Детектирование гамма-квантов установкой TAIGA-IACT в стереорежиме
- Authors: Волчугов П.А.1,2, Астапов И.И.3, Безъязыков П.А.2, Бонвеч Е.А.1, Бородин А.Н.4, Буднев Н.М.2, Булан А.В.1, Вайдянатан А.5, Волков Н.В.6, Воронин Д.М.7, Гафаров А.Р.2, Гресь Е.О.2, Гресь О.А.2, Гресь Т.И.2, Гришин О.Г.2, Гармаш А.Ю.5,7, Гребенюк В.М.4,8, Гринюк А.А.4, Дячок А.Н.2, Журов Д.П.2, Загородников А.В.2, Иванова А.Д.2, Иванова А.Л.2,5, Илюшин М.А.2, Калмыков Н.Н.1, Киндин В.В.3, Кирюхин С.Н.2, Кокоулин Р.П.2, Колосов Н.И.2, Компаниец К.Г.3, Коростелева Е.Е.1, Кожин В.А.1, Кравченко Е.А.5,9, Крюков А.П.1, Кузьмичев Л.А.1, Кьявасса А.10, Лагутин А.А.6, Лаврова М.В.4, Лемешев Ю.Е.2, Лубсандоржиев Б.К.7, Лубсандоржиев Н.Б.1, Малахов С.Д.2, Миргазов Р.Р.2, Монхоев Р.Д.2, Окунева Э.А.1, Осипова Э.А.1, Панов А.Д.1, Пахоруков А.Л.2, Пан А.4, Паньков Л.В.2, Петрухин А.А.3, Подгрудков Д.А.1, Попова Е.Г.1, Постников Е.Б.1, Просин В.В.1, Птускин В.С.11, Пушнин А.А.2, Разумов А.Ю.1, Райкин Р.И.6, Рубцов Г.И.7, Рябов Е.В.2, Самолига В.С.2, Сатышев И.4, Свeшникова Л.Г.1, Силаев А.А.1, Силаев А.А.1, Сидоренков А.Ю.7, Скурихин А.В.1, Соколов А.В.5,9, Таболенко В.А.2, Танаев А.Б.2, Терновой М.Ю.2, Ткачев Л.Г.4, Ушаков Н.А.7, Чернов Д.В.1, Яшин И.И.3
-
Affiliations:
- Научно-исследовательский институт ядерной физики им. Д.В. Скобельцына Московского государственного университета им. М.В. Ломоносова
- Научно-исследовательский институт прикладной физики Иркутского государственного университета
- Национальный исследовательский ядерный университет “МИФИ”
- Объединенный институт ядерных исследований
- Новосибирский государственный университет
- Алтайский государственный университет
- Институт ядерных исследований Российской академии наук
- Университет “Дубна”
- Институт ядерной физики Сибирского отделения Российской академии наук им. Г.И. Будкера
- INFN, Национальный институт ядерной физики
- Институт земного магнетизма, ионосферы и распространения радиоволн им. Н.В. Пушкова Российской академии наук
- Issue: No 1 (2024)
- Pages: 161-172
- Section: ФИЗИЧЕСКИЕ ПРИБОРЫ ДЛЯ ЭКОЛОГИИ, МЕДИЦИНЫ, БИОЛОГИИ
- URL: https://ogarev-online.ru/0032-8162/article/view/263978
- DOI: https://doi.org/10.31857/S0032816224010227
- EDN: https://elibrary.ru/DXVNUQ
- ID: 263978
Cite item
Full Text
Abstract
Статья посвящена моделированию и анализу данных, регистрируемых установкой TAIGA-IACT в стереорежиме. Установка будет включать 5 атмосферных черенковских телескопов с углом обзора 9.6°. В настоящее время в составе установки имеются 3 телескопа, разнесенных на сравнительно большие расстояния друг от друга (от 320 до 500 м). Эффективная площадь установки при этом достигает 0.6 км2, что позволяет за разумное время наблюдения (300–400 ч) проводить статистически значимые наблюдения слабых источников гамма-излучения в энергетической области выше 10 ТэВ. Описана процедура моделирования Монте-Карло регистрируемых телескопами адронов и гамма-квантов, а также методика восстановления параметров широких атмосферных ливней, таких как направление прихода события, положение оси, глубина максимума развития ливня и энергия первичной частицы. Для решения задачи гамма-адронного разделения получены оптимальные критерии отбора гамма-квантов, регистрируемых в стереорежиме, и рассчитана эффективная площадь установки.
Full Text
1. ВВЕДЕНИЕ
Исследования в области гамма-астрономии являются одним из основных каналов получения информации о высокоэнергетичных процессах, протекающих как в объектах нашей Галактики, так и расположенных за ее пределами. В частности, гамма-астрономические наблюдения в области энергий выше 10 ТэВ, могут ответить на вопрос природы космических лучей области колена (3×1015 эВ). В течение последних трех лет от источника Крабовидная туманность и других галактических источников были впервые зарегистрированы гамма-кванты с энергией выше 100 ТэВ [1, 2]. Это добавляет интереса к адронным механизмам генерации гамма-излучения высоких энергий [3]. До сих пор подобные гамма-кванты высоких энергий регистрируются только высокогорными обсерваториями, детектирующими заряженные частицы широких атмосферных ливней (ШАЛ) [1, 2, 4], создаваемые первичными частицами в атмосфере Земли. В связи с чем представляется важным восстановить энергетический спектр гамма-квантов от этих источников посредством другой методики регистрации ШАЛ, например, основанной на регистрации черенковского излучения ливней.
Тункинский астрофизический комплекс, расположенный в Тункинской долине (Республика Бурятия), создавался для исследования космических лучей методом регистрации черенковского излучения ШАЛ. Исследования были начаты в 1993 году. Первая установка включала в свой состав всего 4 оптических детектора, однако, несмотря на это, с ее помощью удалось получить спектр космических лучей в области колена (3×1015 эВ). Дальнейшее развитие комплекс получил благодаря развертыванию ряда установок-прототипов, на которых была отработана методика восстановления параметров ШАЛ [5], что в итоге привело к созданию установки Тунка-133 [6].
Тунка-133 начала набор данных в 2009 году. В настоящее время установка включает в свой состав 175 оптических модулей, разнесенных на площади 3 км2. На основе наблюдений в течение 2 сезонов (2009–2011) был получен спектр в области от 1015 до 1018 эВ со сложной структурой, которая прежде не наблюдалась и впоследствии была подтверждена наблюдениями других обсерваторий [7].
Успехи Тунка-133 привели к созданию на территории полигона установок Tunka-Grande [8] и Tunka-REX [9], нацеленных на регистрацию космических лучей с энергиями выше 10 ПэВ, и в конечном счете созданию на базе Тункинского астрофизического комплекса гамма-обсерватории TAIGA (Tunka Advanced Instrument for cosmic ray physics and Gamma-ray Astronomy) [10].
Гамма-обсерватория TAIGA является самой северной обсерваторией (51.810°, 103.067°) для детектирования гамма-квантов в области очень высоких энергий (> 1 ТэВ) и позволяет проводить длительные наблюдения за источниками с большими склонениями.
Уникальность обсерватории состоит в совместном использовании черенковских детекторов разных типов. Для детектирования широких атмосферных ливней (ШАЛ) от первичных высокоэнергичных частиц, кроме перечисленных выше установок, используются атмосферные черенковские телескопы (АЧТ) установки TAIGA-IACT(Imaging Atmospheric Cherenkov Telescope), а также сеть широкоугольных детекторов TAIGA-HiSCORE (High Sensitivity Cosmic ORigin Explorer) [11] (рис. 1). Благодаря высокой плотности установки TAIGA-HiSCORE, в состав которой входит 120 оптических модулей на расстоянии 106 м друг от друга, энергия и направление прихода регистрируемых ШАЛ могут быть определены с высокой точностью: 0.4° – 0.5° для событий с 4–5 сработавшими станциями и около 0.1° для событий с более чем 10 сработавшими станциями [12, 13]. АЧТ в комплексе TAIGA используются для выделения событий от гамма-квантов. Телескопы формируют изображение углового распределения света ШАЛ, на основе которого тип частицы (адрон/гамма) может быть определен. АЧТ способны регистрировать ШАЛ с расстояния до 600 м, что позволяет размещать их на достаточно большом расстоянии друг от друга.
Рис. 1. Взаимное расположение детекторов астрофизического комплекса TAIGA.
Таким образом, совместное использование сетки из 120 детекторов TAIGA-HiSCORE и 5 атмосферных черенковских телескопов TAIGA-IACT позволяют определять тип регистрируемых частиц, их энергию и направление прихода. Энергетический порог для совместной работы установок составляет 40 ТэВ. При этом покрываемая установкой площадь оказывается существенно выше по сравнению с классическими стереосистемами АЧТ, такими как HESS [14], MAGIC [15], VERITAS [16]. В настоящее время проводятся работы по созданию гамма-обсерватории CTA [17], нацеленной на исследования в области очень высоких энергий (от 20 ГэВ до 300 ТэВ). Для набора существенной статистики в данной энергетической области в CTA планируется использовать массив из более чем 100 АЧТ разных типов в обсерваториях, расположенных в южном и северном полушариях. Это является достаточно сложной задачей как с точки зрения создания обсерватории, так с точки зрения ее обслуживания. Предполагается, что в окончательной конфигурации покрываемая площадь южной обсерватории CTA составит порядка 4 км2, а северной – порядка 1 км2 [18].
Несмотря на то, что совместное использование детекторов TAIGA-IACT и TAIGA-HiSCORE возможно в области энергий выше 40 ТэВ, исследования в области более низких энергий с помощью инструментов TAIGA также возможны и представляют большой интерес для современной астрофизики. В частности, существует ряд источников гамма-квантов, спектр которых измерен примерно до 10 ТэВ и требует уточнения [19, 20]. Изучение области более низких энергий (>1 ТэВ) возможно с помощью отдельных телескопов установки TAIGA-IACT (монорежим наблюдений). Однако точность восстановления параметров ШАЛ при таком подходе оказывается не слишком высокой. В частности, энергетическое разрешение регистрируемых в монорежиме событий составляет 30–40% [21]. В области энергий выше 8 ТэВ ШАЛы от первичных гамма-квантов могут быть зарегистрированы несколькими телескопами установки одновременно (стереорежим), что приводит к существенному улучшению точности восстановления параметров первичной частицы. Так, энергетическое разрешение событий, регистрируемых в стереорежиме работы установки TAIGA-IACT, составляет порядка 10%. В связи с этим основной целью данной работы является исследование возможности детектирования гамма-квантов атмосферными черенковскими телескопами установки TAIGA-IACT в стереорежиме.
В следующих разделах приводится описание конфигурации установки TAIGA-IACT из 5 телескопов, описание процедуры моделирования событий от адронов и гамма-квантов, детектируемых установкой TAIGA-IACT, а также процедура анализа событий, зарегистрированных установкой в стереорежиме.
2. УСТАНОВКА TAIGA-IACT
Атмосферный черенковский телескоп оснащен альт-азимутальной монтировкой, позволяющей проводить слежение за источниками гамма-квантов. Телескоп включает в свой состав отражатель диаметром 4.3 м, состоящий из 34 сферических зеркал диаметром 60 см, в фокусе которого расположена регистрирующая камера. Угол обзора телескопа составляет 9.6° (0.36° на пиксель) с функцией рассеяния точки 0.07° [22]. Фокусное расстояние телескопов составляет 4.75 м. Камеры содержат около 600 фотоэлектронных умножителей (ФЭУ) XP1911 с диаметром фотокатода 15 мм. Все пиксели сгруппированы в кластеры, каждый из которых находится под управлением платы на основе специализированной интегральной микросхемы MAROC3 [23]. Каждый из 64 каналов MAROC3 включает предусилитель с настраиваемым коэффициентом усиления, зарядочувствительный усилитель с изменяемым временем интегрирования и компаратор с настраиваемым порогом. Микросхема имеет аналоговый мультиплексированный выход, который подключается к 12-битному АЦП [24].
Каждый ФЭУ подключается к двум каналам MAROC3. Разница в коэффициентах усиления предусилителей этих каналов составляет 30, что обеспечивает линейность преобразования заряд-код до 3000 фотоэлектрон при усилении ФЭУ 105. Локальный триггер кластера генерируется в том случае, если в течение 15 с в кластере происходит превышение пороговой амплитуды двумя соседними ФЭУ (пикселями).
В регистрирующей камере телескопа формируется угловое изображение ШАЛ, по форме которого можно восстановить параметры первичной частицы, такие как тип частицы (адрон/гамма), энергия, направление прихода и положение оси ШАЛ.
По данным наблюдений первого АЧТ, было проведено детектирование гамма-квантов от блазара Маркарян 421 в монорежиме наблюдений. Значимость избытка гамма-квантов составила 5σ [25]. Гамма-кванты от Крабовидной туманности были зарегистрированы как в моно- [21], так и в стереорежимах первыми двумя телескопами на уровне статистической значимости 12σ и 5σ соответственно.
3. МОДЕЛИРОВАНИЕ МОНТЕ-КАРЛО
Моделирование широких атмосферных ливней проводилось с помощью программы CORSIKA [26] версии 7.35 с использованием модели QGSJET-II-04 [27] для взаимодействий при высоких энергиях и GHEISHA-2002d [28] для взаимодействий при низких энергиях. Во входных файлах использовались позиции пяти TAIGA-IACT. Были смоделированы ливни от первичных протонов и гамма-квантов. Диапазон энергий 40–400 ТэВ для протонов и 20–200 ТэВ для гамма-квантов с показателем наклона спектра –1. Зенитные углы 30°–40° соответствуют наблюдению Крабовидной туманности в Тункинской долине. Фотоны из выходных данных CORSIKA отслеживались в специальной программе оптического моделирования TAIGA-optics [29]. Эта программа моделирует оптический отклик атмосферных черенковских телескопов TAIGA вплоть до фотокатодов ФЭУ.
Данные о числе фотоэлектронов в пикселях камеры, полученные на основе программы оптического моделирования, используются для моделирования отклика камеры, которое включает процедуру формирования триггера телескопа, описанную в разд. 2. При этом амплитуды фотоэлектронов выбираются случайно в соответствии с экспериментально измеренным амплитудным распределением для ФЭУ XP1911 в работе [30], где также учтено влияние послеимпульсов.
В результате описанной процедуры для каждого моделируемого ШАЛ был получен набор изображений, генерируемых в камере каждого из сработавших телескопов. На рис. 2 представлен пример события, зарегистрированного первым и вторым телескопами установки.
Рис. 2. Пример события, зарегистрированного первыми двумя телескопами установки TAIGA-IACT. Белая точка – положение источника гамма-квантов в поле зрения телескопа. Эллипс − аппроксимация изображения ШАЛ, предложенная Хилласом [31].
Поскольку каждый пиксель телескопа обозревает отдельную область неба, расстояния в получаемых изображениях с камер телескопов измеряются в градусах. Стандартный анализ регистрируемых ШАЛ предполагает параметризацию изображений, предложенную Хилласом [31]. В результате параметризации каждое изображение может быть представлено эллипсом, центром которого являются моменты первого порядка (Xc, Yc), а осями – моменты второго порядка (width, length) исходного изображения в регистрирующей камере телескопа. Для последующего анализа рассчитываются также следующие параметры:
- size – полное число фотоэлектронов в событии;
- alpha – угол между главной осью эллипса и линией, соединяющей центр тяжести изображения и положение источника в поле зрения телескопа.
Данная параметризация позволяет проводить эффективный анализ регистрируемых событий, в результате которого могут быть восстановлены основные параметры ШАЛ и проведено гамма-адронное разделение.
Поскольку при регистрации ШАЛ зачастую срабатывает только часть установки (в зависимости от энергии первичной частицы и положения оси ШАЛ), все события могут быть проанализированы в разных стереорежимах, таких как 2, 3, 4 и 5. Другими словами, анализ может быть проведен отдельно для событий, зарегистрированных только двумя телескопами, тремя и т.д. В данной работе все расчеты проведены для событий, зарегистрированных в режиме 2+, что означает, что анализ включает события, вызвавшие срабатывание двух или более телескопов.
Помимо отбора по числу сработавших телескопов, на регистрируемые в стереорежиме события накладывались ограничения на полное число фотоэлектронов (более 120) и положение центра тяжести эллипса в камере (менее 3.5°) от центра камеры. Данные ограничения связаны с тем, что более тусклые обрезанные краем камеры изображения, как правило, ухудшают точность восстановления геометрии ШАЛ.
Для проверки эквивалентности моделирования и экспериментальных данных на их основе были построены распределения полного числа фотоэлектронов для событий, зарегистрированных двумя телескопами (рис. 3a). Темп счета таких событий примерно в 10 раз ниже, чем у монособытий, как в моделируемых выборках, так и в эксперименте.
Рис. 3. Сравнение экспериментального и Монте-Карло распределения по параметру size для событий, зарегистрированных телескопом TAIGA-IACT01 (а), и экспериментального и Монте-Карло распределения по параметру width для событий, зарегистрированных телескопом TAIGA-IACT01 (б).
3.1. Восстановление направления прихода ШАЛ
При наблюдении точечных источников гамма-излучения известно направление прихода ШАЛ от гамма-квантов в поле зрения телескопа. Следовательно, восстановление положения источника может быть полезно для гамма-адронного разделения. Для решения этой задачи направление прихода частиц определялось как средневзвешенное положение точек пересечения главных осей всех эллипсов (рис. 4). Оси изображений в двух сработавших телескопах пересекутся в точке
и (1)
где ai и bi – коэффициенты уравнений главных осей эллипсов вида y = ax + b. Каждая пара телескопов дает точку, которая попадает в двумерную гистограмму с весом
(2)
где ∆ – угол между пересекающимися линиями [10], Ntrig – количество сработавших телескопов. Результирующее направление прихода события определяется как среднее значение гистограммы, заполненной точками пересечения
(3)
где Nbin – количество бинов гистограммы вдоль оси (одинаково для x и y). На рис. 5a представлено распределение ошибки восстановления положения источника в поле зрения телескопа (θ). Среднее значение ошибки составило 0.14°. Под средней ошибкой здесь и далее понимается радиус круга, содержащего 68% от числа событий, вошедших в анализ.
Рис. 4. Определение положения источника в поле зрения телескопов. Эллипсы − аппроксимация изображения ШАЛ в каждом телескопе, пересечения главных осей которых дают восстановленное положение источника.
3.2. Восстановление положения оси ШАЛ
Для восстановления оси ШАЛ используется аналогичная методика, что и для восстановления положения источника. При этом в расчет принимаются положения сработавших телескопов друг относительно друга, а также зенитный угол наблюдения. На рис. 5б представлено распределение ошибки восстановления положения оси ШАЛ. Средняя ошибка составляет 24 метра.
Рис. 5. Ошибка восстановления положения оси ШАЛ (а) и ошибка восстановления направления прихода ШАЛ (б).
3.3. Эффективная площадь
Для оценки эффективной площади установки и выбора оптимальных критериев отбора гамма-квантов был смоделирован набор событий от первичных протонов космических лучей в энергетическом диапазоне от 40 до 400 ТэВ. Для всех моделируемых событий было выполнено восстановление параметров ШАЛ, на основе которого проводилось выделение гамма-квантов. Отбор гамма-квантов проводился путем наложения критериев отбора на следующие параметры событий:
- квадрат угла между направлением прихода ШАЛ и направлением на исследуемый источник (θ2);
- параметр – нормализованная ширина (w).
В стереоскопическом подходе нормализованная ширина аналогична параметру width, описанному в разд. 3. Он определяется следующим образом [32]:
(4)
где Ntel – количество сработавших телескопов, widthi – параметр width в данном сработавшем телескопе, wm(ri, sizei) – медианное значение ширины, характерное для событий с заданным sizei и расстоянием до оси ливня (ri), wMAD(ri, sizei) – медианное абсолютное отклонение распределения параметра width для событий в том же диапазоне значений ri и sizei. wMAD и wm являются табличными значениями и определяются из моделирования.
На основе полученных зависимостей для wMAD и wm от полного числа фотоэлектронов в соответствии с выражением (4) было получено распределение нормализованных ширин для моделируемых гамма-квантов и адронов (рис. 6).
Рис. 6. Распределения параметров θ2 и нормализованная ширина моделируемых событий от первичных гамма-квантов и адронов, регистрируемых телескопами TAIGA-IACT.
Оптимальные критерии отбора гамма-квантов были найдены посредством оптимизации, в которой на каждый из трех описанных выше параметров накладывалось ограничение, величина которого изменялась в пределах от минимально возможного значения данного параметра до максимального. В ходе оптимизации были протестированы все возможные комбинации критериев отбора. Была найдена такая комбинация, при которой доля сохраняемых гамма-квантов остается на уровне 50% от числа событий, зарегистрированных в стереорежиме, а подавление адронов оказывается максимальным. Полученное при этом подавление адронов составило порядка 4.2 × 10–5.
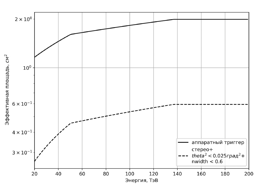
На основе полученных критериев отбора событий была построена эффективная площадь установки TAIGA-IACT (рис. 7). В энергетической области выше 30 ТэВ эффективная площадь превышает 0.6 км2. В результате за 200 ч наблюдения от Крабовидной туманности может быть зарегистрировано 1225 гамма-квантов, от туманности пульсарного ветра CTA1 – 132 и от остатка сверхновой Тихо – 48.
Рис. 7. Эффективная площадь установки TAIGA-IACT после моделирования аппаратного триггера телескопов и применения оптимальных критериев отбора гамма-подобных событий.
3.4. Восстановление энергии
Восстановление энергии детектируемых ШАЛ, инициированных гамма-квантами, в настоящее время проводится на основе трех параметров:
- size;
- расстояние до оси ШАЛ;
- Xmax – глубина максимума развития ливня.
3.4.1. Восстановление глубины максимума развития ШАЛ. Xmax может быть восстановлен, если известна высота максимума развития ливня. Для стереосистем черенковских телескопов существует методика, позволяющая определять этот параметр.
Данная методика заключается в том, что в изображении ливня в камере телескопа содержится информация об угле между направлением его прихода и направлением на максимум развития ШАЛ. Максимум развития ливня соответствует центру тяжести изображения и, зная расстояние до оси, можно посчитать высоту максимума развития ливня из геометрических соображений [33]:
(5)
где impact – расстояние между телескопом и осью ливня, dist – угол между направлением на источник и положением центра тяжести изображения. Высота может быть пересчитана в г/см2 с помощью стандартной модели атмосферы для высоты 450 м над уровнем моря и средней температуры –17.5 °C [34].
Среднее значение ошибки восстановления Xmax, рассчитываемого по формуле (5), меняется с ростом расстояния до оси ливня от 90 г/см2 до –120 г/см2. Это связано с тем, что положение центра тяжести изображения не точно соответствует максимуму развития ливня. При небольших расстояниях до оси (до 400 м) значение dist для определения высоты развития максимума развития ливня оказывается занижено. Свыше 400 м значение dist завышает оцениваемое значение положения Xmax. Зависимость средней ошибки восстанавливаемых Xmax от расстояния до оси может быть скорректировано линейной функцией. В нашем случае:
(6)
где a = –0.14 и b = 58.15 и dXmax – добавочный коэффициент. Применение данной зависимости для коррекции восстанавливаемого значения высоты максимума развития ливня привело к снижению средней ошибки до 36 г/см2 (рис. 8).
Рис. 8. Ошибка восстановления глубины максимума развития ШАЛ.
3.4.2. Энергетический спектр и разрешение. Для восстановления энергии отдельных событий была определена зависимость энергии частиц от полного числа фотоэлектронов изображения, регистрируемого телескопом в моделировании. При этом данная зависимость оказывается разной при разных значениях Xmax и расстояниях до оси в каждом отдельном событии.
В связи с этим все пространство возможных Xmax и расстояний до оси было разбито на отдельные бины с шагом 72 г/см2 и 10 м соответственно. Для событий, попавших в определенный бин по Xmax и distance, были определены линейные зависимости энергии от size, на основе которых может быть получена восстановленная энергия. Энергетическое разрешение было рассчитано для каждого энергетического бина по формуле
(7)
где N – число событий в данном энергетическом бине, – восстановленная энергия события, – моделируемая энергия события. В случае применения данного метода к восстановлению энергий событий в диапазоне от 20 до 200 ТэВ, энергетическое разрешение составляет порядка 10% (рис. 9).
Рис. 9. Восстановленный и моделируемый энергетический спектр моделируемых гамма-квантов (а), энергетическое разрешение (б).
4. ЗАКЛЮЧЕНИЕ
В работе представлены возможности определения параметров гамма-квантов с энергиями от 20 до 200 ТэВ, регистрируемых установкой TAIGA-IACT, состоящей из пяти телескопов. Ошибка определения положения источника составила 0.14°, а положение оси ШАЛ восстанавливается с точностью 24 м. Положение максимума развития ливня может быть определено с точностью 36 г/см2, что приводит к энергетическому разрешению восстанавливаемого спектра гамма-квантов на уровне порядка 10%. Подавление адронного фона составляет порядка 4.2×10–5 при эффективной площади установки 0.6 км2 в энергетической области выше 30 ТэВ. Это позволит набрать существенную статистику при наблюдении Крабовидной туманности – 1225 событий, туманности пульсарного ветра CTA1 – 132 события и от остатка сверхновой Тихо – 48 событий за 200 ч наблюдений.
ФИНАНСИРОВАНИЕ РАБОТЫ
Работа выполнена на УНУ “Астрофизический комплекс МГУ-ИГУ” при поддержке Минобрнауки РФ (соглашение EB-075-15-2021-675), Российского научного фонда (проект № 23-72-00019, разд. 3, 4), а также в рамках государственного задания (FZZE-2020-0017, FZZE-2020-0024, FSUS-2020-0039).
About the authors
П. А. Волчугов
Научно-исследовательский институт ядерной физики им. Д.В. Скобельцына Московского государственного университета им. М.В. Ломоносова; Научно-исследовательский институт прикладной физики Иркутского государственного университета
Author for correspondence.
Email: pvol4@ya.ru
Russian Federation, 119234, Москва, Ленинские горы, 1, стр.2; 664003, Иркутск, б-р Гагарина, 20
И. И. Астапов
Национальный исследовательский ядерный университет “МИФИ”
Email: pvol4@ya.ru
Russian Federation, 115409, Москва, Каширское ш., 31
П. А. Безъязыков
Научно-исследовательский институт прикладной физики Иркутского государственного университета
Email: pvol4@ya.ru
Russian Federation, 664003, Иркутск, б-р Гагарина, 20
Е. А. Бонвеч
Научно-исследовательский институт ядерной физики им. Д.В. Скобельцына Московского государственного университета им. М.В. Ломоносова
Email: pvol4@ya.ru
Russian Federation, 119234, Москва, Ленинские горы, 1, стр.2
А. Н. Бородин
Объединенный институт ядерных исследований
Email: pvol4@ya.ru
Russian Federation, 141980, Московская обл., Дубна, ул. Жолио-Кюри, 6
Н. М. Буднев
Научно-исследовательский институт прикладной физики Иркутского государственного университета
Email: pvol4@ya.ru
Russian Federation, 664003, Иркутск, б-р Гагарина, 20
А. В. Булан
Научно-исследовательский институт ядерной физики им. Д.В. Скобельцына Московского государственного университета им. М.В. Ломоносова
Email: pvol4@ya.ru
Russian Federation, 119234, Москва, Ленинские горы, 1, стр.2
А. Вайдянатан
Новосибирский государственный университет
Email: pvol4@ya.ru
Russian Federation, 630090, Новосибирск, ул. Пирогова, 1
Н. В. Волков
Алтайский государственный университет
Email: pvol4@ya.ru
Russian Federation, 656049, Барнаул, пр. Ленина, 61
Д. М. Воронин
Институт ядерных исследований Российской академии наук
Email: pvol4@ya.ru
Russian Federation, 117312, Москва, пр. 60-летия Октября, 7а
А. Р. Гафаров
Научно-исследовательский институт прикладной физики Иркутского государственного университета
Email: pvol4@ya.ru
Russian Federation, 664003, Иркутск, б-р Гагарина, 20
Е. О. Гресь
Научно-исследовательский институт прикладной физики Иркутского государственного университета
Email: pvol4@ya.ru
Russian Federation, 664003, Иркутск, б-р Гагарина, 20
О. А. Гресь
Научно-исследовательский институт прикладной физики Иркутского государственного университета
Email: pvol4@ya.ru
Russian Federation, 664003, Иркутск, б-р Гагарина, 20
Т. И. Гресь
Научно-исследовательский институт прикладной физики Иркутского государственного университета
Email: pvol4@ya.ru
Russian Federation, 664003, Иркутск, б-р Гагарина, 20
О. Г. Гришин
Научно-исследовательский институт прикладной физики Иркутского государственного университета
Email: pvol4@ya.ru
Russian Federation, 664003, Иркутск, б-р Гагарина, 20
А. Ю. Гармаш
Новосибирский государственный университет; Институт ядерных исследований Российской академии наук
Email: pvol4@ya.ru
Russian Federation, 630090, Новосибирск, ул. Пирогова, 1; 117312, Москва, пр. 60-летия Октября, 7а
В. М. Гребенюк
Объединенный институт ядерных исследований; Университет “Дубна”
Email: pvol4@ya.ru
Russian Federation, 141980, Московская обл., Дубна, ул. Жолио-Кюри, 6; 141980, Дубна, ул. Университетская, 19
А. А. Гринюк
Объединенный институт ядерных исследований
Email: pvol4@ya.ru
Russian Federation, 141980, Московская обл., Дубна, ул. Жолио-Кюри, 6
А. Н. Дячок
Научно-исследовательский институт прикладной физики Иркутского государственного университета
Email: pvol4@ya.ru
Russian Federation, 664003, Иркутск, б-р Гагарина, 20
Д. П. Журов
Научно-исследовательский институт прикладной физики Иркутского государственного университета
Email: pvol4@ya.ru
Russian Federation, 664003, Иркутск, б-р Гагарина, 20
А. В. Загородников
Научно-исследовательский институт прикладной физики Иркутского государственного университета
Email: pvol4@ya.ru
Russian Federation, 664003, Иркутск, б-р Гагарина, 20
А. Д. Иванова
Научно-исследовательский институт прикладной физики Иркутского государственного университета
Email: pvol4@ya.ru
Russian Federation, 664003, Иркутск, б-р Гагарина, 20
А. Л. Иванова
Научно-исследовательский институт прикладной физики Иркутского государственного университета; Новосибирский государственный университет
Email: pvol4@ya.ru
Russian Federation, 664003, Иркутск, б-р Гагарина, 20; 630090, Новосибирск, ул. Пирогова, 1
М. А. Илюшин
Научно-исследовательский институт прикладной физики Иркутского государственного университета
Email: pvol4@ya.ru
Russian Federation, 664003, Иркутск, б-р Гагарина, 20
Н. Н. Калмыков
Научно-исследовательский институт ядерной физики им. Д.В. Скобельцына Московского государственного университета им. М.В. Ломоносова
Email: pvol4@ya.ru
Russian Federation, 119234, Москва, Ленинские горы, 1, стр.2
В. В. Киндин
Национальный исследовательский ядерный университет “МИФИ”
Email: pvol4@ya.ru
Russian Federation, 115409, Москва, Каширское ш., 31
С. Н. Кирюхин
Научно-исследовательский институт прикладной физики Иркутского государственного университета
Email: pvol4@ya.ru
Russian Federation, 664003, Иркутск, б-р Гагарина, 20
Р. П. Кокоулин
Научно-исследовательский институт прикладной физики Иркутского государственного университета
Email: pvol4@ya.ru
Russian Federation, 664003, Иркутск, б-р Гагарина, 20
Н. И. Колосов
Научно-исследовательский институт прикладной физики Иркутского государственного университета
Email: pvol4@ya.ru
Russian Federation, 664003, Иркутск, б-р Гагарина, 20
К. Г. Компаниец
Национальный исследовательский ядерный университет “МИФИ”
Email: pvol4@ya.ru
Russian Federation, 115409, Москва, Каширское ш., 31
Е. Е. Коростелева
Научно-исследовательский институт ядерной физики им. Д.В. Скобельцына Московского государственного университета им. М.В. Ломоносова
Email: pvol4@ya.ru
Russian Federation, 119234, Москва, Ленинские горы, 1, стр.2
В. А. Кожин
Научно-исследовательский институт ядерной физики им. Д.В. Скобельцына Московского государственного университета им. М.В. Ломоносова
Email: pvol4@ya.ru
Russian Federation, 119234, Москва, Ленинские горы, 1, стр.2
Е. А. Кравченко
Новосибирский государственный университет; Институт ядерной физики Сибирского отделения Российской академии наук им. Г.И. Будкера
Email: pvol4@ya.ru
Russian Federation, 630090, Новосибирск, ул. Пирогова, 1; 630090, Новосибирск, пр. Академика Лаврентьева, 11
А. П. Крюков
Научно-исследовательский институт ядерной физики им. Д.В. Скобельцына Московского государственного университета им. М.В. Ломоносова
Email: pvol4@ya.ru
Russian Federation, 119234, Москва, Ленинские горы, 1, стр.2
Л. А. Кузьмичев
Научно-исследовательский институт ядерной физики им. Д.В. Скобельцына Московского государственного университета им. М.В. Ломоносова
Email: pvol4@ya.ru
Russian Federation, 119234, Москва, Ленинские горы, 1, стр.2
А. Кьявасса
INFN, Национальный институт ядерной физики
Email: pvol4@ya.ru
Italy, 10124, Турин
А. А. Лагутин
Алтайский государственный университет
Email: pvol4@ya.ru
Russian Federation, 656049, Барнаул, пр. Ленина, 61
М. В. Лаврова
Объединенный институт ядерных исследований
Email: pvol4@ya.ru
Russian Federation, 141980, Московская обл., Дубна, ул. Жолио-Кюри, 6
Ю. Е. Лемешев
Научно-исследовательский институт прикладной физики Иркутского государственного университета
Email: pvol4@ya.ru
Russian Federation, 664003, Иркутск, б-р Гагарина, 20
Б. К. Лубсандоржиев
Институт ядерных исследований Российской академии наук
Email: pvol4@ya.ru
Russian Federation, 117312, Москва, пр. 60-летия Октября, 7а
Н. Б. Лубсандоржиев
Научно-исследовательский институт ядерной физики им. Д.В. Скобельцына Московского государственного университета им. М.В. Ломоносова
Email: pvol4@ya.ru
Russian Federation, 119234, Москва, Ленинские горы, 1, стр.2
С. Д. Малахов
Научно-исследовательский институт прикладной физики Иркутского государственного университета
Email: pvol4@ya.ru
Russian Federation, 664003, Иркутск, б-р Гагарина, 20
Р. Р. Миргазов
Научно-исследовательский институт прикладной физики Иркутского государственного университета
Email: pvol4@ya.ru
Russian Federation, 664003, Иркутск, б-р Гагарина, 20
Р. Д. Монхоев
Научно-исследовательский институт прикладной физики Иркутского государственного университета
Email: pvol4@ya.ru
Russian Federation, 664003, Иркутск, б-р Гагарина, 20
Э. А. Окунева
Научно-исследовательский институт ядерной физики им. Д.В. Скобельцына Московского государственного университета им. М.В. Ломоносова
Email: pvol4@ya.ru
Russian Federation, 119234, Москва, Ленинские горы, 1, стр.2
Э. А. Осипова
Научно-исследовательский институт ядерной физики им. Д.В. Скобельцына Московского государственного университета им. М.В. Ломоносова
Email: pvol4@ya.ru
Russian Federation, 119234, Москва, Ленинские горы, 1, стр.2
А. Д. Панов
Научно-исследовательский институт ядерной физики им. Д.В. Скобельцына Московского государственного университета им. М.В. Ломоносова
Email: pvol4@ya.ru
Russian Federation, 119234, Москва, Ленинские горы, 1, стр.2
А. Л. Пахоруков
Научно-исследовательский институт прикладной физики Иркутского государственного университета
Email: pvol4@ya.ru
Russian Federation, 664003, Иркутск, б-р Гагарина, 20
А. Пан
Объединенный институт ядерных исследований
Email: pvol4@ya.ru
Russian Federation, 141980, Московская обл., Дубна, ул. Жолио-Кюри, 6
Л. В. Паньков
Научно-исследовательский институт прикладной физики Иркутского государственного университета
Email: pvol4@ya.ru
Russian Federation, 664003, Иркутск, б-р Гагарина, 20
А. А. Петрухин
Национальный исследовательский ядерный университет “МИФИ”
Email: pvol4@ya.ru
Russian Federation, 115409, Москва, Каширское ш., 31
Д. А. Подгрудков
Научно-исследовательский институт ядерной физики им. Д.В. Скобельцына Московского государственного университета им. М.В. Ломоносова
Email: pvol4@ya.ru
Russian Federation, 119234, Москва, Ленинские горы, 1, стр.2
Е. Г. Попова
Научно-исследовательский институт ядерной физики им. Д.В. Скобельцына Московского государственного университета им. М.В. Ломоносова
Email: pvol4@ya.ru
Russian Federation, 119234, Москва, Ленинские горы, 1, стр.2
Е. Б. Постников
Научно-исследовательский институт ядерной физики им. Д.В. Скобельцына Московского государственного университета им. М.В. Ломоносова
Email: pvol4@ya.ru
Bangladesh, 119234, Москва, Ленинские горы, 1, стр.2
В. В. Просин
Научно-исследовательский институт ядерной физики им. Д.В. Скобельцына Московского государственного университета им. М.В. Ломоносова
Email: pvol4@ya.ru
Russian Federation, 119234, Москва, Ленинские горы, 1, стр.2
В. С. Птускин
Институт земного магнетизма, ионосферы и распространения радиоволн им. Н.В. Пушкова Российской академии наук
Email: pvol4@ya.ru
Russian Federation, 108840, Троицк, Калужское ш., 4
А. А. Пушнин
Научно-исследовательский институт прикладной физики Иркутского государственного университета
Email: pvol4@ya.ru
Russian Federation, 664003, Иркутск, б-р Гагарина, 20
А. Ю. Разумов
Научно-исследовательский институт ядерной физики им. Д.В. Скобельцына Московского государственного университета им. М.В. Ломоносова
Email: pvol4@ya.ru
Russian Federation, 119234, Москва, Ленинские горы, 1, стр.2
Р. И. Райкин
Алтайский государственный университет
Email: pvol4@ya.ru
Russian Federation, 656049, Барнаул, пр. Ленина, 61
Г. И. Рубцов
Институт ядерных исследований Российской академии наук
Email: pvol4@ya.ru
Russian Federation, 117312, Москва, пр. 60-летия Октября, 7а
Е. В. Рябов
Научно-исследовательский институт прикладной физики Иркутского государственного университета
Email: pvol4@ya.ru
Russian Federation, 664003, Иркутск, б-р Гагарина, 20
В. С. Самолига
Научно-исследовательский институт прикладной физики Иркутского государственного университета
Email: pvol4@ya.ru
Russian Federation, 664003, Иркутск, б-р Гагарина, 20
И. Сатышев
Объединенный институт ядерных исследований
Email: pvol4@ya.ru
Russian Federation, 141980, Московская обл., Дубна, ул. Жолио-Кюри, 6
Л. Г. Свeшникова
Научно-исследовательский институт ядерной физики им. Д.В. Скобельцына Московского государственного университета им. М.В. Ломоносова
Email: pvol4@ya.ru
Russian Federation, 119234, Москва, Ленинские горы, 1, стр.2
А. А. Силаев
Научно-исследовательский институт ядерной физики им. Д.В. Скобельцына Московского государственного университета им. М.В. Ломоносова
Email: pvol4@ya.ru
Russian Federation, 119234, Москва, Ленинские горы, 1, стр.2
А. А. Силаев
Научно-исследовательский институт ядерной физики им. Д.В. Скобельцына Московского государственного университета им. М.В. Ломоносова
Email: pvol4@ya.ru
Russian Federation, 119234, Москва, Ленинские горы, 1, стр.2
А. Ю. Сидоренков
Институт ядерных исследований Российской академии наук
Email: pvol4@ya.ru
Russian Federation, 117312, Москва, пр. 60-летия Октября, 7а
А. В. Скурихин
Научно-исследовательский институт ядерной физики им. Д.В. Скобельцына Московского государственного университета им. М.В. Ломоносова
Email: pvol4@ya.ru
Russian Federation, 119234, Москва, Ленинские горы, 1, стр.2
А. В. Соколов
Новосибирский государственный университет; Институт ядерной физики Сибирского отделения Российской академии наук им. Г.И. Будкера
Email: pvol4@ya.ru
Russian Federation, 630090, Новосибирск, ул. Пирогова, 1; 630090, Новосибирск, пр. Академика Лаврентьева, 11
В. А. Таболенко
Научно-исследовательский институт прикладной физики Иркутского государственного университета
Email: pvol4@ya.ru
Russian Federation, 664003, Иркутск, б-р Гагарина, 20
А. Б. Танаев
Научно-исследовательский институт прикладной физики Иркутского государственного университета
Email: pvol4@ya.ru
Russian Federation, 664003, Иркутск, б-р Гагарина, 20
М. Ю. Терновой
Научно-исследовательский институт прикладной физики Иркутского государственного университета
Email: pvol4@ya.ru
Russian Federation, 664003, Иркутск, б-р Гагарина, 20
Л. Г. Ткачев
Объединенный институт ядерных исследований
Email: pvol4@ya.ru
Russian Federation, 141980, Московская обл., Дубна, ул. Жолио-Кюри, 6
Н. А. Ушаков
Институт ядерных исследований Российской академии наук
Email: pvol4@ya.ru
Russian Federation, 117312, Москва, пр. 60-летия Октября, 7а
Д. В. Чернов
Научно-исследовательский институт ядерной физики им. Д.В. Скобельцына Московского государственного университета им. М.В. Ломоносова
Email: pvol4@ya.ru
Russian Federation, 119234, Москва, Ленинские горы, 1, стр.2
И. И. Яшин
Национальный исследовательский ядерный университет “МИФИ”
Email: pvol4@ya.ru
Russian Federation, 115409, Москва, Каширское ш., 31
References
- Amenomori M., Bao Y.W., Bi X.J., Chen D., Chen T.L., Chen W.Y., Chen Xu, Chen Y., Cirennima, Cui S.W., Danzengluobu, Ding L.K., Fang H., Fang K., Feng C.F. et al. // Phys. Rev. 2019. V. 123. P. 051101. https://doi.org/10.1103/PhysRevLett.123.051101
- Cao Z., Aharonian F.A., An Q., Axikegu L.X., Bai, Bai Y.X., Bao Y.W., Bastieri D., Bi X.J., Bi Y.J., Cai H., Cai J.T., Zhe Cao, Chang J., Chang F. et al. // Nature. 2021. V. 594. P. 33. https://doi.org/10.1038/s41586-021-03498-z
- Liu R.-Y., Wang X.-Y.// Astrophys. J. 2021. V. 922. P. 221. https://doi.org/10.3847/1538-4357/ac2ba0
- Abeysekara A.U., Albert A., Alfaro R., Angeles Camacho J.R., Arteaga-Vel´azquez J.C., Arunbabu K.P., Avila Rojas D., Ayala Solares H.A., Baghmanyan V., Belmont-Moreno E., BenZvi S.Y., Brisbois C., Caballero-Mora K.S., Capistr´an T., Carrami˜nana A. et al. // Phys. Rev. Lett. 2020. V. 124. Р. 021102. https://doi.org/10.1103/PhysRevLett.124.021102
- Budnev N., Chernov D., Gress O., Korosteleva E., Kuzmichev L., Lubsandorzhiev B., Navarra G., Pankov L., Prosin V., Semeney Yu. et al. // Astropart. Phys. 2013. V. 50-52. P. 18. https://doi.org/10.1016/j.astropartphys.2013.09.006.
- Berezhnev S.F., Besson D., Budnev N.M., Chiavassa A., Chvalaev O.A., Gress O.A., Dyachok A.N., Epimakhov S.N., Haungs A., Karpov N.I., Kalmykov N.N., Konstantinov E.N., Korobchenko A.V., Korosteleva E.E., Kozhin V.A. et al. // Nuclear Instrum. Methods in Phys. Res. Sect. A: Accelerators, Spectrometers, Detectors and Associated Equipment. 2012. V. 692. P. 98. https://doi.org/10.1016%2Fj.nima.2011.12.091
- Apel W.D., Arteaga-Vel´azquez J.C., Bekk K., Bertaina M., Blümer J., Bozdog H., Brancus I.M., Buchholz P., Cantoni E., Chiavassa A., Cossavella F., Daumiller K., de Souza V., Di Pierro F., Doll P. et al. // Astropart. Phys. V. 36(1). P. 183. 2012. https://doi.org/10.1016/j.astropartphys.2012.05.023
- Monkhoev R.D., Budnev N.M., Chiavassa A., Dyachok A.N., Gafarov A.R., Gress O.A., Gress T.I., Grishin O.G., Ivanova A.L., Kalmykov N.N., Kazarina Yu.A., Korosteleva E.E., Kozhin V.A., Kuzmichev L.A., Lenok V.V. et al. // J. Instrum. 2017. V. 12. P. C06019. https://doi.org/10.1088/1748-0221/12/06/c06019
- Fedorov O., Bezyazeekov P.A., Budnev N.M., Chernykh D., Gress O.A., Haungs A., Hiller R., Huege T., Kazarina Y., Kleifges M., Korosteleva E.E., Kostunin D., Krömer O., Kuzmichev L.A., Lenok V. et al. // arXiv: 1712.00974v1 [astro-ph.IM]. 2017. https://doi.org/10.48550/ARXIV.1712.00974.
- Yashin I.I., Astapov I.I., Barbashina N.S., Bogdanov A.G., Boreyko V., Budnev N.M., Büker M., Bruckner M., Chiavassa A., Chvalaev O.B., Gafarov A.V., Gorbunov N., Grebenyuk V., Gress O.A., Grinyuk A. et al. // J. Phys.: Conference Series. 2016. V. 675(3). P. 032037. https://doi.org/10.1088/1742-6596/675/3/032037.
- Tluczykont M., Hampf D., Horns D., Spitschan D., Kuzmichev L., Prosin V., Spiering C., Wischnewski R. // Astropart. Phys. 2014. V. 56. P. 42. ISSN 0927-6505.
- https://doi.org/10.1016/j.astropartphys.2014.03 URL https://www.sciencedirect.com/science/article/pii/ S0927650514000322.
- Kuzmichev L., Astapov I., Bezyazeekov P., Boreyko V., Borodin A., Brückner M., Budnev N., Chiavassa A., Gress O., Gress T., Grishin O., Dyachok A., Epimakhov S., Fedorov O. et al. // EPJ. Web of Conferences. 2017. V. 145. P. 01001. https://doi.org/10.1051/epjconf/201714501001.
- Tluczykont M., Budnev N., Astapov I., Barbashina N., Bogdanov A., Boreyko, Brückner M., Chiavassa A., Chvalaev O., Gress O., Gress T., Grishin O., Dyachok A., Epimakhov S., Fedorov O. et al. // EPJ. Web of Conferences. 2017. V. 136. P. 03008. https://doi.org/10.1051/epjconf/201713603008.
- Hinton J.A. // New Astronomy Rev. 2004.V. 48(5-6). P. 331. ISSN 1387-6473. https://doi.org/10.1016/j.newar.2003.12.004
- Cortina J. // International Cosmic Ray Conference. 2011. V. 11. P. 147. https://doi.org/10.48550/arXiv.1110.4747
- Perkins J.-S., Maier G. (VERITAS Collab.). // arXiv e-prints. art. arXiv:0912.3841. Fermi Symposium, Cornell Un. 2009. https://doi.org/10.48550/arXiv.0912.3841
- Acharya B.S., Actis M., Aghajani T., Agnetta G., Aguilar J., Aharonian F., Ajello M., Akhperjanian A., Alcubierre M. et al. // Astropart. Phys. 2013. V. 43. P. 3. https://doi.org/10.1016/j.astropartphys.2013.01.007
- Brown A.M., Acharyya A., Dominguez A., Hassan T., Lenain J.-P., Pita S. // Proceed. of 37th Intern. Cosmic Ray Conference. Proceed. Sience. 2021. V. 395. P. 0887. https://doi.org/10.22323/1.395.0887
- Archambault S., Archer A., Benbow W., Bird R., Bourbeau E., Buchovecky M., Buckley J.H., Bugaev V., Cerruti M., Connolly M.P., Cui W., Dwarkadas V.V, Errando M., Falcone A., Feng Q., et al. // Astrophys. J. 2017. V. 836(1). P. 23. https://doi.org/10.3847/1538-4357/836/1/23
- Aliu E., Archambault S., Arlen T., Aune T., Beilicke M., Benbow W., Bouvier A., Buckley J.H., Bugaev V., Cesarini A., Ciupik L., Collins-Hughes E., Connolly M.P., Cui W., Dickherber R. et al. // Astrophys. J. 2013.V. 764(1). P. 38. https://doi.org/10.1088/0004-637X/764/1/38
- Свешникова Л.Г., Волчугов П.А., Постников Е.Б., Астапов И.И., Безъязыков П.А., Бонвеч Е.А., Бородин А.Н., Буднев Н.М., Булан А.В., Вайдянатан А., Волков Н.В., Воронин Д.М., Гафаров А.Р., Гресь Е.О., Гресь О.А. и др. // Известия РАН. cерия физ. 2023. Т. 87. № 7. С. 966. https://doi.org/10.31857/S0367676523701697.
- Kuzmichev L., Astapov I., Bezyazeekov P., Borodin A., Brückner M., Budnev N., Chiavassa A., Gress O., Gress T., Grishin O., Dyachok A., Fedorov O., Gafarov A., Garmash A., Grebenyuk V. et al. // Nuclear Instruments and Methods in Physics Research. Section A: Accelerators, Spectrometers, Detectors and Associated Equipment. 2020. V. 952. P. 161830. https://doi.org/10.1016/j.nima.2019.01.056
- Kompaniets K.G. (TAIGA Сollab.). Development of front-end electronics of TAIGA-IACT. // Poster presented at International Symposium on Cosmic Rays and Astrophysics (ISCRA2019). Moscow, 2019. https://iscra2019.mephi.ru/content/public/files/posters/ Poster_4_07_KompanietsK.pdf
- Lubsandorzhiev N., Astapov I., Bezyazeekov P., Boreyko V., Borodin A., Brückner M., Budnev N., Chiavassa A., Dyachok A., Fedorov O., Gafarov A., Garmash A., Gorbunov N., Grebenyuk V., Gress O. et al. // Proceed. of 35th Intern. Cosmic Ray Conference. Proceed. Sience. 2017. V. 301. P. 0757. https://doi.org/10.22323/1.301.0757.
- Sveshnikova L., Astapov I., Bezyazeekov P., Blank M., Borodin A., Brückner M., Budnev N., Bulan A., Neelakandaiyer A., Wischnewski R., Volchugov P., Voronin D., Gafarov A., Garmash A., Grebenyuk V. et al. // Bull. Russian Acad. Sciences: Physics. 2021. V. 85. P. 398. https://doi.org/10.3103/S1062873821040365
- D. Heck, J. Knapp, J.N. Capdevielle, G. Schatz, T. Thouw. // Technical Report FZKA-6019. Forschungszentrum Karlsruhe GmbH. Karlsruhe, 1998. https://doi.org/10.5445/IR/270043064
- Ostapchenko S. // Phys. Rev. D. 2011. 83(1). P. 014018. https://doi.org/10.1103/PhysRevD.83.014018
- Fesefeldt H. The simulation of hadronic showers: physics and applications. // Technical report. Physikalisches Institut. Technische Hochschule Aachen (PITHA). 1985. URL http://cds.cern.ch/record/162911/files/CM-P00055931.pdf
- Grinyuk E., Postnikov N., Sveshnikova L. // Phys. Atomic Nuclei. 2020. V. 83. P. 262. https://doi.org/10.1134/S106377882002012X
- Mirzoyan R., Lorenz E., Petry D., Prosch C. // Nuclear Instruments and Methods in Physics Research Section A: Accelerators, Spectrometers. Detectors and Associated Equipment. 1997. V. 387(1). P. 74. https://doi.org/10.1016/S0168-9002(96)00964-3
- Hillas A.M. // 19th International Cosmic Ray Conference (ICRC19).1985. V. 3. P. 445.
- Krawczynski H., Carter-Lewis D.A., Duke C., Holder J., Maier G., Le Bohec S., Sembroski G. // Astropart. Phys. V. 25. P. 380. 2006. https://doi.org/10.1016/j.astropartphys.2006.03.011
- Hofmann W., Lampeitl H., Konopelko A., Krawczynski H. // Astropart. Phys. V. 12(4). P. 207. 2000. https://doi.org/10.1016%2Fs0927-6505%2899%2900109-7.
- Просин В.В. Энергетический спектр и массовый состав космических лучей в диапазоне энергий 1015–1017 эВ по данным установок для регистрации черенковского света от широких атмосферных ливней. Дисс. … докт. физ.-мат. наук. М.: МГУ, 2006. 196 с.
Supplementary files











