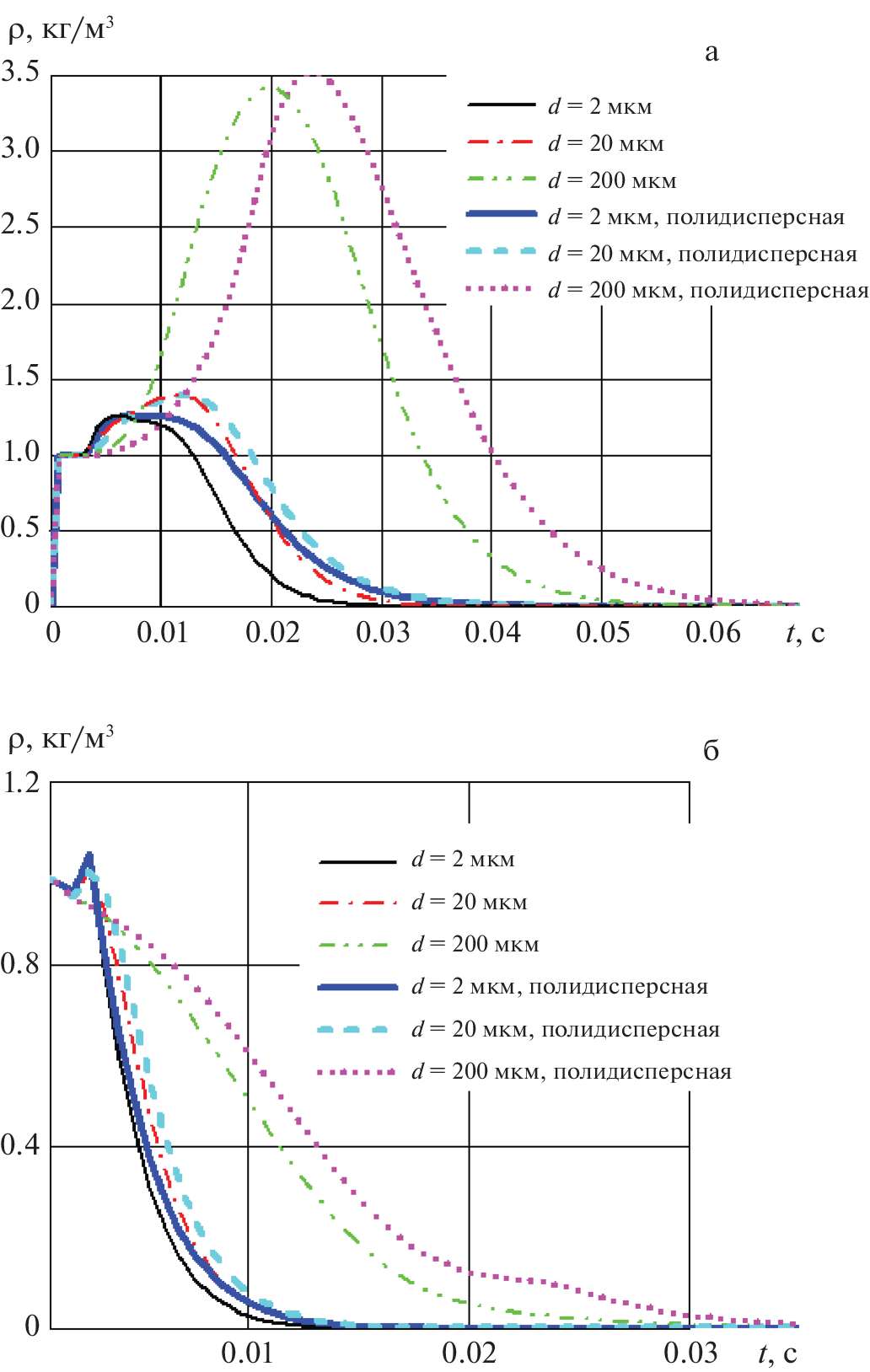
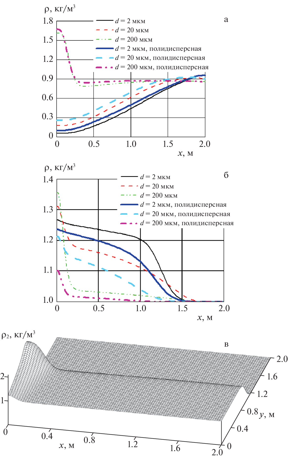
The paper numerically simulates the propagation of a shock wave through a gas suspension. The carrier medium was described as a viscous, compressible, heat-conducting gas. The mathematical model implemented a continuum method for the dynamics of multiphase media, taking into account the interaction of the carrier medium and the dispersed phase. The mass transfer of disperse inclusions suspended in the gas, caused by the interaction of the shock wave with monodisperse gas suspensions and with gas suspensions having a multi-fractional composition, was modeled. Differences in the mass transfer of particles depending on the particle size are revealed. It was also found that the process of mass transfer of dispersed inclusions in a monodisperse gas suspension differs from a similar process for a fraction of a polydisperse gas suspension having the same particle size and the same volume content.
About the authors
D. A. Gubaidullin
Federal Res. Center Kazan Sci. Center of the RAS
Author for correspondence.
Email: tukmakovda@imm.knc.ru
Russia, Kazan
D. A. Tukmakov
Federal Res. Center Kazan Sci. Center of the RAS
Author for correspondence.
Email: tukmakovda@imm.knc.ru
Russia, Kazan
References
- Nigmatulin R.I. Dynamics of Multiphase Media. N.Y.: CRC Press, 1990. 532 p.
- Sternin L.E. Two-Phase Mono- and Polydisperse Flows o Gas with Particles. Moscow: Mashinostroenie, 1980. 176 p. (in Russian)
- Deutsch M.E., Filippov G.A. Gas Dynamics of Two-Phase Media. Moscow: Energoizdat, 1981. 472p. (in Russian)
- Kutushev A.G. Mathematical Modeling of Wave Processes in Aerodisperse and Powder Media. St. Petersburg: Nedra, 2003. 284 p. (in Russian)
- Fedorov A.V., Fomin V.M., Khmel T.A. Wave Processes in Gas Suspensions of Metal Particles. Novosibirsk: Parallel, 2015. 301 p. (in Russian)
- Varaksin A.Y., Protasov M.V. The effect of gas injection on the protection of body surfaces streamlined by a two-phase flow // High Temp., 2017, vol. 55, no. 6, pp. 945–948.
- Pakhomov M.A., Terekhov V.I. Effect of droplet evaporation on the flow structure and heat and mass transfer in a confined swirling gas-droplet flow downstream of a tube sudden expansion // Thermoph.&Aeromech., 2018, vol. 25, no. 6, pp. 833–843.
- Golubkina I.V., Osiptsov A.N. Partly and fully dispersed compression waves in a gas-droplet mixture with phase transitions // Fluid Dyn., 2022, vol. 57, no. 3, pp. 261–272.
- Sadin D.V. Numerical and analytical study of the expansion of a gas suspension in a closed shock tube // Nauchno-tekhnich. Ved. St.-Peterburg. Gos. Politekh. Univ. Fiz.-mat. Nauki, 2021, no. 4, pp. 40–49. (in Russian)
- Yeom G.S., Chang K.S. Shock wave diffraction about a wedge in a gas-microdroplet mixture // Int. J, Heat&Mass Trans., 2010, vol. 53, pp. 5073–5088.
- Saurel R., Boivin P., Le Metayer O. A general formulation for cavitating, boiling and evaporating flows // Comput.&Fluids, 2016, vol. 128, pp. 53–64.
- Kapila A.K., Schwendeman D.W., Gambino J.R., Henshaw W.D. A numerical study of the dynamics of detonation initiated by cavity collapse // Shock Waves, 2015, vol. 25, pp. 545–572.
- Watanabe H., Matsuo A., Chinnayya A. et al. Numerical analysis of the mean structure of gaseous detonation with dilute water spray // J. Fluid Mech., 2020, vol. 887.
- LinYoo Y., Hong-Gye S. Numerical investigation of an interaction between shock waves and bubble in a compressible multiphase flow using a diffuse interface method // Int. J. Heat&Mass Trans., vol. 127, 2018, pp. 210–221.
- Nazarov D.A., Sinitsyn D.S., Mosunova N.A., Sorokin A.A. Modeling the behavior of fission product aerosols in a containment shell // Teploenerg., 2022, no. 9, pp. 57–65. (in Russian)
- Davydova M.A., Chkhetiani O.G., Levashova N.T., Nechaeva A.L. On the assessment of the contribution of secondary vortex structures to the transfer of aerosols in the atmospheric boundary layer // PMM, 2022, vol. 86, no. 5, pp. 765–778. (in Russian)
- Piskunov V.N. Analytical and numerical results in the kinetics of particle coagulation and fragmentation processes // JAMM, 2012, vol. 76, no. 6, pp. 688–705.
- Bolotnova R.K., Gainullina E.F. Influence of heat transfer on decreasing intensity of a spherical explosion in aqueous foam // Fluid Dyn., 2019, vol. 54, no. 7, pp. 970–977.
- Laptev A.G., Lapteva E.A. Numerical model of heat and mass transfer and separation of the dispersed phase in high-speed dispersed-annular flows of gas and liquid // zh. Tekhnich. Fiz., 2022, vol. 92, no. 9, pp. 1319–1326.
- Laptev A.G., Lapteva E.A. Determining the efficiency of packed gas separators of droplets taking into account the nonuniformity of the gas velocity profile // Theor. Found. Chem. Engng., 2021, vol. 55, no. 2, pp. 301–306.
- Zamalieva A.T., Belyaeva G.I. Change of aerodynamic properties and efficiency in cyclone apparatuses by means of numerical and field studies // Vestn. Tekhnol. Univ., 2015, vol. 18, no. 4, pp. 134–137. (in Russian)
- Azarov V.N., Koshkarev S.A. On the model of dust trapping in separation devices with a filter-weighted layer in the construction industry// Izv. vzov. Stroit., 2015, no. 2, pp. 73–79. (in Russian)
- Fedorov A.V., Bedarev I.A. The shock-wave structure in a gas−particle mixture with chaotic pressure // Math. Models&Comput. Simul., 2018, vol. 10, no. 1, pp. 1–14.
- Bedarev I.A., Fedorov A.V., Shul’gin A.V. Computation of traveling waves in a heterogeneous medium with two pressures and a gas equation of state depending on phase concentrations // Comput. Math.&Math. Phys., 2018, vol. 58, no. 5, pp. 775–789.
- Ingel L.K. Nonlinear interaction of two components of motion during the deposition of a heavy particle in a shear flow // zh. Tekhnich. Fiz., 2012, vol. 82, no. 11, pp. 122–125.
- Gubaidullin D.A., Panin K.A., Fedorov Y.V. Acoustics of a liquid with droplets covered by a shell in the presence of phase transitions // Fluid Dyn., 2022, vol. 57, no. 4, pp. 459–468.
- Nigmatulin R.I., Gubaidullin D.A., Tukmakov D.A. Shock wave dispersion of gas-particle mixtures // Dokl. Phys., 2016, vol. 61, no. 2, pp. 70–73.
- Tukmakov A.L., Tukmakov D.A. Dynamics of a charged gas suspension with an initial spatially nonuniform distribution of the average dispersed phase density during the transition to the equilibrium state // High Temp., 2017, vol. 55, no. 4, pp. 491–495.
- Tukmakov D.A., Tukmakova N.A. Effect of dispersed phase distribution on the shock wave parameters in a gas suspension// J. Engng. Phys.&Thermophys., 2018, vol. 91, no. 1, pp. 207–211.
- Tukmakov D.A. Numerical investigation of the influence of properties of the gas component of a suspension of solid particles on the spreading of a compressed gas-suspension volume in a binary medium // J. Engng. Phys.&Thermoph., 2020, vol. 93, no. 2, pp. 291–297.
- Tukmakov A.L., Tukmakov D.A. Numerical study of the influence of the parameters of dispersed particles on the deposition of the solid phase of an electrically charged polydisperse gas suspension // Izv. Sarat. Univ.. Ser.: Matem. Mekh. Inform., 2022, vol. 22, no. 1, pp. 90–102. (in Russian)
- Fletcher C. A. Computation Techniques for Fluid Dynamics. Berlin: Springer, 1988. 502 p.
- Tukmakov A.L. Origination of in-phase oscillations of thin plates with aeroelastic interaction // J. Appl. Mech.&Tech. Phys., 2003, vol. 44, no. 1, pp. 64.
- Muzafarov I.F., Utyuzhnikov S.V. Application of compact difference schemes to the study of unsteady compressible gas flows // Matem. Modelir., 1993, no. 3, pp. 74–83. (in Russian)
Supplementary files










