Об одном подходе к построению решения задачи о выбросе угля и метана из краевой зоны пласта
- Авторы: Черданцев Н.В.1
-
Учреждения:
- Федеральный исследовательский центр угля и углехимии СО РАН
- Выпуск: Том 87, № 1 (2023)
- Страницы: 81-111
- Раздел: Статьи
- URL: https://ogarev-online.ru/0032-8235/article/view/138832
- DOI: https://doi.org/10.31857/S0032823523010058
- EDN: https://elibrary.ru/HVAYKX
- ID: 138832
Цитировать
Полный текст
Аннотация
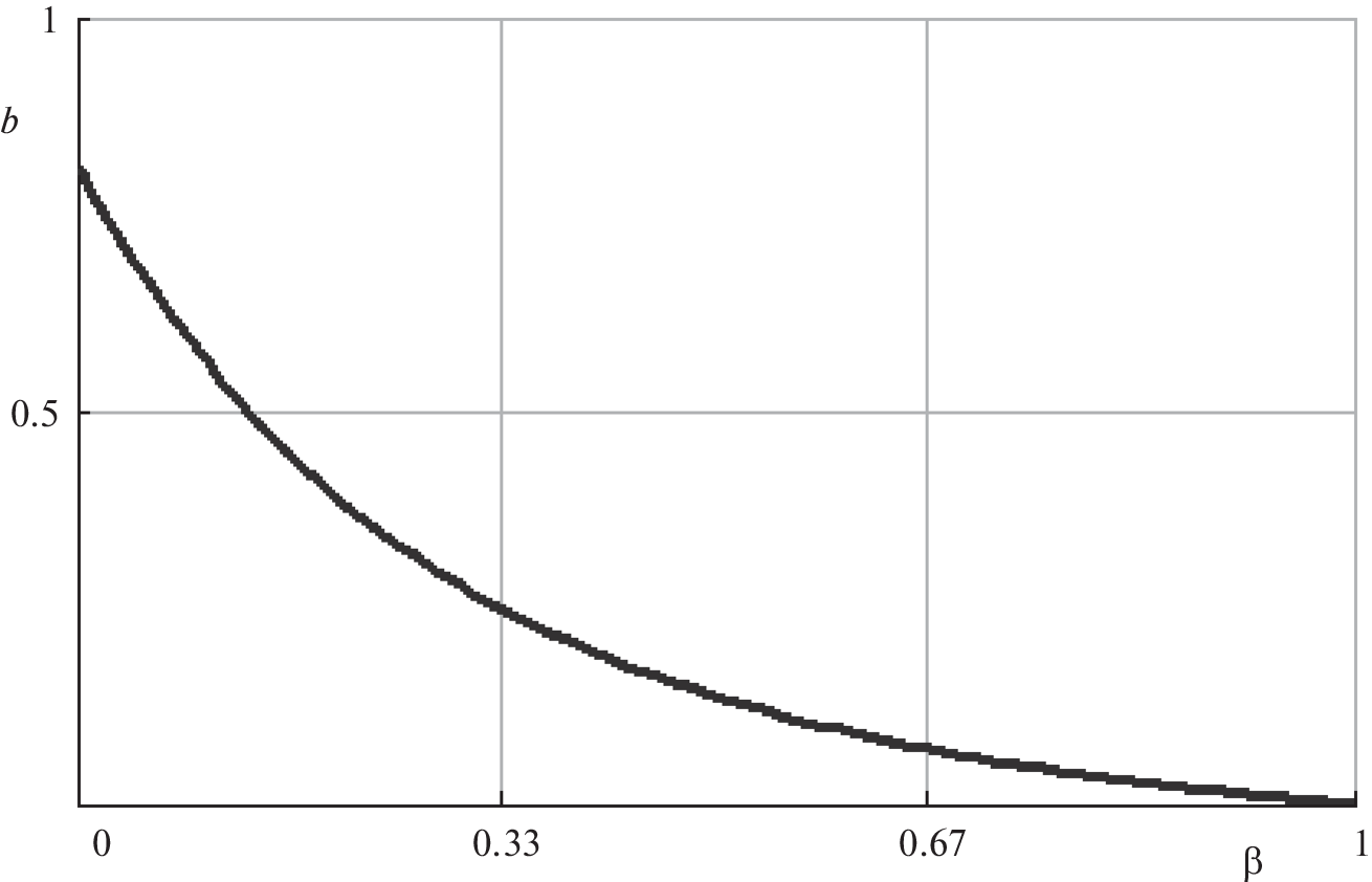
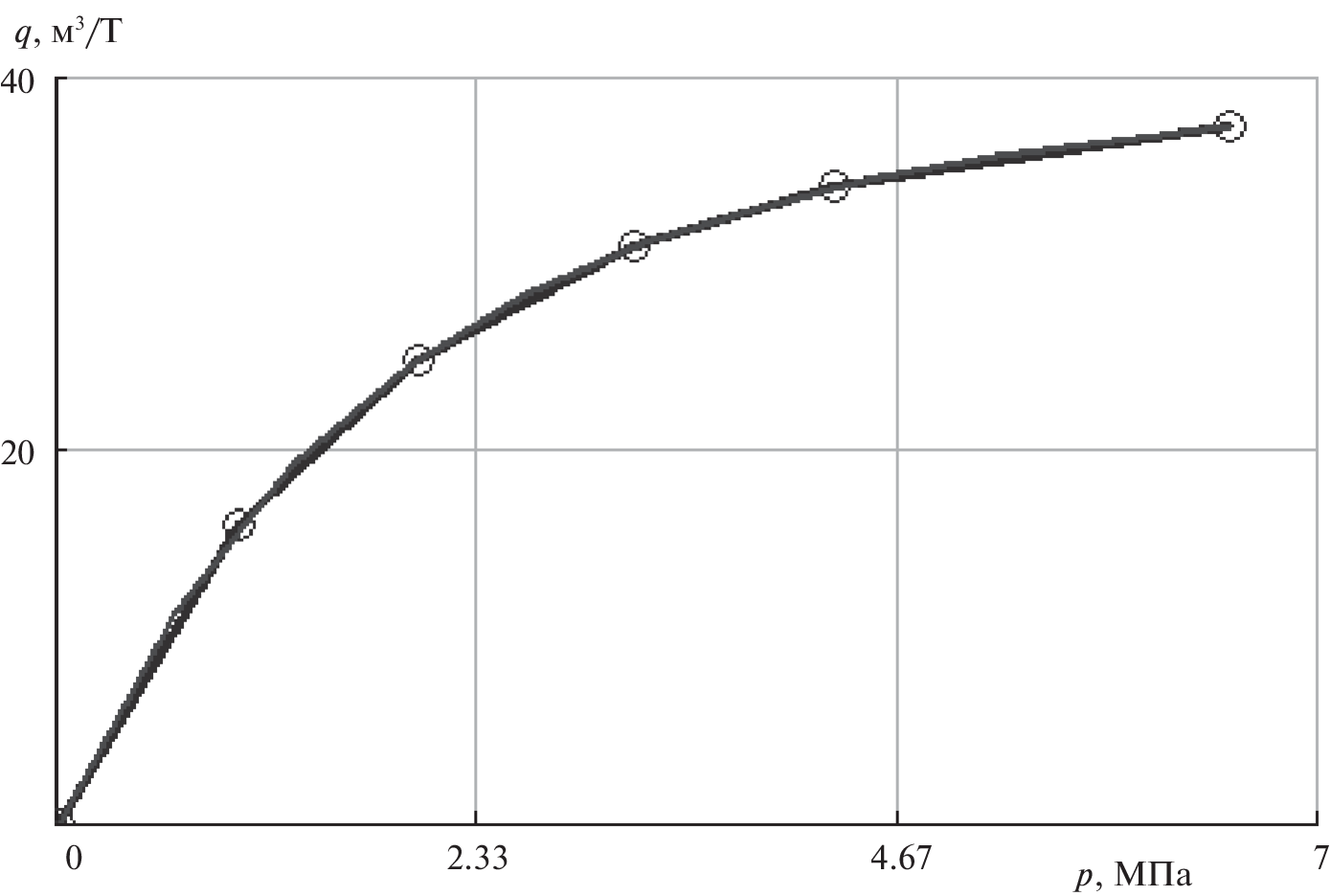
На базе модели геомеханического состояния углепородного массива, вмещающего угольный пласт с непрочным прослойком, пластовую выработку, и разработанных С.А. Христиановичем концепций о газодинамических процессах при отработке угольных пластов, построено решение задачи о выбросе угля и газа из краевой части пласта. Сформулированы условия возникновения газодинамических явлений, проявляющихся в форме образования сначала магистральной трещины в пласте со свободным метаном, затем формированием в нем волны дробления с последующим выбросом в выработку перемычки и смеси раздробленного угля и газа.
Об авторах
Н. В. Черданцев
Федеральный исследовательский центр угля и углехимии СО РАН
Автор, ответственный за переписку.
Email: nvch2014@yandex.ru
Россия, Кемерово
Список литературы
- Христианович С.А. О волне дробления // Изв. АН СССР. ОНТ. 1953. № 12. С. 1689–1699.
- Христианович С.А. О волне выброса // Изв АН СССР. ОНТ. 1953. № 12. С. 1679–1688.
- Ходот В.В. Внезапные выбросы угля и газа. М.: ГосНГИ, 1961. 363 с.
- Чернов О.И., Пузырев В.Н. Прогноз внезапных выбросов угля и газа. М.: Недра, 1979. 296 с.
- Петухов И.М., Линьков А.М. Механика горных ударов и выбросов. М.: Недра, 1983. 280 с.
- Фисенко Г.Л. Предельные состояния горных пород вокруг выработок. М.: Недра, 1976. 272 с.
- Зыков В.С. О механизме формирования выбросоопасной ситуации в очистном забое угольной шахты // Маркшейд. Вестн. 2016. № 5 (114). С. 44–48.
- Shadrin A., Diyuk Y. Geophysical criterion of pre-outburst coal outsqueezing from the face space into the working // Int. J. Mining Sci.&Technol. 2019. V. 29. Iss. 3. P. 499–506.
- Yang D., Chen Y., Tang J. et al. Experimental research into the relationship between initial gas release and coal-gas outbursts // J. Natural Gas Sci.&Engng. 2018. V. 50. P. 157–165.
- Guo H., Yuan L. An integrated approach to study of strata behaviour and gas flow dynamics and its application // Int. J. Coal Sci.& Technol. 2015. № 2. P. 12–21.
- Zhao B., Wen G., Sun H. et al. Similarity criteria and coal-like material in coal and gas outburst physical simulation // Int. J. Coal Sci. & Technol. 2018. V. 5. Iss. 2. P. 167–178.
- Физико-химия газодинамических явлений в шахтах. М.: Наука, 1972. 140 с.
- Христианович С.А. Механика сплошной среды. М.: Наука, 1981. 484 с.
- Руппенейт К.В. Некоторые вопросы механики горных пород. М.: Углетехиздат, 1954. 384 с.
- Турчанинов И.А., Иофис М.А., Каспарьян Э.В. Основы механики горных пород. Л.: Недра, 1989. 488 с.
- Gao W. Study on the width of the non-elastic zone in inclined coal pillar for strip mining// Int. J. Rock Mech. & Mining Sci. 2014. № 72. P. 304–310.
- Galindo R.A., Serrano A., Olalla C. Ultimate bearing capacity of rock masses based on modified Mohr-Coulomb strength criterion // Int. J. Rock Mech. & Mining Sci. 2017. № 93. P. 215–225.
- Христианович С.А. Распределение давления газа вблизи движущейся свободной поверхности угля // Изв. АН СССР. ОНТ. 1953. № 12. С. 1673–1678.
- Черданцев Н.В., Черданцев С.В. Анализ состояния углепородного массива, вмещающего пластовую выработку и геологическое нарушение // Изв. РАН МТТ. 2018. № 2. С. 110–121.
- Черданцев Н.В. Один из подходов к построению траектории трещины гидроразрыва в массиве горных пород вблизи горной выработки // ПММ. 2020. № 2. С. 208–233.
- Черданцев Н.В. Оценка геомеханического состояния краевой зоны угольного пласта, вмещающего непрочный прослоек // ПММ. 2021. № 2. С. 239–256.
- Соколовский В.В. Статика сыпучей среды. М.: Наука, 1990. 272 с.
- Черданцев Н.В. Результаты численного решения уравнений предельного состояния краевой зоны пласта и их аппроксимация полиномами // Безопасность труда в промышленности. 2019. № 6. С. 7–13.
- Черданцев Н.В. Исследование предельно напряженного состояния пласта в его краевой зоне методами механики сыпучей среды // Горный информ.-аналит. бюлл. 2020. № 3. С. 45–57.
- Лурье А.И. Теория упругости. М.: Наука, 1970. 940 с.
- Партон В.З., Перлин П.И. Методы математической теории упругости. М.: Наука, 1981. 688 с.
- Черданцев Н.В., Преслер В.Т., Изаксон В.Ю. Геомеханическое состояние анизотропного по прочности массива горных пород в окрестности сопрягающихся выработок // Физ.-техн. пробл. разраб. полезных ископ. 2010. № 2. С. 62–68.
- Булычев Н.С. Механика подземных сооружений. М.: Недра, 1984. 382 с.
- Баклашов И.В. Основы геомеханики. Т. 1. М.: Изд-во Моск. гос. геол. ун-та, 2004. 208 с.
- Зыков В.С. Внезапные выбросы угля и газа и другие газодинамические явления в шахтах. Кемерово, 2010. 334 с.
- Кузнецов С.В., Кригман Р.Н. Природная проницаемость угольных пластов и методы ее определения. М.: Наука, 1978. 122 с.
- Кузнецов С.В., Трофимов В.А. Газодинамика угольного пласта. Численный алгоритм, частные и приближенные решения // Горный информ.-аналит. бюлл. 2008. № 54. С. 304–324.
- Баренблат Г.И., Ентов В.М., Рыжик В.М. Движение жидкостей и газов в природных пластах. М.: Недра, 1984. 208 с.
- Ромм Е.С. Структурные модели порового пространства горных пород. Л.: Недра, 1985. 240 с.
- Захаров В.Н., Малинникова О.Н., Трофимов В.А., Филиппов Ю.А. Зависимость проницаемости угольного пласта от газосодержания и действующих напряжений // Физ.-техн. пробл. разраб. полезных ископ. 2016. № 2. С. 16–25.
- Conntell L.D., Lu M., Pan Z. An analytical coal permeability model for tri-axial strain and stress conditions // Int. J. Coal Geol. 2010. № 84. P. 103–114.
- Zhaoping M., Guoqing L. Experimental research on the permeability of high-rank coal under a varying stress and its influencing factors // Eng. Geol. 2013. № 162. P. 108–117.
- Shen W.Q., Liu S.Y., Xu W.Y., Shao J.F. et al. An elastoplastic damage constitutive model for rock-like materials with a factional plastic flow rule // J. Nat. Gas Sc. & Eng. 2018. № 50. P. 157–165.
- Пучков Л.А., Сластунов С.В., Коликов К.С. Извлечение метана из угольных пластов. М.: Из-во Моск. гос. горн. ун-та, 2002. 384 с.
- Седов Л.И. Механика сплошной среды. М.: Наука, 1984. 560 с.
- Хеллан К. Введение в механику разрушения. М.: Мир, 1988. 364 с.
- Черданцев Н.В. Постановка и решение задачи о раскрытии метаном кливажных трещин в краевой зоне угольного пласта // Вестн. Науч. центра ВостНИИ по промышленной и экологической безопасности. 2022. № 1. С. 14–26.
- Самарский А.А. Теория разностных схем. М.: Наука, 1977. 656 с.
- Рахматуллин Х.А., Сагомонян А.Я., Бунимович А.И., Зверев И.Н. Газовая динамика. М.: Высшая школа, 1965. 722 с.
Дополнительные файлы

















