Новая конструкция сцинтилляционных стрипов для модернизации детектора ДАНСС
- Autores: Свирида Д.Н.1,2
-
Afiliações:
- Национальный исследовательский центр “Курчатовский институт”
- Физический институт им. П. Н. Лебедева Российской академии наук
- Edição: Nº 4 (2024)
- Páginas: 69-78
- Seção: ТЕХНИКА ЯДЕРНОГО ЭКСПЕРИМЕНТА
- URL: https://ogarev-online.ru/0032-8162/article/view/279956
- DOI: https://doi.org/10.31857/S0032816224040087
- EDN: https://elibrary.ru/NYTCBQ
- ID: 279956
Citar
Texto integral
Resumo
Стрипы из сцинтилляционной пластмассы со спектросмещающими волокнами являются базовыми элементами чувствительного объема детектора реакторных антинейтрино ДАНСС. Необходимость оптимизации конструкции стрипов определяется ограничениями чувствительности эксперимента к поиску стерильных нейтрино из-за невысокого энергетического разрешения детектора. Новая конструкция стрипов характеризуется существенно бόльшим световыходом и лучшей равномерностью светосбора. Обсуждается методология регистрации света одновременно с обоих концов волокон, которая удваивает фотостатистику и дает информацию о продольной координате события. Работа отражает детали и статус модернизации детектора вместе с результатами недавних пучковых испытаний. Рассматривается также ожидаемое влияние улучшений на чувствительность к стерильному нейтрино.
Texto integral
ВВЕДЕНИЕ
Детектор ДАНСС (Detector AntiNeutrino based on Solid State scintillator, DANSS) создан для регистрации реакторных антинейтрино в реакции обратного бета-распада (ОБР), а фундаментальной задачей эксперимента является поиск стерильных нейтрино путем анализа потока и спектров антинейтрино на разных расстояниях от источника. Ныне действующий детектор содержит 2500 стрипов из сцинтиллирующей пластмассы на основе полистирола [1]. Каждый стрип имеет длину 1 м и поперечное сечение 40 × 10 мм2 . 25 параллельных стрипов формируют слой толщиной 1 см, тогда как 100 слоев, уложенных с чередованием направления, образуют 1 м3 чувствительного объема. Поверхностный слой каждого стрипа получен коэкструзией полистирола с примесями оксида титана для отражения света и оксида гадолиния для захвата нейтронов обратного бета-распада и имеет толщину около 300 мкм. Сбор света осуществляется при помощи трех спектросмещающих волокон Y-11(200) M производства KURARAY [2]. Волокна уложены в продольные канавки на одной из поверхностей стрипа и залиты силоксановым гелем [3] для улучшения оптического контакта. Центральное волокно каждого стрипа сопряжено с индивидуальным кремниевым фотоумножителем (КФУ). Боковые волокна каждых пяти стрипов из десяти последовательных слоев с одинаковой ориентацией собраны в пучки на фотокатодах 50 традиционных вакуумных фотоэлектроумножителей (ФЭУ). Регистрация света фотодетекторами обоих типов происходит с одной стороны стрипа, тогда как торцы волокон на противоположном конце стрипа отполированы и покрыты серебряной краской [4] для зеркального отражения.
Благодаря тому, что детектор не содержит легковоспламеняющихся или каких-либо других опасных материалов, оказывается возможным поместить его в непосредственной близости от промышленного ядерного реактора причем так, что ядро реактора и его биологическая защита располагаются выше детектора и создают существенное экранирование от космического излучения на уровне 50 м водного эквивалента. Расстояние между центрами чувствительного объема детектора и активной зоны реактора может изменяться в диапазоне от 10.9 до 12.9 м при помощи подъемной платформы. Многочисленные преимущества выводят эксперимент на ведущие позиции в области регистрации нейтрино: скорость счета достигает 5000 событий в сутки, а полная накопленная статистика превышает 7 миллионов событий за 7 лет почти непрерывной работы. Рисунок 1 иллюстрирует рост количества зарегистрированных событий ОБР в диапазоне 0.75–8 МэВ. Мелкая сегментация детектора в сочетании с мощной многослойной пассивной защитой и сцинтилляционной вето-системой позволяют получать исключительно чистый набор данных – отношение сигнала к фону превышает 50, и этот фон прецизионно вычитается. Рисунок 2 показывает сравнение скорости счета событий обратного бета-распада и мощности ядерного реактора. Статистическая точность каждого двухдневного измерения около 1.5%, для измерений на протяжении всех семи лет применена единая нормировка, определяемая данными ноября 2016 года. Высокая скорость счета и исключительная стабильность детектора дают возможность использовать регистрацию антинейтрино для независимого мониторирования мощности реактора.
Рис. 1. Накопление событий обратного бета-распада в эксперименте ДАНСС.
Рис. 2. Сравнение счета событий ОБР и мощности реактора. Цвета точек соответствуют верхнему (оранжевый), среднему (синий) и нижнему (зеленый) положению детектора, синяя линия показывает мгновенную мощность реактора, красные отрезки – ее усреднение за время измерения каждой точки.
В области своей фундаментальной задачи ДАНСС также занимает лидирующие позиции. В частности, область исключения параметров стерильного нейтрино, установленная на текущей статистике (рис. 3), достигает значения 5∙10−3 по углу смешивания, что является наилучшим мировым ограничением по этому параметру. Вместе с этим дальнейшее существенное улучшение чувствительности эксперимента оказывается невозможным без модернизации детектора.
Рис. 3. Область исключения (голубой цвет) на плоскости параметров стерильного нейтрино в сравнении с расчетной чувствительностью эксперимента (пунктирная кривая); оценки выполнены на текущей статистике.
МОДЕРНИЗАЦИЯ ДЕТЕКТОРА
Значительным недостатком существующего детектора является его весьма умеренное энергетическое разрешение, составляющее 34% для позитронов с энергией 1 МэВ. Среди особенностей, определяющих такое значение, можно выделить: невысокий световыход (18.9 фотоэлектронов/МэВ для КФУ и 15.3 ф. э./МэВ для ФЭУ), неравномерность светосбора из различных поперечных областей стрипа (около 8% среднеквадратичного отклонения), прочие неоднородности, например, неравномерность толщины коэкструзионного слоя, а также невозможность выполнить коррекцию на продольное затухание в стрипе для событий без срабатывания в соседнем поперечном слое, доля которых достигает 30%.
Приоритетной целью модернизации является улучшение энергетического разрешения более чем в два раза до 12% при 1 МэВ. При отказе от использования традиционных вакуумных ФЭУ оказывается возможным увеличить чувствительный объем на 70%, что приведет к увеличению скорости счета почти в два раза. Моделирование набора статистики модернизированным детектором показывает (рис. 4), что уже за 1.5 года работы область чувствительности детектора будет существенно расширена, причем в значительной степени в область больших значений массы стерильного нейтрино. Это, в свою очередь, позволит надежно проверить результат эксперимента Нейтрино-4 [5] и расширить область сравнения с экспериментом BEST [6].
Рис. 4. Чувствительность модернизированного эксперимента ДАНСС после 1.5 лет набора статистики (красная область) в сравнении с современной областью исключения параметров стерильного нейтрино (голубая область) и экспериментальными результатами Нейтрино-4 (звездочка) и BEST (точка и серые области).
При проведении модернизации предполагается расположить новую сборку сцинтилляционных стрипов внутри существующей структуры пассивной и активной защиты на той же подвижной платформе. Геометрические размеры стрипов будут увеличены до 20 × 50 × 1200 мм3 , так что куб чувствительного объема со стороной 1.2 м будет сложен из 60 слоев по 24 стрипа; как и ранее, направление стрипов в соседних слоях будет чередоваться. Количество канавок со спектросмещающими волокнами теперь увеличено до восьми, причем они располагаются на обеих поверхностях стрипа (рис. 5). Положения канавок оптимизированы при помощи МК-моделирования распространения света для достижения наименьшего среднеквадратичного разброса светосбора. Детали этой оптимизации можно найти в [7]. Сами стрипы изготовлены из полистирола методом объемной полимеризации с воздушным охлаждением [8] с последующей резкой и механической обработкой – такой подход дает выигрыш в количестве сцинтилляционного света по сравнению с экструзионным процессом. Светоотражающий слой на поверхности стрипа создается по технологии вспенивания самого полистирола [9], позволяющей хорошо контролировать толщину и избегать применения тяжелых элементов (например, титана). Оксид гадолиния, необходимый для захвата нейтронов от реакции ОБР, вводится в состав специально изготовленной полиэтиленовой пленки толщиной 250 мкм, которая будет укладываться между слоями стрипов. Такой подход позволяет надежно контролировать как поверхностную плотность гадолиния, так и геометрическую толщину пленки. Регистрация света осуществляется с обоих концов стрипа при помощи КФУ, оптически сопряженных с торцами спектросмещающих волокон. Разность времен распространения света до противоположных концов стрипа и соотношение зарегистрированных амплитуд сигналов будет использоваться для определения продольной координаты срабатывания, и в том числе учитываться для коррекции затухания света. Для сохранения количества каналов оцифровки все КФУ, расположенные с одного конца стрипа, объединяются аналоговым образом, тогда как каждый КФУ будет иметь индивидуальный канал питания для выравнивания коэффициентов усиления. Отказ от применения традиционных ФЭУ заставляет пересмотреть подход к построению системы сбора данных. В модернизированном детекторе не будет общего триггера, тогда как запись данных будет проводиться по условию совпадения сигналов от противоположных концов каждого стрипа независимо, а сборка событий будет выполняться при офлайн-обработке данных на основании временных меток. Новая малопотребляющая электроника вместе с эффективной системой водяного охлаждения позволит существенно снизить температуру в местах расположения КФУ, а следовательно, и собственный тепловой шум КФУ.
Рис. 5. Поперечное сечение сцинтилляционного стрипа с оптимизированными положениями канавок.
ПЕРВЫЕ ИСПЫТАНИЯ НОВЫХ СТРИПОВ
В первой партии стрипов, изготовленной по описанной технологии, с одного конца стрипа располагалось только 4 КФУ, обеспечивая регистрацию света каждого второго волокна в шахматном порядке. Остальные 4 волокна были сопряжены с КФУ на противоположном конце стрипа. Таким образом каждое из 8 спектросмещающих волокон считывалось только одним КФУ, а дальний от фотодетектора конец волокна, как и ранее, был отполирован и покрыт зеркальной краской. Как и ранее, использовались волокна Y-11(200) M. Испытания семи стрипов из этой партии [7] были выполнены на пионном пучке синхроциклотрона СЦ-1000 в ПИЯФ им. Константинова НИЦ “Курчатовский Институт”. Тестовая сборка стрипов в светонепроницаемом ящике располагалась между пропорциональными камерами, которые обеспечивали определение координат отрицательных пионов пучка с импульсом 730 МэВ/ с с точностью лучше 1 мм. Для исследования различных продольных участков тестовой сборки ящик перемещался в направлении, перпендикулярном оси пучка.
Результаты испытаний оказались весьма многообещающими [7]. Световыход по сумме всех 8 фотодетекторов составил около 70 ф. э./МэВ для событий, зарегистрированных в середине стрипа, тогда как к концам стрипа он возрастает на 7–8%. Поперечная неоднородность светосбора оценена в 3% в терминах среднеквадратичного отклонения. Временнόе разрешение для релятивистских пионов составило 1.1 нс, что соответствует точности продольной координаты около 12 см. Таким образом, реализованные конструктивные и технологические улучшения в два раза увеличили световыход и более чем в два раза уменьшили поперечную неоднородность светосбора, а также сделали возможным определение продольной координаты для любых событий с точностью, достаточной для учета затухания сигнала.
Измеренные характеристики выглядят почти достаточными для достижения поставленных целей модернизации. Действительно, фотостатистика соответствует разрешению чуть лучше 12%/МэВ, тогда как вклад поперечной неоднородности светосбора оказывается незначительным. Однако прочие неоднородности детектора, трудно поддающиеся простым оценкам, скорее всего, не дали бы возможности достигнуть целевого разрешения.
ДВУХСТОРОННЯЯ РЕГИСТРАЦИЯ СВЕТА
Надежды на дальнейшее улучшение ситуации были возложены на идею регистрации света с обоих концов каждого волокна, однако ее реализация потребовала решения непростой технологической задачи одновременного оптического сопряжения 16 КФУ с торцами волокон. КФУ устанавливается на печатные платы по технологии поверхностного монтажа. При этом обеспечить совмещение торца волокна с чувствительным окном КФУ в поперечном направлении несложно – достаточно пропустить волокна через отверстия в специальной направляющей панельке (далее – оптический коннектор), расположенные строго напротив КФУ. Гораздо большую сложность представляет обрезка волокна до необходимой длины ровно таким образом, чтобы его торцы на обоих концах упирались в поверхность КФУ. Даже небольшой избыток длины волокна приводит к его изгибам с возможным выходом за пределы канавки, тогда как появление зазора масштаба сотен микрон между торцом волокна и КФУ уже приводит к существенным потерям света. При этом сама поверхность торца должна быть полированной.
Для решения этой задачи была предложена и реализована следующая технологическая методика. Волокна нарезаются с избытком длины 50–70 мм и укладываются в канавки одновременно с заливкой гелем. Оптические коннекторы изготавливаются отдельно на фрезерном станке с числовым программным управлением (для массового производства будет использоваться пресс-форма или печать на фотополимерном 3D-принтере). После застывания геля коннектор надевается на волокна, смазанные эпоксидным клеем (рис. 6а), и фиксируется к телу стрипа винтами (не показаны на рис. 6). Когда клей застынет, стрип устанавливается в устройство, специально разработанное и изготовленное для срезания выступающих частей оптического коннектора. Устройство имеет два вращающихся режущих инструмента, расположенных на общем подвижном основании. Основание перемещается в горизонтальном направлении вдоль плоскости оптического коннектора при помощи ходового винта. При перемещении основания выступающие части коннектора вместе с избытком застывшего клея и выступающими концами волокон срезаются первым инструментом, представляющим собой дисковую фрезу. Второй инструмент – алмазный резец, закрепленный на вращающемся диске, – отрегулирован таким образом, чтобы дополнительно срезать 100–200 мкм с поверхностей, образующихся после прохода фрезы. Качество поверхности торца волокна после обработки таким резцом близко к полированному, тогда как торцы всех восьми волокон лежат в одной плоскости и готовы к сопряжению с КФУ на печатной плате (рис. 6б).
Рис. 6. Технология одновременного сопряжения 8 КФУ с торцами спектросмещающих волокон: а – волокна пропущены в отверстия оптического коннектора для последующей вклейки и фиксации; б – оптический коннектор после прохода двойного режущего инструмента; в – печатная плата с 8 КФУ установлена на коннекторе и выравнена с помощью направляющих.
Чувствительное окно КФУ имеет форму квадрата со стороной 1.3 мм, в то время как диаметр волокна составляет 1.2 мм. Смещение волокна более чем на 50 мкм от центра чувствительного окна приводит к потерям света. Автоматизированная технология монтажа КФУ на печатную плату обеспечивает относительную точность установки около 25 мкм. Аналогичная точность достижима при изготовлении оптического коннектора. В теле коннектора предусмотрены центрирующие отверстия (видны на рис. 6б), имеющие такое же расположение относительно центров волокон, как аналогичные отверстия в плате КФУ по отношению к центрам их чувствительных окошек. Прецизионное совмещение платы с оптическим коннектором осуществляется при помощи специального направляющего устройства. Плата с КФУ устанавливается на штыри направляющего устройства, которые затем совмещаются с центрирующими отверстиями коннектора. Через отверстия в теле направляющего устройства плата вместе с коннектором фиксируется на теле стрипа четырьмя винтами, после чего направляющее устройство удаляется. Одна сторона полностью снаряженного стрипа изображена на рис. 6в (не показаны винты крепления, а штыри направляющего устройства показаны условно, без самого устройства).
НОВЫЕ ВОЛОКНА YS-2 ПРОИЗВОДСТВА KURARAY
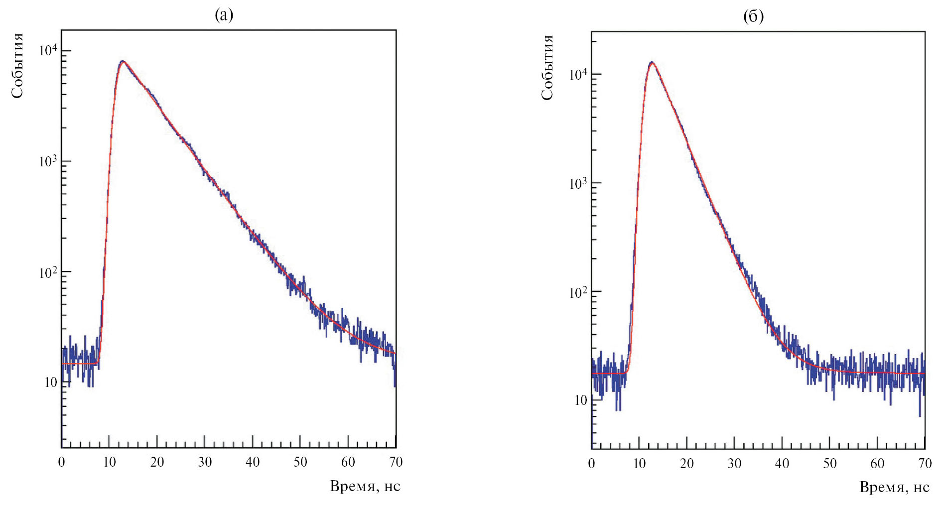
Дополнительное улучшение стало возможно благодаря появлению новых спектросмещающих волокон того же производителя, специально оптимизированных для временных измерений [10]. Недостаток информации о свойствах этих волокон вдохновил команду ДАНСС выполнить собственное исследование [11], в котором выполнено сравнение характеристик нового YS-2 и широко распространенного Y-11 волокон. Для определения времени высвечивания в работе применена методика регистрации однофотонных событий, временное распределение которых (рис. 7) описывается формулой
.
Формула учитывает отклик регистрирующей аппаратуры, описываемый гауссовым распределением с шириной σ. Времена высвечивания τ, полученные для исследуемых образцов, указывают на то, что волокно YS-2 (τ =4.0 нс) почти в два раза быстрее, чем Y-11 (τ =7.4 нс). Световыход нового волокна оказался на уровне или несколько выше, чем у традиционного Y-11, тогда как кривые затухания у обоих образцов практически совпали. Применение YS-2, таким образом, оказывается предпочтительнее по всем его параметрам.
Рис. 7. Распределения однофотонных событий по времени переизлучения в спектросмещающих волокнах Y -11 (а) и YS -2 (б).
ИСПЫТАНИЯ СТРИПОВ С ДВУХСТОРОННИМ СЧИТЫВАНИЕМ
Технология изготовления стрипов с полным двухсторонним считыванием была отработана и применена для сборки новой партии из восьми экземпляров с использованием волокна YS-2. Тестовые испытания выполнялись на вторичном пучке канала 14-протонного синхротрона У-70 [12] НИЦ “Курчатовский институт” – ИФВЭ. В качестве трековой системы использовались проволочные дрейфовые камеры с гексагональной структурой [13], обеспечивающие координатную точность не хуже 0.5 мм при эффективности свыше 98%. Дефокусированный пучок отрицательных частиц с энергией 26 ГэВ единовременно облучал часть тестовой сборки размером около 350 мм вдоль длинной стороны стрипа. Как и в предыдущем тесте, различные продольные зоны тестовой сборки вводились в пучок путем перемещения светонепроницаемого ящика в направлении, перпендикулярном оси пучка. При обработке данных зоны облучения в 4 позициях ящика разделялись на 10 приблизительно равных областей для исследования зависимостей от продольной координаты. В поперечном направлении разделение выполнялось на интервалы шириной 2 мм.
При проведении тестовых испытаний выполнялась индивидуальная оцифровка сигналов с каждого кремниевого фотоумножителя в противоположность рабочему режиму с аналоговым объединением. Так же, как в самом эксперименте ДАНСС, калибровка каждого канала КФУ [14] выполнялась при помощи набора и анализа шумовых спектров параллельно с записью основного потока данных на протяжении всего времени испытаний. С учетом температурного дрейфа усиления и вторичных сигналов вычислялась величина однофотоэлектронного сигнала и все дальнейшие оценки выполнялись в терминах количества фотоэлектронов.
Спектры световыхода для различных поперечных частей стрипа приведены на верхней части рис. 8. Вертикальная ось показывает поперечную координату каждого двухмиллиметрового интервала, тогда как цвет каждой точки соответствует количеству событий со световыходом, определяемым положением этой точки вдоль горизонтальной оси. Распределение, показанное на рис. 8а, получено для сигналов от единственного КФУ, в данном случае второго от верхней стороны, тогда как распределение на рис. 8б соответствует сумме сигналов от всех 16 КФУ выбранного стрипа; в обоих случаях исследуется продольная зона стрипа, ближайшая к его центру. На обоих рисунках хорошо просматриваются положения канавок. Нижние распределения являются суммарной проекцией всех поперечных координат за исключением краевых областей за пределами голубых линий на рис. 8а, б. Форма этих распределений сильно меняется в зависимости от выбора комбинации КФУ и не поддается описанию какой-либо наперед заданной функцией, поэтому мерой для сравнительных числовых оценок выбрана медиана распределения (оранжевая линия на рис. 8в, г). Так, для одного КФУ световыход, оцененный по медиане, составляет 36.7 фотоэлектронов, тогда как суммарный световыход всего стрипа равен 542.7 ф. э. Для сравнения с реальным энерговыделением выполнялось упрощенное МК-моделирование ионизационных потерь минимально-ионизирующей частицы в двухсантиметровом слое полистирола стрипа. Медиана этого распределения оказывается равной 3.7 МэВ. Таким образом, световыход, измеренный для выбранного стрипа, составляет 147 ф. э./МэВ, а среднее значение по всем испытанным стрипам близко к 140 ф. э./МэВ.
Рис. 8. Спектры световыхода для поперечных срезов стрипа шириной 2 мм (вверху), регистрируемые одним КФУ (а) и всеми КФУ (б); суммарные по всем поперечным координатам спектры световыхода (в, г) для тех же комбинаций КФУ с проведенными медианами распределений.
Измерения зависимости световыхода от продольной координаты (рис. 9) показывают, что ослабление света при его распространении от конца стрипа, дальнего от фотодетектора, составляет около 33% (более точно, при изменении дальности на 1100 мм). Это несколько хуже, чем следует из приводимой производителем длины затухания более 3.5 м, но объясняется, возможно, более быстрым затуханием на коротких расстояниях от торца волокна из-за свойств распространения света в его оболочках. Суммарная по обоим концам стрипа зависимость световыхода демонстрирует почти плоское поведение – отклонения от среднего значения составляют всего ±2.6% от минимума до максимума. Такое свойство означает, что, даже если полностью отказаться от введения коррекций на продольное затухание, вклад этого эффекта в энергетическое разрешение будет незначительным.
Рис. 9. Световыход с каждого из концов стрипа (сиреневая и голубая линии) и по сумме всех КФУ (оранжевая линия) в зависимости от продольной координаты.
Используемая аппаратура сбора данных позволяет вычислять лишь относительные времена между любой парой сигналов в одном событии. Для оценки временного разрешения стрипа как целого можно использовать разность средних времен сигналов от каждого из концов. Распределение такой разности показано на рис. 10а для области засветки длиной 115 мм вблизи центра стрипа. Среднеквадратичный разброс составляет 0.69 нс, но включает в себя эффект от конечного размера области засветки. Если исключить этот вклад, временное разрешение оценивается в 0.59 нс. Зависимость упомянутой разности времен от продольной координаты центра засветки приведена на рис. 10б, вертикальные отрезки иллюстрируют ширины распределений, аналогичных рис. 10а, тогда как сама зависимость весьма близка к линейной. Задержка распространения составляет 5.3 нс/м, что в точности соответствует показателю преломления полистирола центральной части волокна. Несколько избыточная измеряемая скорость распространения может означать не полностью скомпенсированный амплитудный эффект при определении временных параметров сигналов. Этот эффект, однако, не мешает использовать временные измерения для определения продольной координаты, поскольку фактическая задержка распространения может быть вычислена в условиях работающего детектора с использованием событий со срабатываниями в соседних перпендикулярных слоях. Точность определения продольной координаты по разности времен составляет 5.6 см для минимальной ионизирующей частицы, пересекающей стрип перпендикулярно его плоскости. Для частицы, выделяющей в стрипе энергию 1 МэВ, можно ожидать двукратного ухудшения этой оценки. Такой точности, тем не менее, вполне достаточно для вычисления коррекции на продольное затухание.
Рис. 10. Распределение разности средних времен регистрации сигналов на противоположных концах стрипа при засветке центрального участка длиной 115 мм (а) и изменение величины этой разности в зависимости от продольной координаты в стрипе (б).
ЗАКЛЮЧЕНИЕ
Эксперимент ДАНСС занимает лидирующие позиции в области регистрации реакторных антинейтрино, однако умеренное энергетическое разрешение существующего детектора ограничивает дальнейшее продвижение в оценках существования стерильного нейтрино. Модернизация нацелена на более чем двукратное улучшение энергетического разрешения. Предложена и испытана новая конструкция основного элемента чувствительного объема детектора – сцинтилляционного стрипа со спектросмещающими волокнами. Увеличено количество волокон, оптимизировано их расположение на поверхности стрипа, разработана методика двусторонней регистрации света с обоих концов каждого волокна. Результаты пучковых испытаний показывают характеристики, превосходящие намеченные значения: фотостатистика соответствует разрешению 8.5% при энергии 1 МэВ, неоднородность светосбора лишь незначительно ухудшает этот показатель, в то время как эффект продольного затухания света невелик сам по себе и может быть полностью компенсирован за счет измерения продольной координаты по разности времен прихода сигналов на противоположные концы стрипа.
БЛАГОДАРНОСТИ
Коллаборация ДАНСС благодарит коллективы Лаборатории мезонной физики НИЦ “Курчатовский институт” – ПИЯФ и Лаборатории поляризационных исследований НИЦ “Курчатовский институт” – ИФВЭ за предоставление пучковой инфраструктуры и содействие в проведении тестовых испытаний.
ФИНАНСИРОВАНИЕ РАБОТЫ
Настоящая работа выполнена при поддержке Российского научного фонда (грант 23-12-00085, https://rscf.ru/project/23-12-00085/).
Sobre autores
Д. Свирида
Национальный исследовательский центр “Курчатовский институт”; Физический институт им. П. Н. Лебедева Российской академии наук
Autor responsável pela correspondência
Email: Dmitry.svirida@itep.ru
Rússia, Москва; Москва
Bibliografia
- Alekseev I., Belov V., Brudanin V., Danilov M., Egorov V., Filosofov D., Fomina M., Hons Z., Kazartsev S., Kobyakin A., Kuznetsov A., Machikhiliyan I., Medvedev D., Nesterov V., Olshevsky A. et al. // JINST. 2016. V. 11. № 11. P. 11011. https://doi.org/10.1088/1748-0221/11/11/P11011
- http://kuraraypsf.jp/psf/ws.html.
- http://www.surel.ru/silicone/76/.
- https://www.eptanova.com/sites/default/files/download_products/silver-shine_eng.pdf.
- Serebrov A.P., Samoilov R.M., Ivochkin V.G., Fomin A.K., Zinoviev V.G., Neustroev P.V., Golovtsov V.L., Volkov S.S., Chernyj A.V., Zherebtsov O.M. // Phys. Rev. D. 2021. V. 104. № 3. P. 032003. https://doi.org/10.1103/PhysRevD.104.032003
- Barinov V.V., Cleveland B.T., Danshin S.N., Ejiri H., Elliott S.R., Frekers D., Gavrin V.N., Gorbachev V.V., Gorbunov D.S., Haxton W.C., Iragimova T.V., Kim I., Kozlova Yu.P., Kravchuk L.V., Kuzminov V.V. et al. // Phys. Rev. Lett. 2022. V.128. № 23. P. 232501. https://doi.org/10.1103/PhysRevLett.128.232501
- Alekseev I., Belov V., Bystryakov A., Danilov M., Ershova A., Filosofov D., Fomina M., Kazartsev S., Kobyakin A., Kozlenko N., Kuznetsov A., Machikhiliyan I., Mamedov F., Medvedev D., Nesterov V. et al. // JINST. 2022. V. 17. № 04. P. 04009. https://doi.org/10.1088/1748-0221/17/04/P04009
- https://iftp.ru/cat/detektory-stsintillyatsionnye-plastmassovye/.
- http://www.uniplast-vladimir.com/scintillation.
- http://kuraraypsf.jp/pdf/YSSeries_201007.pdf.
- Alekseev I., Danilov M., Rusinov V., Samigullin E., Svirida D., Tarkovsky E.// JINST. 2022. V. 17. № 1. P. 01031. https://doi.org/10.1088/1748-0221/17/01/P01031.
- http://www.oku.ihep.su/index.php/uskoriteli/opisanie-uskoritelnogo-kompleksa.
- Alekseev I.G., Bordyuzhin I.G., Budkovskii P.E., Kalinkin D.V., Kanavets V.P., Koroleva L.I., Manaenkova A.A., Morozov B.V., Nesterov V.M., Ryl’tsov V.V., Svirida D.N., Sulimov A.D., Fedin D. A., Andreev V.A., Golubev V.V. et al.// Instrum. Exp. Tech. 2014. V. 57. № 5. P. 535. https://doi.org/10.1134/S0020441214050029.
- Alekseev I.G., Belov V.V., Danilov M.V., Zhitnikov I.V., Kobyakin A.S., Kuznetsov A.S., Machikhiliyan I. V., Medvedev D.V., Rusinov V.Y., Svirida D.N., Skrobova N.A., Starostin A.S., Tarkovsky E.I., Fomina M. V., Shevchik E.A., Shirchenko M.V. // Phys. Part. Nucl. Lett. 2018. V. 15. № 3. P. 272. https://doi.org/10.1134/S1547477118030020.
Arquivos suplementares











