Лабораторная установка для повышения технологического выхода 123I при облучении протонами мишени с 124Xe
- Авторы: Артюхов А.А.1, Загрядский В.А.1, Кравец Я.М.1, Кузнецова Т.М.1, Маламут Т.Ю.1, Новиков В.И.1, Рыжков А.В.1, Скобелин И.И.1, Удалова Т.А.1
-
Учреждения:
- Национальный исследовательский центр “Курчатовский институт”
- Выпуск: № 6 (2023)
- Страницы: 119-125
- Раздел: ФИЗИЧЕСКИЕ ПРИБОРЫ ДЛЯ ЭКОЛОГИИ, МЕДИЦИНЫ, БИОЛОГИИ
- URL: https://ogarev-online.ru/0032-8162/article/view/233269
- DOI: https://doi.org/10.31857/S0032816223060010
- EDN: https://elibrary.ru/XUZWTR
- ID: 233269
Цитировать
Полный текст
Аннотация
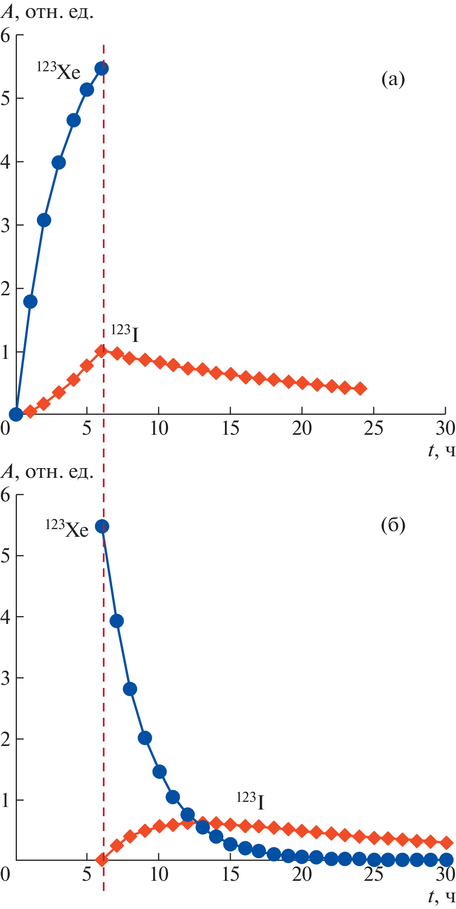
Одним из способов получения 123I является облучение протонами газообразного 124Xe, в среде которого происходят ядерные реакции, приводящие к образованию и распаду изотопов 123Xe и 123I. По окончании облучения газовую фазу конденсируют из мишенного устройства в специальную “распадную” емкость, в которой в процессе распада 123Xe происходит образование и накопление целевого изотопа 123I. За время облучения в мишенном устройстве образуется и оседает на его стенках количество 123I, сопоставимое с получаемым в ”распадной” емкости. Для повышения общего выхода 123I была создана лабораторная установка и отработан технологический процесс извлечения 123I со стенок мишени. Для этого использовались органические растворители – ацетон и диэтиловый эфир. При смывании со стенок мишенного устройства с алюминиевым корпусом доля извлекаемого 123I составляет не менее 84%. Потери при последующей вакуумной отгонке растворителей не превышают 5%. После вакуумной отгонки выделенный 123I растворяется в NaOH. На этом этапе эффективность смыва 123I раствором 0.01 M NaOH составляет не менее 95%. Однако даже с учетом этих потерь предложенный способ дает возможность дополнительно извлекать из мишенного устройства радионуклид 123I в количестве равном или превышающем активность нарабатываемого 123I по существующей технологии.
Об авторах
А. А. Артюхов
Национальный исследовательский центр “Курчатовский институт”
Email: udalova_ta@nrcki.ru
Россия, 123182, Москва, пл. Академика Курчатова, 1
В. А. Загрядский
Национальный исследовательский центр “Курчатовский институт”
Email: udalova_ta@nrcki.ru
Россия, 123182, Москва, пл. Академика Курчатова, 1
Я. М. Кравец
Национальный исследовательский центр “Курчатовский институт”
Email: udalova_ta@nrcki.ru
Россия, 123182, Москва, пл. Академика Курчатова, 1
Т. М. Кузнецова
Национальный исследовательский центр “Курчатовский институт”
Email: udalova_ta@nrcki.ru
Россия, 123182, Москва, пл. Академика Курчатова, 1
Т. Ю. Маламут
Национальный исследовательский центр “Курчатовский институт”
Email: udalova_ta@nrcki.ru
Россия, 123182, Москва, пл. Академика Курчатова, 1
В. И. Новиков
Национальный исследовательский центр “Курчатовский институт”
Email: udalova_ta@nrcki.ru
Россия, 123182, Москва, пл. Академика Курчатова, 1
А. В. Рыжков
Национальный исследовательский центр “Курчатовский институт”
Email: udalova_ta@nrcki.ru
Россия, 123182, Москва, пл. Академика Курчатова, 1
И. И. Скобелин
Национальный исследовательский центр “Курчатовский институт”
Email: udalova_ta@nrcki.ru
Россия, 123182, Москва, пл. Академика Курчатова, 1
Т. А. Удалова
Национальный исследовательский центр “Курчатовский институт”
Автор, ответственный за переписку.
Email: udalova_ta@nrcki.ru
Россия, 123182, Москва, пл. Академика Курчатова, 1
Список литературы
- Левин В.И., Попович В.Б., Малинин А.Б., Куренков Н.В. SU671194A1. Советский патент 1980 года по МПК C01B7/00.
- Флеров Г.Н., Оганесян Ю.Г., Белов А.Г., Стародуб Г.Я. Препринт ОИЯИ № 18-85-750, 1985.
- Алексеев Е.Г., Гусельников В.С., Зайцев В.М. SU1709399A1. 1989. Советский патент 1992 года по МПК G21G1/10.
- Веников Н.И., Воробьев О.А., Новиков В.И., Себякин А.А., Соколов А.Ю., Фомичев Д.И., Шабров В.А. Препринт ИАЭ-4934/14, 1989 г.
- Веников Н.И., Себякин А.А. Патент SU 1661842. // Бюллетень № 25 от 07.07.1991 г.
- Firouzbakht M.L., Teng R.R., Schlyer D.J., Wolf A.P. // Radiochimica Acta. 1987. V. 41. P. 1. https://doi.org/10.1524/ract.1987.41.1.1
- Tarkanyi F., Quaim S.M., Stöcklin G., Sajjad M., Lambrecht R.M., Schweickert H. // Intern. J. Radiat. Appl. Instrument. Part A. Appl. Radiat. Isotop.1991. V. 42. P.221. https://doi.org/10.1016/0883-2889(91)90080-K
- Oberdorfer F., Meissner M., Tiede A., Schweickert H. IAEA-RC-1025.3 2009.





