Новая герметичная ячейка с микролитровыми полостями для температурных измерений структуры растворов методом малоуглового рентгеновского рассеяния
- Authors: Ильина К.Б.1,2, Конарев П.В.1,2, Суханов А.Е.1,2, Волков В.В.1,2, Марченкова М.А.1,2, Петерс Г.С.2, Писаревский Ю.В.1,2, Шишков В.А.1,2
-
Affiliations:
- Институт кристаллографии им. А.В. Шубникова Российской академии наук Федеральный научно-исследовательский центр “Кристаллография и фотоника”
- Национальный исследовательский центр “Курчатовский институт”
- Issue: No 3 (2024)
- Pages: 91-99
- Section: ОБЩАЯ ЭКСПЕРИМЕНТАЛЬНАЯ ТЕХНИКА
- URL: https://ogarev-online.ru/0032-8162/article/view/277675
- DOI: https://doi.org/10.31857/S0032816224030122
- EDN: https://elibrary.ru/OUXOGR
- ID: 277675
Cite item
Full Text
Abstract
Разработана и испытана ячейка для образцов с повышенной по сравнению со стандартными кварцевыми капиллярами эффективностью для исследования структуры растворов методом малоуглового рентгеновского рассеяния (МУРР). Круглое сечение стандартного кварцевого капилляра приводит к уменьшению эффективной апертуры и появлению дополнительного паразитного рассеяния. Особенностью конструкции ячейки является наличие плоскопараллельных рентгенопрозрачных окон, обеспечивающих значительное улучшение соотношения сигнал/шум данных МУРР по сравнению с данными, полученными при использовании стандартных импортных капилляров. Конструкция ячейки включает по крайней мере две одинаковые микролитровые полости для образцов, что позволяет в одном эксперименте сравнить измеряемый объект с эталонным раствором или использовать растворы с различными химическими составами (в том числе концентрациями). Проведены тестовые измерения для стандартного капилляра и предлагаемой ячейки, показавшие существенно более изотропную картину рассеяния при использовании ячейки. Ее преимуществами являются конструкция с возможностью многократного использования ячейки и замена импортных изделий (кварцевых капилляров). Ячейка успешно испытана для изучения кристаллизационных растворов дигидрофосфата калия и белка лизоцима при различных температурах.
Full Text
1. ВВЕДЕНИЕ
Как правило, измерения методом малоуглового рентгеновского рассеяния (МУРР) проводятся с использованием в качестве измерительной ячейки проточных [1] или закрытых с одного конца [2] кварцевых капилляров, которые производятся за рубежом. При горизонтальном расположении капилляра его верхняя и нижняя стенки работают как элементы рентгеновской оптики с отрицательным показателем преломления и эффектом полного внешнего отражения рассеянного в воздухе излучения. В результате детектор концентрирует в вертикальном направлении слабый ореол рассеянного в воздухе излучения, а в горизонтальном направлении этот эффект занимает больший угловой диапазон. Таким образом, цилиндрический капилляр приводит к анизометричной картине рассеяния, измеряемой двумерным детектором. Кюветы с плоскопараллельными стенками свободны от этих нежелательных эффектов. Кроме того, при использовании одноразовых (непроточных) капилляров для исследований требуется большое их количество. Использование многоразовых кювет позволит сократить расход одноразовых материалов. Плоские ячейки позволяют работать с большими сечениями пучка, что иногда требуется для радиационно-чувствительных образцов. Кроме того, они позволяют легко контролировать толщину образца, что очень важно для сильно поглощающих объектов. На различных зарубежных синхротронах было разработано несколько типов плоских ячеек [3–8]. Однако все эти разработки имели недостатки: в случае разработки ячейки для станции БиоМУР [8] проблема заключалась в хрупкости тонкого кварцевого окна. В случае других ячеек [3–7] существует ограничение, связанное с тем, что они имеют одну полость. А для проведения серии измерений для различных образцов необходимо иметь несколько подобных ячеек. Предлагаемая плоская ячейка имеет по крайней мере две полости, что более удобно для пользователей и не требует наличия нескольких ячеек. Кроме всего прочего, в других работах не рассматривались особенности двумерного профиля сечения пучка, который представлен в данной работе.
В настоящей работе описывается разработанная конструкция ячейки для исследований структуры растворов методом МУРР. Для демонстрации возможностей предложенной ячейки было проведено сравнение уровня сигнала в данных МУРР от белка лизоцима с использованием ячейки и в стандартном кварцевом капилляре, а также были выполнены расширенные исследования структуры ненасыщенных и пересыщенных растворов KH2PO4 и образование кластеров-прекурсоров при росте кристаллов тетрагональной сингонии. Ранее структура растворов и образование кластеров-прекурсоров при росте кристаллов KH2PO4 были исследованы методом МУРР с использованием стандартных кварцевых капилляров для нескольких значений пересыщения [8]. В данной работе структура ненасыщенных и пересыщенных растворов KH2PO4 была исследована более детально с использованием ячейки с плоскопараллельными окнами, что позволило существенно улучшить качество сигнала в данных МУРР и повысить надежность результатов анализа.
2. МАТЕРИАЛЫ И МЕТОДЫ
2.1. Материалы и изготовление ячейки
При изготовлении ячейки было необходимо учесть несколько важных условий: материал окон должен был быть прозрачен для рентгеновского излучения, так чтобы избежать избыточного поглощения, а также вкладов паразитного рассеяния; материалы резервуара должны были быть химически стойкими к воздействию различных композиций растворов, а также устойчивыми к изменению температуры.
Ячейка представляет собой многослойную структуру. С внешних сторон располагаются пластины из стали с отверстиями для прохождения рентгеновского излучения (рис. 1). Между пластинами располагается пленка из слюды, которая закрывает отверстия и служит рентгенопрозрачными окнами ячейки. Толщина слюдяных пленок составляла 30 мкм, пластины изготовлены по ГОСТ 13750-88, марка СОВ. Материал окон был выбран ранее по результатам исследования различных материалов [2]. Также слюда является химически инертным материалом [9] и выдерживает воздействие высоких температур [10].
Рис. 1. Ячейка с плоскопараллельными окнами, состоящая из стальных пластин со сквозными отверстиями для прохождения рентгеновского излучения, рентгенопрозрачных окон из слюды, уплотнительных колец, обеспечивающих герметичность конструкции и защиту образца от контакта с металлом, и винтов, соединяющих всю конструкцию.
Между двумя слюдяными пленками располагается еще одна стальная пластина, высота этой пластины создает необходимую высоту резервуара образца. В резервуарах располагаются уплотнительные кольца из фторкаучука с внутренним диаметром 4 мм, внешним диаметром 6 мм, толщиной 1.4±0.1 мм (004-006-14 ГОСТ 9833-73), которые позволяют герметизировать резервуар с образцом и скомпенсировать давление пластины, а также минимизировать контакт образцов с металлическими пластинами. Все части ячейки скрепляются равномерно расположенными винтами.
Ячейка состоит из двух резервуаров объемом примерно 18 мкл: один для образца, другой для растворителя образца. Такая конфигурация позволяет загрузить и исследовать за один раз и образец, и растворитель, что экономит время по сравнению с необходимым при последовательной загрузке.
Загрузка образца осуществляется в разобранной ячейке с помощью микропипеток. После загрузки образца и растворителя ячейка собирается и помещается в термостатируемый держатель, конструкция которого описана в работе [11]. Термостатирование образца при этом происходит за счет циркуляции жидкости, подаваемой термостатом JulaboFP-89HL, по каналам внутри латунной шайбы с обратной стороны держателя.
2.2. Материалы и подготовка образцов
Для приготовления исследуемых растворов использовались кристаллы KH2PO4 (CAS # 7778-77-0) высокой чистоты, которые растворялись в ультрачистой воде Millipore (сопротивление воды 18 МОм∙см). Концентрация раствора составляла 501 мг/мл, при данной концентрации раствор является насыщенным при температуре 60°С. Раствор KH2PO4 нагревался и выдерживался при температуре 90°C до полного растворения кристаллов. После полного растворения исследуемый раствор загружался в ячейку, в которой и происходили дальнейшие измерения образца. Для того чтобы избежать повторной кристаллизации вследствие изменения температуры в процессе загрузки раствора в капилляр, образец в капилляре выдерживался в термостатируемом держателе при температуре 90°С в течение 1 ч. Затем температура образца плавно снижалась до необходимого значения.
Для приготовления образцов использовался очищенный лизоцим из куриного яйца (HEWL) фирмы Sigma (CAS # 12650-88-3) без дополнительной очистки и хлорид натрия с высоким классом чистоты фирмы Helicon (CAS # 7647-14-5) в качестве осадителя. В качестве растворителя была использована протонированная ультрачистая вода Millipore (с сопротивлением 18 МОм∙см. Лизоцим и хлорид натрия растворялись в натрий-ацетатном буфере 0.2 M (далее буфер) фирмы Helicon (CAS # 6131-90-4) с pH = 4.5. Все растворы фильтровались с помощью мембранных шприцевых фильтров Millex с размером пор 0.22 мкм, а раствор белка выдерживался в центрифуге с частотой 10000 об./мин в течение 10 мин. Концентрация белка в растворе 80 мг/мл, а хлорида натрия 50 мг/мл. Белок с осадителем смешивался в соотношении 1:1, концентрация белка и осадителя в исследуемых растворах составляла 40 и 25 мг/мл соответственно.
2.3. Методика МУРР-измерений
Измерения МУРР растворов KH2PO4 и лизоцима с использованием кварцевых капилляров с внешним диаметром 2 мм и ячейки осуществлялись на станции “БиоМУР” Курчатовского источника синхротронного излучения второго поколения (НИЦ “Курчатовский институт”) [2, 12]. Применялось монохроматическое излучение с длиной волны 0.1445 нм (энергия излучения 8.5 кэВ), для регистрации сигнала использовался двумерный пиксельный детектор Pilatus3 1M (Dectris, Швейцария). Расстояние образец–детектор составляло 700 мм, что соответствовало угловому диапазону вектора рассеяния s = 1.0–6.0 нм–1, где s = 4πsin(θ)/λ, 2θ — угол рассеяния, λ — длина волны рентгеновского излучения. Поток фотонов на образце 1.86 ⋅ 1010 фот./с, размер сфокусированного пучка на детекторе 0.48×0.26 мм2 по полуширине, 1.7×1.2 мм2 — полный.
2.4. Методика обработки данных МУРР
Первичная обработка экспериментальных малоугловых данных (радиальное усреднение) проводилась с помощью программы FIT2D [13]. C использованием программы PRIMUS [14] из кривых рассеяния для растворов KH2PO4 и лизоцима вычиталось рассеяние для раствора растворителя. Средний радиус инерции частиц Rg оценивался по приближению Гинье [15] и с помощью непрямого фурье-преобразования программой GNOM [16].
Интенсивность рассеяния в многокомпонентной системе (в случае разбавленного раствора) может быть представлена в виде линейной комбинации рассеяния на ее компонентах в следующем виде:
, (1)
где N — количество компонентов системы, vk и Ik(s) — относительная объемная доля и интенсивность k-го компонента соответственно.
Для определения объемных долей кластеров-прекурсоров раствора KH2PO4 использовалась программа OLIGOMER [14]. Кристаллографические модели олигомерных кластеров KH2PO4 были построены по методике, описанной в работе [17]. Расчет теоретических кривых олигомерных компонентов проводился с помощью программы CRYSOL [18].
Качество приближения оценивалось с помощью минимизации невязки c2 между экспериментальными данными и рассчитанными модельными приближениями по следующей формуле:
, (2)
где N — число экспериментальных точек, c — масштабирующий коэффициент, Icalc(s) и s(sj) — рассчитанная интенсивность и ошибка экспериментальной интенсивности соответственно.
3. РЕЗУЛЬТАТЫ И ИХ ОБСУЖДЕНИЕ
Особенностью метода МУРР является то, что результирующая картина рассеяния на детекторе включает в себя вклад от всех рассеивающих неоднородностей электронной плотности, имеющихся на пути к нему от источника излучения. Попадая на держатель, излучение частично поглощается капилляром и рассеивается далее им же, а также присутствующим внутри раствором образца (что и дает полезный сигнал для дальнейшей обработки), а частично из-за особенностей строения капилляра верхняя и нижняя стенки капилляра работают как элементы рентгеновской оптики, излучение рассеивается еще сильнее и оставляет заметную “тень” на детекторе (рис. 2).
Рис. 2. Рентгенограмма рассеяния от пустого капилляра. Красным выделена засвеченная область от излучения, прошедшего мимо и сквозь стенки капилляра. Для усиления эффекта пучок слегка смещен по вертикали относительно оси капилляра.
Также использование капилляров приводит к тому, что волновой фронт пучка рентгеновского излучения, размеры которого в силу большого эмиттанса на Курчатовском источнике синхротронного излучения с учетом расстояния монохроматора до источника 24 м не могут быть меньше, чем 300–350 мкм FWHM в вертикальном измерении, искажается сферичностью стенок капилляра, которая при отношении диаметра капилляра к размеру пучка менее 10 может приводить к заметным погрешностям при проведении экспериментов. В этом случае проведение полноценного интегрирования двумерной картины рассеяния по всей рабочей области детектора становится невозможным. Необходимо интегрировать рентгенограмму отдельно в областях внутри капилляра и вне капилляра, при этом исключив из рассмотрения области с наличием “тени”, а затем сшивать две полученные кривые по области общих углов рассеяния. Данное обстоятельство существенно снижает отношение сигнал/шум в данных МУРР, кроме того, сшитая кривая может содержать резкие изменения в уровнях шума при переходе от одной области интегрирования к другой.
С целью минимизации возникновения артефактов на рентгенограмме и улучшения качества экспериментальных данных МУРР была сконструирована ячейка с плоскопараллельными окнами.
Для сравнения качества данных МУРР, полученных в ячейке с плоскими окнами и в кварцевом капилляре, были проведены тестовые измерения лизоцима. На рис. 3. представлены двумерные рентгенограммы растворов лизоцима в капилляре (а) и в ячейке (б).
Рис. 3. Двумерные картины рассеяния растворов лизоцима с концентрацией 40 мг/мл в капилляре (а) и в ячейке с плоскопараллельными окнами (б). Красным выделена область интегрирования, не содержащая артефактов по всем углам рассеяния, серым — возможное расширение области интегрирования, оказавшееся нецелесообразным ввиду наличия нерабочего промежутка между регистрирующими блоками детектора.
Наличие теневых областей на рентгенограмме при проведении экспериментов в капилляре приводит к тому, что для интегрирования без искажения конечной кривой МУРР остается доступной только область внутри капилляра (показана красным на рис. 3а). Попытки интегрирования в более широкой области приводят к тому, что вклад в интенсивность кривой МУРР начинают давать также эти теневые области, и это приводит к искажению сигнала.
При использовании ячейки с плоскопараллельными стенками удалось полностью устранить все вышеперечисленные недостатки и получить изотропную картину рассеяния (рис. 3б). Таким образом, проводить интегрирование стало можно по всей рабочей области детектора, и это на порядок и более увеличило регистрируемую интенсивность рассеяния. Влияние нерабочих промежутков детектора в таком случае сводится к нулю, поскольку практически всем неактивным точкам (пикселям) детектора, соответствующим нулевой интенсивности в каком-то конкретном угле рассеяния, будет соответствовать также и полезный сигнал при другом азимуте интегрирования, причем число таких азимутов будет значительно превышать число “пустых” азимутов.
На рис. 4 показаны кривые МУРР от растворов лизоцима, полученные с использованием капилляра и ячейки.
Рис. 4. Кривые МУРР растворов лизоцима с концентрацией 40 мг/мл. Время экспозиции составляло 300 с.
На основе полученных данных для лизоцима с концентрацией 40 мг/мл была проведена оценка общего уровня шума полученных кривых МУРР методом наименьших квадратов. Отношение среднеквадратичных отклонений к максимуму интенсивности рассеяния в капилляре при использовании интегрирования только внутри капилляра (красная область на рис. 3а) составило (1.31±0.14)∙10–1, при использовании интегрированной сшивки данных — (1.57±0.19)∙10–2. При использовании ячейки с плоскопараллельными окнами отношение среднеквадратичных отклонений к максимуму интенсивности рассеяния (без интегрированной сшивки) составило (8.45±0.55)∙10–3.
При использовании ячейки с плоскопараллельными окнами кривые МУРР стали значительно менее шумными по сравнению с капилляром за счет возможности проведения интегрирования по всей области детектора и, соответственно, роста диапазона доступных азимутальных углов.
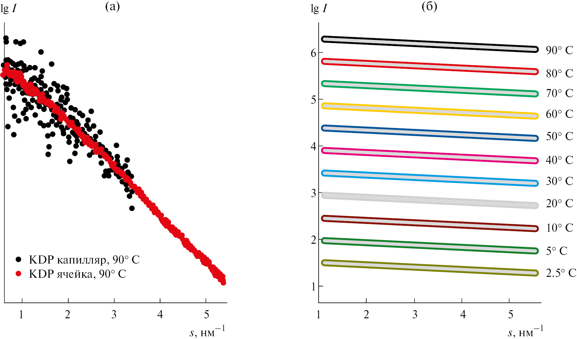
Использование ячейки для слабо рассеивающих и сильно поглощающих образцов должно существенно повысить качество данных и результат обработки. Для оценки улучшения качества данных при использовании ячейки по сравнению с данными при использовании капилляра было проведено измерение насыщенных и ненасыщенных растворов KH2PO4 (KDP). Измерения раствора KDP с концентрацией 501 мг/мл проводились, начиная с температуры 90°С, при такой температуре раствор является ненасыщенным. Далее температура снижалась, и при достижении температуры 60°С раствор становился насыщенным, дальнейшее понижение температуры продолжалось до температуры 2.5°С.
На рис. 5а представлено сравнение экспериментальных кривых МУРР в растворах KDP в капилляре и в ячейке.
Рис. 5. Экспериментальные кривые МУРР для раствора KDP в капилляре (черная) и ячейке с плоскопараллельными окнами (красная) при температуре 90°С (a). Экспериментальные и рассчитанные программой OLIGOMER модельные кривые МУРР для раствора KDP показаны при температурах от 90 до 2.5°С (б). Кривые смещены по вертикали для лучшей визуализации.
Уровень шума экспериментальных данных МУРР раствора KDP, как и в случае с раствором лизоцима, также оказывается значительно ниже при использовании ячейки по сравнению со стандартным кварцевым капилляром. Увеличение области интегрирования данных с детектора при использовании ячейки позволяет существенно улучшить качество кривых МУРР даже для слабо рассеивающих и сильно поглощающих образцов.
Конструкция ячейки с плоскопараллельными окнами была герметична на всем протяжении эксперимента при высоких и низких температурах. Тепловое расширение элементов ячейки при изменении температуры не повлияло ни на герметичность, ни на качество экспериментальных данных МУРР.
В растворе KDP при переходе из ненасыщенного состояния в пересыщенное с образованием кристаллов тетрагональной сингонии образуются кластеры-прекурсоры, как было показано в работах [17, 19]. В работе [19] был исследован раствор KDP с концентрацией 335 мг/мл, что соответствует температуре насыщения 40°С. При увеличении в растворе концентрации KDP заметно увеличивается поглощение, что ухудшает качество сигнала экспериментальных данных МУРР. Поэтому исследование образования кластеров-прекурсоров в растворе KDP с концентрацией 501 мг/мл, формирующихся при кристаллизации, было проведено с использованием ячейки.
Малоугловые измерения проводились в диапазоне температур от 90 до 2.5°С. Экспериментальные данные МУРР обрабатывались программой OLIGOMER с использованием моделей кластеров-прекурсоров (мономер, димер, тетрамер, октамер) [8]. Экспериментальные данные и наилучшие приближения представлены на рис. 5б. Рассчитанные кривые МУРР для растворов KDP совпадают с экспериментальными данными во всем угловом диапазоне, значения невязки c2 не превышают 1.3 (табл. 1). В результате обработки были определены объемные доли кластеров-прекурсов, образующихся в растворе KDP при формировании кристаллов тетрагональной сингонии.
Таблица 1. Объемные доли кластеров, качество приближения экспериментальных данных смесью кластеров χ2 и радиусы инерции Rg, рассчитанные по начальному участку кривых, для растворов KDP при изменении температуры
T,°C | Доля мономеров, % | Доля октамеров, % | Rg, Å | c2 |
2 | 1.0 | 99.0 | 3.70 | 1.28 |
5 | 5.0 | 95.0 | 3.68 | 1.26 |
10 | 11.0 | 89.0 | 3.59 | 1.14 |
20 | 23.0 | 77.0 | 3.49 | 1.08 |
30 | 36.0 | 64.0 | 3.39 | 1.15 |
40 | 44.0 | 56.0 | 3.34 | 1.09 |
50 | 49.0 | 51.0 | 3.30 | 1.11 |
60 | 49.0 | 51.0 | 3.29 | 1.04 |
70 | 51.0 | 49.0 | 3.27 | 1.09 |
80 | 53.0 | 47.0 | 3.23 | 1.05 |
90 | 54.0 | 46.0 | 3.22 | 1.03 |
Значение радиуса инерции Rg увеличивается при понижении температуры, что свидетельствует об увеличении средних размеров частиц в растворе KDP. В результате обработки программой OLIGOMER мы наблюдаем постоянное увеличение объемной доли кластеров-прекурсоров октамеров с 50 до 99% при понижении температуры. Кроме того, при переходе из ненасыщенного в пересыщенное состояние меняется характер увеличения содержания октамеров (рис. 6).
Рис. 6. Зависимость объемных долей октамеров KDP (Coct ) от температуры (черные точки), линейное приближение участков температур 90–50°С (розовая кривая) и 40–2.5°С (синяя кривая), а также степень пересыщения (s) раствора KDP (зеленая штриховая кривая).
Рост содержания октамеров более медленный на участке температур от 90 до 50°С (он описывается линейной функцией y = 58.6 – 0.14x) по сравнению с участком от 40 до 2.5°С, где содержание октамеров возрастает значительно быстрее. На данном участке зависимость описывается линейной функцией y = 100.63628 – 1.15717x. Раствор KDP с концентрацией 501 мг/мл является насыщенным при температуре 60°С [20]. Из пересыщенных растворов KDP происходит рост тетрагональных кристаллов. Концентрация октамеров начинает быстрее возрастать при переходе от насыщенного к пересыщенному раствору, начиная со степени пересыщения s = 1.5, где и должен происходить рост кристаллов. Данное значение пересыщения соответствует температуре 40°С. Такое поведение октамеров хорошо соответствует именно поведению кристаллообразующих кластеров при возникновении благоприятных условий для их роста. В противном случае мы бы наблюдали плавное увеличение концентрации октамеров, соответствующее изменению степени пересыщения.
4. ВЫВОДЫ
Разработана ячейка для структурных исследований растворов с помощью метода МУРР. Представленная плоская ячейка имеет по крайней мере две полости, что является преимуществом перед другими конструкциями синхротронных ячеек с одной полостью для образца [3–8]. В данной работе показано, что двумерный профиль пучка в случае его большого сечения имеет изотропный фон рассеяния по сравнению с капиллярами. Существующая конструкция позволяет легко увеличивать число полостей в два раза, что позволит дополнительно оптимизировать время эксперимента в сравнении с импортными разработками. Кроме того, имеется возможность уменьшить площадь (и соответственно объем) полости в случае высокоинтенсивных синхротронных источников третьего-четвертого поколений с малыми размерами пучка, что особенно важно при исследовании дорогостоящих образцов объемом в несколько мкл.
Экспериментально показано, что при использовании ячейки с плоскопараллельными окнами удалось избежать наличия анизотропии на двумерной картине рассеяния, как в случае использования капилляра, улучшить качество экспериментальных данных МУРР без необходимости усложнения процедуры обработки данных и снизить уровень шума на два порядка по сравнению с использованием капилляра. Конструкция ячейки позволяет использовать ее многократно, что значительно выгоднее с экономической и экологической сторон по сравнению с использованием одноразовых (непроточных) капилляров.
Особенно важно, что использование ячейки улучшило качество данных МУРР для сильно поглощающих и слабо рассеивающих образцов. Это позволило эффективно использовать ее не только для исследования образования кластеров-прекурсоров в водном растворе белка лизоцима с добавлением хлорида натрия в качестве осадителя, но и в сильно поглощающем водном растворе KDP при росте тетрагональных кристаллов. Ранее при измерениях МУРР в случае раствора дигидрофосфата калия в кварцевом капилляре [16] данные были существенно хуже по соотношению сигнал/шум, что приводило к нестабильным результатам обработки экспериментальных данных, тогда как данные, полученные с использованием ячейки, однозначно указывают на присутствие именно октамеров в пересыщенном растворе KDP.
ФИНАНСИРОВАНИЕ РАБОТЫ
Работа выполнена в рамках государственного задания ФНИЦ “Кристаллография и фотоника” РАН в части создания ячейки, проведения экспериментов по KDP, обработки и анализа данных, а также поддержана Российским фондом фундаментальных исследований (номер проекта 19-29-12042 мк) в части разработки ячейки, проведения экспериментов с лизоцимом и обработки и анализа данных.
КОНФЛИКТ ИНТЕРЕСОВ
Авторы заявляют, что у них нет конфликта интересов.
About the authors
К. Б. Ильина
Институт кристаллографии им. А.В. Шубникова Российской академии наук Федеральный научно-исследовательский центр “Кристаллография и фотоника”; Национальный исследовательский центр “Курчатовский институт”
Email: sukhanov.ae15@physics.msu.ru
Russian Federation, 119333, Москва, Ленинский проспект, 59; 123182, Москва, пл. Академика Курчатова, 1
П. В. Конарев
Институт кристаллографии им. А.В. Шубникова Российской академии наук Федеральный научно-исследовательский центр “Кристаллография и фотоника”; Национальный исследовательский центр “Курчатовский институт”
Email: sukhanov.ae15@physics.msu.ru
Russian Federation, 119333, Москва, Ленинский проспект, 59; 123182, Москва, пл. Академика Курчатова, 1
А. Е. Суханов
Институт кристаллографии им. А.В. Шубникова Российской академии наук Федеральный научно-исследовательский центр “Кристаллография и фотоника”; Национальный исследовательский центр “Курчатовский институт”
Author for correspondence.
Email: sukhanov.ae15@physics.msu.ru
Russian Federation, 119333, Москва, Ленинский проспект, 59; 123182, Москва, пл. Академика Курчатова, 1
В. В. Волков
Институт кристаллографии им. А.В. Шубникова Российской академии наук Федеральный научно-исследовательский центр “Кристаллография и фотоника”; Национальный исследовательский центр “Курчатовский институт”
Email: sukhanov.ae15@physics.msu.ru
Russian Federation, 119333, Москва, Ленинский проспект, 59; 123182, Москва, пл. Академика Курчатова, 1
М. А. Марченкова
Институт кристаллографии им. А.В. Шубникова Российской академии наук Федеральный научно-исследовательский центр “Кристаллография и фотоника”; Национальный исследовательский центр “Курчатовский институт”
Email: sukhanov.ae15@physics.msu.ru
Russian Federation, 119333, Москва, Ленинский проспект, 59; 123182, Москва, пл. Академика Курчатова, 1
Г. С. Петерс
Национальный исследовательский центр “Курчатовский институт”
Email: sukhanov.ae15@physics.msu.ru
Russian Federation, 123182, Москва, пл. Академика Курчатова, 1
Ю. В. Писаревский
Институт кристаллографии им. А.В. Шубникова Российской академии наук Федеральный научно-исследовательский центр “Кристаллография и фотоника”; Национальный исследовательский центр “Курчатовский институт”
Email: sukhanov.ae15@physics.msu.ru
Russian Federation, 119333, Москва, Ленинский проспект, 59; 123182, Москва, пл. Академика Курчатова, 1
В. А. Шишков
Институт кристаллографии им. А.В. Шубникова Российской академии наук Федеральный научно-исследовательский центр “Кристаллография и фотоника”; Национальный исследовательский центр “Курчатовский институт”
Email: sukhanov.ae15@physics.msu.ru
Russian Federation, 119333, Москва, Ленинский проспект, 59; 123182, Москва, пл. Академика Курчатова, 1
References
- Round, A., Felisaz F., Fodinger L., Gobbo A., Huet J., Villard C., Blanchet C.E., Pernot P., McSweeney S., Roessle M., Svergun D.I., Cipriani F. // Acta Crystallogr. Sect. D Biol. Crystallogr. International Union of Crystallography. 2015. V. 71. P. 67.doi: 10.1107/S1399004714026959
- Peters G.S., Zakharchenko O.A., Konarev P.V., Karmazikov Y.V., Smirnov M.A., Zabelin A.V., Mukhamedzhanov E.H., Veligzhanin A.A., Blagov A.E., Kovalchuk M.V. // Nucl. Instrum. Methods Phys. Res. Sect. A. 2019. V. 945. P. 162616. doi: 10.1016/j.nima.2019.162616
- Hassan M., Agraval S., Woolley M., Clarke S.M., Osundare A., Craske D., Lindsay R., Smith A., Snow T., Zinn T., Terrill N. // Rev. Sci. Instrum. 2023. V. 94. № 4. P. 043701. doi: 10.1063/5.0146013
- Edwards-Gayle C.J.C., Khunti N., Hamley I.W., Inoue K., Cowieson N., Rambo R. // J. Synchtrotron Radiat. 2021. V. 28. P. 318. DOI: /10.1107/S1600577520013831
- Kirby N.M., Mudie S.T., Hawley A.M., Cookson D.J., Mertens H.D.T., Cowieson N., Samardzic-Boban V. // J. Appl. Crystallogr. 2013. V. 46. P. 1670. doi: 10.1107/S002188981302774X
- Cavalcanti L.P., Torriani I.L., Plivelic T.S., Oliveira C.L.P., Kellermann G., Neuenschwander R. // Rev.Sci. Intstrum.. 2004. V. 75. № 11. P. 4541. doi: 10.1063/1.1804956
- Dubuisson J.-M., Decamps T., Vachette P. // J. Appl. Crystallogr. 1997. V. 30. P. 49. doi: 10.1107/S002188989600876X
- Popov A.M., Boikova A.S., Vkov V.V., D’yakova Yu.A., Il’ina K.B., Konarev P.V., Marchenkova M.A., Peters G.S., Pisarevskii Yu.V., Koval’chuk M.V. // Crystallogr. Rep. 2018. V. 63. № 5. P. 713. doi: 10.1134/S1063774518050231
- Israelachvili J.N., Alcantar N.A., Maeda N., Mates T.E., Ruths M. // Langmuir. 2004. V. 20. № 9. P. 3616. doi: 10.1021/la0352974
- Xu X., Liu W., Li Y., Wang Y., Yuan Q., Chen J., Ma R., Xiang F., Wang, H // J. Mater. 2018. V. 4. № 3. P. 173. doi: 10.1016/j.jmat.2018.04.003
- Marchenkova M.A., Chapek S.V., Konarev P.V., Ilina K.B., Peters G.S., Pisarevsky Y.V. Shishkov V.A., Soldatov A.V., Kovalchuk M.V. // Crystals. 2023. V. 13. P. 938. doi: 10.3390/cryst13060938
- Peters G.S., Gaponov Yu. A., Konarev P.V., Marchenkova M.A., Ilina K.B., Volkov V.V., Pisarevsky Yu.V,. Kovalchuk M.V. // Nucl. Instrum. Methods Phys. Res. Sect. A. 2022. V. 1025. P. 166170. doi: 10.1016/j.nima.2021.166170
- Hammersley A.P. // J. Appl. Crystallogr. 2016. V. 49. № 2. P. 646. doi: 10.1107/S1600576716000455
- Konarev P.V., Volkov V.V., Sokolova A.V., Koch M.H.J., Svergun D.I. // J. Appl. Crystallogr. 2003. V. 36. P. 1277. doi: 10.1107/S0021889803012779
- Guinier A. // Annales de Physique. 1939. V.11. №12. P. 161. doi: 10.1051/anphys/193911120161
- Svergun D.I. // J. Appl. Crystallogr. 1992. V. 25. № 4. P. 495. doi: 10.1107/S0021889892001663
- Kovalchuk M.V., Alekseeva O.A., Blagov A.E., Ilyushin G.D., Il’ina K.B., Konarev P.V., Lomonov V.A., Pisarevsky Yu.V., Peters G.S. // Crystallogr. Rep. 2019. V. 64. P. 6. doi: 10.1134/S1063774519010140
- Svergun D.I., Barberato C., Koch M.H.J. // J. Appl. Crystallogr. 1995. V. 28. № 6. P. 768. doi: 10.1107/S0021889895007047
- Sukhanov A.E., Ilina K.B., Konarev P.V., Peters G.S., Pisarevsky Yu.V., Smirnova E.S., Alekseeva O.A., Kovalchuk M.V. // Cryst. 2023. V. 13. P. 26. doi: 10.3390/cryst13010026
- Zhang Y., Dai Y., Tie G., Hu H. // Appl. Opt. 2016. V. 55. № 29. P. 8308. doi: 10.1364/AO.55.008308
Supplementary files








