Энергетическое разрешение спектрометра с конвертером из ориентированного кристалла
- Авторы: Басков В.А.1
-
Учреждения:
- Физический институт им. П.Н. Лебедева Российской академии наук
- Выпуск: № 5 (2024)
- Страницы: 37-47
- Раздел: ТЕХНИКА ЯДЕРНОГО ЭКСПЕРИМЕНТА
- URL: https://ogarev-online.ru/0032-8162/article/view/285699
- DOI: https://doi.org/10.31857/S0032816224050042
- EDN: https://elibrary.ru/EUCUVM
- ID: 285699
Цитировать
Полный текст
Аннотация
Ориентированный вдоль оси монокристаллический конвертер, находящийся перед электромагнитным спектрометром, меняет отклик спектрометра, регистрирующего электроны с энергиями в десятки ГэВ. При энергии электронов 26 и 28 ГэВ в зависимости от ориентации, толщины, типа кристаллического конвертора и толщины спектрометра относительное энергетическое разрешение спектрометра улучшается на величину от 15% до 80%.
Полный текст
1. ВЕДЕНИЕ
При взаимодействии γ-квантов, электронов и позитронов с энергией E > 100 МэВ с кристаллом в широком интервале углов входа частиц относительно кристаллографической оси (плоскости) Θ ~ V/m ⋅ c2 (V – масштаб потенциала оси или плоскости, m – масса электрона, c – скорость света) на длине формирования процессов излучения электроном (позитроном) и рождения e+e–-пар γ-квантом в кристалле l >> a (где a – постоянная решетки) оказывается большое число ядер. Когерентное взаимодействие частиц с этой совокупностью ядер приводит к значительному увеличению вероятности процессов и в конечном счете приводит к развитию аномальных электромагнитных ливней [1–3].
Особенно сильный эффект при входе частиц в кристалл с энергиями в десятки ГэВ возникает при углах Θ << V/m ⋅ c2 [2]. В этой области углов частица взаимодействует с полем не отдельных атомов или группой атомов, а практически со всей совокупностью атомов оси (плоскости) кристалла. Начинает работать механизм постоянного сильного поля (ПСП), приводящий еще к более значительному росту сечений электродинамических процессов [1, 2].
Отличие электромагнитного ливня, развивающегося в поле оси или плоскости ориентированного кристалла (кристалл считается ориентированным, когда Θ ≈ 0, где Θ – угол между импульсом γ-кванта, электрона или позитрона и осью (плоскостью) кристалла, относительно которой происходит ориентация) от стандартного электромагнитного ливня заключается в изменении практически всех параметров ливня: числе заряженных и незаряженных частиц, величинах радиационных длин, наличием температурной и ориентационной зависимостей и т. д., что ведет к изменению отклика спектрометра, регистрирующего этот ливень [4–7].
2. СПЕКТРОМЕТР НАПРАВЛЕННОГО ДЕЙСТВИЯ
Важным результатом, выходящим из теории и экспериментальных исследований, явилась возможность использования аномальных ливней в ориентированных кристаллах в практической деятельности, а именно, в создании спектрометров направленного действия (СНД) для применения в экспериментальной физике высоких энергий на ускорителях и космических исследованиях [2, 8–10].
Спектрометр направленного действия – это спектрометр полного поглощения, регистрирующий частицы в заданном направлении и представляющий из себя спектрометр с конвертером из ориентированного непрозрачного или прозрачного кристалла или спектрометр на основе непосредственно прозрачного кристалла (рис. 1а). Кристаллографическая ось конвертора или прозрачного кристалла-спектрометра направлена на источник частиц – на мишень или область взаимодействия в случае встречных пучков (рис. 1б).
Рис. 1. Схема спектрометров направленного действия: а – регистрация e-, e+, γ-квантов на основе ориентированных вдоль оси непрозрачных и прозрачных кристаллов, б – схема применения спектрометров направленного действия в экспериментальной установке.
В зависимости от целей установки и назначения, в которой используется СНД, в качестве конвертера можно использовать непрозрачные кристаллы типа кремния (Si), германия (Ge), вольфрама (W) и прозрачные кристаллы типа вольфрамата (PbWO4), граната (Gd3Ga5O12) и т. д. [9].
Область работы СНД определяется шириной ориентационной зависимости ΔΘ какого-либо параметра аномального ливня, например энерговыделения в детекторе, находящемся за кристаллом и регистрирующем ливень (рис. 2); ΔΘ является полной шириной угловой зависимости энерговыделения в детекторе на половине разности между минимальным (Θ >> 0) и максимальным (Θ ≈ 0) энерговыделениями относительно нулевого угла ориентации кристалла. Экспериментально определено, что порядок значений ΔΘ при энергиях электронов в десятки ГэВ и толщин кристаллов кремния и вольфрама tкрист ~ 0.25X0 (X0 – радиационная длина аморфного кристалла (X0 W = 0.35 см, X0 Si = 9.4 см)) будет составлять ΔΘSi ~ 1 мрад и ΔΘW ~ 10 мрад [4–10].
Рис. 2. Схема определения ширины ориентационной зависимости ΔQ ΔE энерговыделения электромагнитного ливня в черенковском счетчике толщиной 1X0, выходящего из кристалла вольфрама толщиной tW = 1 мм: Е = 28 ГэВ, TW = 77K, ось <111>.
Из анализа сравнения существующих результатов по регистрации стандартным электромагнитным спектрометром аномальных и стандартных ливней можно сделать важное замечание, состоящее в том, что спектрометр, регистрирующий стандартные ливни, можно условно назвать пассивным спектрометром с характеристиками, заданными при проектировании, которые уточняются при тестированиях на пучках частиц. Относительно небольшое количество экспериментальных работ, в которых исследовались спектрометры с ориентированными конверторами, показывают, что система “ориентированный конвертор – спектрометр” является условно активным спектрометром, поскольку ориентированный конвертор оказывает значительное влияние на отклик и характеристики спектрометра. Вотличие от отклика пассивного спектрометра,отклик активного спектрометра может меняться, уходя от конструктивно заданных параметров, при изменении параметров конвертора: типа, толщины, угла ориентации, температуры, потенциала оси ориентации [7].
В целом, можно считать, что пассивный спектрометр является частным случаем активного спектрометра при отсутствии или разориентации конвертора [4, 11, 12].
Поскольку ориентированный конвертор меняетотклик пассивного спектрометра наотклик активного спектрометра, то меняется и такая важнейшая характеристика электромагнитного спектрометра, как энергетическое разрешение.
В работе представлены результаты экспериментальных исследований энергетического разрешения электромагнитного спектрометра с ориентированным непрозрачным кристаллическим конвертором.
3. УСТАНОВКА “КАСКАД”
Работа была выполнена на установке “Каскад” на электронном канале ускорителя института физики высоких энергий (ИФВЭ, Протвино) в рамках программы изучения эффектов квантовой электродинамики в сильных полях ориентированных кристаллов [13].
Схема экспериментальной установки “Каскад” представлена на рис. 3 [14]. В работе использовались непрозрачные конверторы из кристаллов вольфрама (W) диаметром 20 мм толщинами 1, 2.7, 5.8 и 8.4 мм и кристалла кремния (Si) толщиной 20 мм. Исследования проводились при комнатной температуре кристаллов T1 = 293K и температуре жидкого азота T2 = 77K. Ориентация кристаллов вольфрама происходила вдоль кристаллографической оси <111>, кристалла кремния вдоль оси <110>. Разориентированным или аморфным считался кристалл, ось которого была повернута относительно импульса пучка электронов в сторону от кристаллографической оси на углы ΘW > 20 мрад и ΘSi > 4 мрад. Мозаичность кристаллов вольфрама и кремния составляла ΔΘМ W = 1 мрад и ΔΘМSi < 0.5 мрад. В эксперименте использовались пучки электронов с энергиями E = 26, 28 и 31 ГэВ с импульсным разбросом 0.76 ГэВ/с и расходимостью υ ≤ 0.1 мрад. Диапазон энергий фотонных пучков составлял 3–28 ГэВ.
Рис. 3. Схема экспериментальной установки “Каскад”: А1–А3 и С1–С6 – сцинтилляционные счетчики, ПК1–ПК3 – пучковые пропорциональные камеры, Р – радиатор, ММ – магнит системы мечения фотонов, Г – гониометр, М – кристаллический конвертор, Т – сцинтилляционный счетчик для регистрации заряженных частиц ливня, СЧЛС – составной черенковский ливневый спектрометр, ЧС – черенковский спектрометр; МСППС – многоканальный свинцово-сцинтилляционный спектрометр полного поглощения.
Ливни, выходившие из кристалла, регистрировались составным черенковским ливневым спектрометром (СЧЛС), в котором по анализу формы каскадных и интегральных кривых определялись характеристики электромагнитных ливней [15].
СЧЛС состоял из 10 независимых светоизолированных счетчиков (радиаторов) из свинцового стекла ТФ1 (рис. 4а). Счетчики имели одинаковый размер 100 × 100 мм2 и толщину 1X0 = 25 мм. Сигнал с каждого счетчика регистрировался фотоэлектронным умножителем ФЭУ-85.
Рис. 4. а – Схема ЧСПП и расположения ЧСПП и ЧС на пучке: 1 – радиатор; 2 – аллюминированный майлар, 3 – черная светонепроницаемая бумага, 4 – черная изоляционная лента, 5 – ФЭУ-85, 6 – делитель, 7 – крепления радиатора, ФЭУ и делителей, 8 – корпус. б – Схема ЧС: 1 – радиатор, 2 – ФЭУ-49, 3 – делитель, 4 – корпус.
Для сбора оставшейся части ливня за СЧЛС помещался черенковский спектрометр (ЧC) толщиной 15X0 (рис. 4б). ЧС имел шестигранный радиатор из свинцового стекла ТФ1 с диаметром вписанной окружности 180 мм. Для снятия сигнала использовался ФЭУ-49-Б. ЧС также использовался для калибровки СЧЛС.
Конструкция последовательного расположения счетчиков СЧЛС и ЧС дала возможность в эксперименте и последующей обработке экспериментальных результатов суммировать сигналы отдельных счетчиков и формировать различные толщины спектрометра, находящегося за кристаллом, от 1X0 до 10X0 и толщину суммарного спектрометра СЧЛС+ЧС равную 25X0.
Калибровка СЧЛС и ЧС была проведена на пучках электронов с энергиями 26 и 28 ГэВ в два этапа [14, 15]. На первом этапе была проведена калибровка ЧС, на втором этапе перед ЧС был помещен СЧЛС и прокалиброван суммарный спектрометр (ЧСПП+ЧС). При калибровке перед ЧСПП и перед суммарным спектрометром кристаллический конвертор отсутствовал.
4. КАСКАДНЫЕ КРИВЫЕ РАЗВИТИЯ ЭЛЕКТРОМАГНИТНЫХ ЛИВНЕЙ
На рис. 5 приведены каскадные кривые развития электромагнитных ливней от электронов с энергией 26 ГэВ, выходящие из разориентированных (а) и ориентированных вдоль оси <111> (б) кристаллов вольфрама 2.7, 5.8 и 8.4 мм при комнатной температуре TW = 293 K, и далее продолжающих развиваться в СЧЛС [5]. На рисунке по оси абсцисс отложена толщина спектрометра СЧЛС (tСЧЛС) в радиационных длинах, по оси ординат отложена средняя энергия ливня (<∆E>), оставленная им в каждом счетчике спектрометра. Кривая K – калибровочная кривая, относится к отсутствию перед СЧЛС кристаллического конвертора. В этом случае начало развития ливня приходится на первый счетчик СЧЛС.
Рис. 5. Каскадные кривые развития электромагнитного ливня в СЧЛС от электронов с энергией Ee = 26 ГэВ в зависимости от толщины разориентированных (а) и ориентированных вдоль оси <111> (б) кристаллов вольфрама перед СЧЛС, К – калибровка (кристалл перед СЧЛС отсутствует).
5. ЭНЕРГЕТИЧЕСКОЕ РАЗРЕШЕНИЕ ЭЛЕКТРОМАГНИТНЫХ СПЕКТРОМЕТРОВ
5.1. Среднеквадратичное разрешение
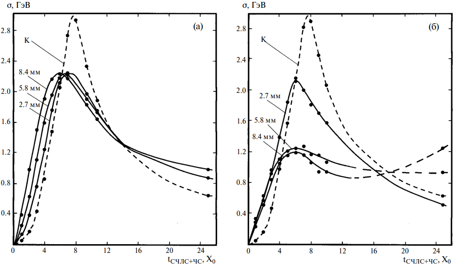
На рис. 6 показаны зависимости среднеквадратичного разрешения σ спектра энерговыделения ливня в счетчиках СЧЛС разной толщины и суммарного спектрометра (σ = FWHM/2.35, где FWHM – полная ширина на половине высоты спектра энерговыделения ливня в счетчиках, 2.35 = 2 (ln2)∙√2).
Рис. 6. Зависимость среднеквадратичного разрешения σ спектрометра СЧЛС+ЧС от его толщины tСЧЛС+ЧС и толщины разориентированного (а) и ориентированного вдоль оси <111> вольфрамового кристаллического конвертора (б); E = 26 ГэВ, TW =293K, К – калибровка (tW = 0), толщины кристаллов показаны слева от кривых.
При разориентированном и ориентированном состояниях конвертора перед суммарным спектрометром поведение σ от толщины спектрометра имеет качественно одинаковый характер развития ливня в СЧЛС, наблюдавшийся в [4]. Величина σ “тонкого” (2.7 мм) ориентированного конвертора в максимуме развития ливня при tСЧЛС ~ 5–8X0 изменилась несильно относительно разориентированного состояния. Однако в обоих случаях значения σ уменьшилась примерно на 25% относительно значения, полученного при калибровке спектрометра (конвертор отсутствует). При ориентации “толстых” конверторов (5.8 и 8.4 мм) величина σ уменьшилась еще примерно на 35% и уменьшение в сумме для этих конвертеров составило порядка 60% (рис. 5б). При толщинах СЧЛС tСЧЛС ≥ 5–8X0 и ориентированном конверторе хорошо видна сильная зависимость σ от толщины конвертора.
На рис. 6а видно стандартное поведение зависимости σ от толщины разориентированного конвертора [16]. Иное поведение σ наблюдается при наличии ориентированного конвертора перед суммарным спктрометром (рис. 6б). Особенно значительные различия наблюдаются для “толстых” кристаллов 5.8 мм и 8.4 мм.
Действительно, при ориентации кристалла качественно меняется суть конвертора, так как он из пассивного элемента конструкции спектрометра переходит в активный. В пассивном конверторе флуктуации в веществе конвертора значительные и увеличиваются с толщиной конвертора (рис. 5а) [17]. Взаимодействие ливневых частиц с атомными ядрами, т. е. излучение электронов и рождение e+e–-пар γ-квантами происходит по стандартному механизму Бете–Гайтлера [1, 2].
Развитие аномального ливня в ориентированном конверторе с последующем выходом из конвертора и дальнейшем развитием в аморфном веществе спектрометра имеет более сложный характер. В активном конверторе ливень развивается в электромагнитном поле большого числа ядер, ливневые частицы когерентно взаимодействуют с атомными ядрами. В поле кристаллографической оси возникают также процессы каналирования ливневых частиц с последующим излучением электронами и позитронами и рождением e+e–-пар фотонами. По мере развития ливня из-за уменьшения энергии ливневых частиц возрастает процесс рассеяния заряженных частиц на атомах кристаллографической оси и выход части частиц за пределы области когерентного взаимодействия ливневых частиц с атомами оси (процесс дезориентации). Вышедшие из области электромагнитного поля оси частицы снова начинают взаимодействовать с отдельными атомами. Однако из-за того же процесса рассеяния часть ливневых частиц обратно входит в область сильного осевого электромагнитного поля, продолжая процесс развития аномального ливня.
При выходе аномального ливня из кристалла его дальнейшее развитие продолжается, а аморфном веществе спектрометра с взаимодействием вторичных ливневых частиц уже с аморфным веществом. Однако эксперименты и рис. 5б и 6б показывают, что по выходу из кристалла аномальность ливня сохраняется. Особенно сильно отличие аномальных ливней от стандартных наблюдается при развитии ливня в “толстых” кристаллах 5.8 мм и 8.4 мм.
При таких толщинах кристаллов и tСЧЛС ≈ 5–8Х0 значения σ примерно на 45% меньше, чем при толщине кристалла tW = 2.7 мм. Это означает, что число ливневых частиц значительно и величины флуктуаций меньше, чем в случае тонких кристаллов. Однако в области толщин СЧЛС, tСЧЛС > 8Х0, зависимости σ для всех трех исследованных толщин кристаллов существенно различаются. Это можно объяснить тем, что по мере увеличения толщины кристалла поглощение вторичных ливневых частиц значительное, что приводит к увеличению σ.
5.2. Относительное энергетическое разрешение
Относительное энергетическое разрешение СЧЛС и суммарного спектрометра (СЧЛС+ЧС) δ = σ/ΔE (ΔE – доля энергии ливня, поглощенная спектрометром соответствующей толщины) в зависимости от толщины спектрометра и толщины кристалла, находящегося перед ним, при энергии электронов 26 ГэВ показано на рис. 7 и 8 соответственно [18].
Рис. 7. Зависимость относительного энергетического разрешения суммарного спектрометра от его толщины tСС при разориентированном (а) и ориентированном вдоль оси <111> вольфрамовом кристаллическом конверторе (б), E = 26 ГэВ, Tw =293K, К – калибровка (tW = 0).
Рис. 8. Зависимость относительного энергетического разрешения суммарного спектрометра от толщины вольфрамового кристаллического конвертора tW; толщина спектрометра СЧЛС в радиационных длинах показана справа от кривых; E = 26 ГэВ, ○ – калибровка, ● – tw = 293K; ▲, Δ – tw =77K: а – конвертор разориентирован, б – конвертор ориентирован вдоль оси <111>, в – суммарный спектрометр (tСЧЛС + ЧС = 25X0; ▲ и Δ – конвертор разориентирован и ориентирован вдоль оси <111> соответственно).
При различных длинах спектрометра наблюдается существенное (в 2–5 раз) улучшение энергетического разрешения суммарного спектрометра по сравнению с разрешением спектрометра без кристалла и с разориентированным кристаллом.
6. ОПТИМАЛЬНАЯ ТОЛЩИНА КРИСТАЛЛА И СПЕКТРОМЕТРА
На рис. 8 видно, что при данной энергии пучка электронов при разориентированном и ориентированном состояниях конвертора существует некоторая оптимальная толщина кристалла (tWopt), соответствующая оптимальной толщине спектрометра (tCCopt), при которой относительное энергетическое разрешение спектрометра наилучшее δ = δmin. На рис. 9 представлено соотношение оптимальных толщин кристаллического вольфрамового конвертора перед спектрометром (tWopt)) и толщин спектрометра (tCCopt), при которых относительное энергетическое разрешение суммарного спектрометра наилучшее.
Рис. 9. Соотношение оптимальных толщин кристаллического вольфрамового конвертора перед суммарным спектрометром (tW opt) и толщин суммарного спектрометра (tCC opt), при которых относительное энергетическое разрешение суммарного спектрометра наилучшее.
Этот эффект связан с двумя процессами. Первый – увеличение числа вторичных ливневых частиц при развитии ливня по мере увеличения толщины спектрометра и снижение относительной величины флуктуаций, второй – усиление процесса поглощения ливневых частиц и увеличение величины флуктуаций. При определенных толщинах конвертора и спектрометра наступает некоторое равновесие процессов, при котором относительное энергетическое разрешение спектрометра достигает оптимальной или наилучшей величины δ = δmin.
7. ОРИЕНТАЦИОННЫЕ ЗАВИСИМОСТИ ОТНОСИТЕЛЬНОГО ЭНЕРГЕТИЧЕСКОГО РАЗРЕШЕНИЯ
Поскольку параметры электромагнитного ливня, развивающегося в ориентированном монокристаллическом конверторе, и, соответственно, параметры отклика спектрометра зависят от степени ориентации кристаллографической оси или плоскости конвертора относительно оси пучка электронов или γ-квантов [2, 3, 5, 10], то и δ также должна иметь ориентационную зависимость ΔΘδ. Наличие ориентационной зависимости и ее ширины ΔΘδ является важным вопросом, поскольку остается интерес применения ориентированных кристаллов в экспериментальной технике [19, 20].
На рис. 10 показаны ориентационные зависимости δ при регистрации электромагнитных ливней первым счетчиком СЧЛС толщиной 1X0 для конверторов из кристаллов вольфрама (<111>) (а) и кремния (<110>) (б), полученные при энергии электронов 26 и 28 ГэВ.
Рис. 10. Ориентационные зависимости относительного энергетического разрешения δ первого счетчика СЧЛС (tСЧЛС = 1X0) от толщина кристаллического конвертора: а – вольфрамовый конвертор (<111>); б – кремневый конвертор (<110>); ●, ▲, ○ – E = 26 ГэВ; Δ, ■ – E = 28 ГэВ; Δ – T = 77K; ●, ▲, ○ – T = 293K; толщины конверторов показаны над зависимостями.
Для обоих типов кристалла видно существенное уменьшение δ при уменьшении угла ориентации. С увеличением толщины кристалла δ также улучшается, но при этом увеличивается ширина ориентационной зависимости ΔΘδ.
На рис. 10 видно, что при одинаковой энергии электронов δ в случае кристалла вольфрама несколько хуже, чем в случае кристалла кремния, даже с учетом существенно низкой температуры кристалла вольфрама, при которой δ должна быть еще меньше [21]. Этот эффект, возможно, связан с худшей степенью совершенства кристалла или мозаичностью вольфрама по сравнению с кристаллом кремния.
Зависимость ΔΘδ от толщины и типа кристалла при регистрации аномальных ливней первым счетчиком СЧЛС представлена на рис. 11. Видно, что зависимость линейная и ее можно описать простой формулой: ΔΘδ = α ∙ tW, где tW – толщина кристалла в радиационных длинах (tW [радиационная длина] = tW [мм]/X0 [мм]), α – коэффициент пропорциональности. В данном случае α = 12.5 мрад/рад.длин. В общем случае ширина ориентационной зависимости зависит от энергии частиц (ΔΘ ~ E−1/2 [22, 23]) и поэтому величина α также должна зависеть от энергии.
Рис. 11. Зависимость ширины ориентационной зависимости относительного энергетического разрешения ΔΘδ первого счетчика СЧЛС от толщины tкрист кристалов вольфрама (●, ○, <111>) и кремния (▲, <110>): ● – E = 26 ГэВ, TW = 293K; ○, ▲ – E = 28ЭГэВ, TW = 77K, TSi = 293K.
Более детально соотношение между δ и шириной ориентационной зависимости ∆Θδ кристаллов вольфрама и кремния показано на рис. 12. Действительно, δ улучшается с увеличением толщины кристалла и увеличением ∆Θδ. Можно предположить, что по мере увеличения толщины кристалла увеличивается число вторичных ливневых частиц, приводящее к уменьшению числа флуктуаций. С другой стороны, увеличивается рассеяние ливневых частиц на атомных ядрах кристалла, приводящее к увеличению ∆Θδ.
Рис. 12. Соотношение между относительным энергетическим разрешением δ первого счетчика СЧЛС и шириной ориентационной зависимости ∆Θδ кристаллов вольфрама (●, ○) и кремния (▲): ● – E = 26 ГэВ, TW = 293K; ○, ▲ – E = 28 ГэВ, TW = 77K, TSi = 293K; ●, ○ – <111>, ▲– <110>.
Надо отметить, что на рис. 5–8, 10 линии, описывающие экспериментальные результаты, проведены для наглядности. Погрешности значений энергетического разрешения определялись процедурой подгонки амплитудных спектров полиномом стандартной программы OriginPro 9.0 и составили 15–20% от значений величин, представленных на рисунках.
8. ЗАКЛЮЧЕНИЕ
Результаты исследования энергетического разрешения электромагнитного спектрометра с конвертором из ориентированного кристаллического конвертора показывают, что:
- ориентированный кристаллический конвертор перед спектрометром влияет на энергетическое разрешение спектрометра в сторону его улучшения;
- для каждой толщины спектрометра существует толщина кристаллического конвертора, при котором его энергетическое разрешение наилучшее;
- ширина ориентационной зависимости относительного энергетического разрешения пропорциональна толщине кристаллического конвертора, коэффициент пропорциональности должен зависеть от энергии частиц;
- применение ориентированных конверторов предпочтительно при высоких энергиях, поскольку переводит обычный спектрометр в спектрометр направленного действия, что дает возможность уменьшить толщину спектрометра и улучшить его энергетическое разрешение.
БЛАГОДАРНОСТИ
Автор выражает благодарность Е.И. Тамму и Е.И. Малиновскому за поддержку работы; В.И. Сергиенко за практическое руководство; В.В Ким и В.А. Хабло, а также Б.И. Лучкову (НИЯУ МИФИ) и В.Ю. Тугаенко (РКК “Энергия”) за помощь в работе.
Об авторах
В. А. Басков
Физический институт им. П.Н. Лебедева Российской академии наук
Автор, ответственный за переписку.
Email: baskov@x4u.lebedev.ru
Россия, 119991, Москва, Ленинский просп., 53
Список литературы
- Uggerhoj U.I. // Reviews of Modern Physics. 2005. V. 77. P. 1131. https://doi.org/10.1103/RevModPhys.77.1131
- Байер В.Н., Катков В.М., Страховенко В.М. Электромагнитные процессы при высокой энергии в ориентированных монокристаллах. Новосибирск: Наука, 1989.
- Ахиезер А.И., Шульга Н.Ф. // ЖЭТФ. 1983. Т. 85. С. 94.
- Басков В.А. // КСФ. 2012. № 10. С.28. https://doi.org/10.3103/S1068335612100041
- Басков В.А., Ким В.В., Лучков Б.И., Тугаенко В.Ю., Хабло В.А. // КСФ. 2013. № 5. С. 3. https://doi.org/10.3103/S1068335613050011
- Басков В.А. // КСФ. 2015. № 4. С. 3. https://doi.org/10.3103/S1068335615040016
- Басков В.А. // Письма в ЖЭТФ. 2014. Т. 99. С. 785. https://doi.org/10.7868/S0370274X14120017
- Soldani M., Bandiera L., Moulson M. et al. // Eur. Phys. J. C. 2023. V. 83. P. 101. https://doi.org/10.1140/epjc/s10052-023-11247-x
- Басков В.А., Ким В.В., Лучков Б.И., Тугаенко В.Ю., Хабло В.А. // Труды сессии-конференции ЯФ ОФН РАН “Физика фундаментальных взаимодействий”, ИТЭФ, Москва, 2011. С. 16. http://matras.itep.ru/npd2kl/Malyi_za/24_november/ ba/Pt
- Зверев В.Г., Лучков Б.И., Тугаенко В.Ю. Космофизика. Москва: Энергоиздат, 1987. С. 71.
- Басков В.А. // КСФ. 2016. № 5. С. 3. https://doi.org/10.3103/S1068335616050018
- Басков В.А. // КСФ. 2014. №3. С.32. https://doi.org/10.3103/S1068335614030051
- Байер В.Н., Басков В.А., Ганенко В.Б. и др. Препринт ФИАН №204. Москва, 1988.
- Baskov V.A., Khablo V.A., Kim V.V., Sergienko V.I. // Nucl. Instrum. Methods. Phys. Res. A. 1990. V. 297. P. 329. https://doi.org/10.1016/0168-9002(90)91315-3
- Басков В.А., Белоусов А.С., Ким В.В., Малиновский Е.И., Усик А.П., Хабло В.А // ПТЭ. 2011. Т. 5. С. 66.
- Словинский Б. // ЭЧАЯ. 1994. Т. 25. № 2. С. 417.
- Горячев В. Н., Денисов С. П. // Ядерная физика и инжиниринг. 2021. Т. 12. № 4. С. 229. https://doi.org/10.56304/S2079562920060275
- Басков В.А., Говорков Б.Б., Ким В.В., Лучков Б.И., Сергиенко В.И., Тугаенко В.Ю., Хабло В.А. // КСФ. 1992. № 9/10. С. 41.
- Tikhomirov V.V., Haurylavets V. V., Lobko A. S., Mechinsky V. A. // Engineering of Scintillation Materials and Radiation Technologies (ISMART 2016). 2017. V. 200. P. 259. https://doi.org/10.1007/978-3-319-68465-9_16
- Elsener K., Møller S.P., Petersen J.B.B., Uggerhøj E. // Cosmic Gamma Rays, Neutrinos, and Related Astrophysics. NATO ASI Series. V. 270. P 457. https://doi.org/10.1007/978-94-009-0921-2_31
- Басков В.А., Ким В.В., Лучков Б.И., Тугаенко В.Ю., Хабло В.А. // КСФ. 2012. № 8. С. 16. https://doi.org/10.3103/S1068335612080039
- Басков В.А., Ким В.В., Лучков Б.И., Тугаенко В.Ю., Хабло В.А. // КСФ. 2013. № 4. С. 35. https://doi.org/10.3103/S1068335613040052
- Басков В.А., Ким В.В., Лучков Б.И., Тугаенко В.Ю., Хабло В.А. // КСФ. 2011. № 6. С. 8. https://doi.org/10.3103/S1068335611060029
Дополнительные файлы














