Development of a Technique for Determining the Optimal Number of Projections when Realizing the Method of Multiangle Scanning of an Ionizing Radiation Beam
- Autores: Bulavskaya A.A.1, Bushmina E.A.1, Grigorieva A.A.1, Ermakova A.S.1, Miloichikova I.A.1,2, Stuchebrov S.G.1
-
Afiliações:
- National Research Tomsk Polytechnic University
- Cancer Research Institute, Tomsk National Research Medical Center, Russian Academy of Sciences
- Edição: Nº 4 (2023)
- Páginas: 101-107
- Seção: ОБЩАЯ ЭКСПЕРИМЕНТАЛЬНАЯ ТЕХНИКА
- URL: https://ogarev-online.ru/0032-8162/article/view/138435
- DOI: https://doi.org/10.31857/S0032816223030187
- EDN: https://elibrary.ru/CVSVFW
- ID: 138435
Citar
Texto integral
Resumo
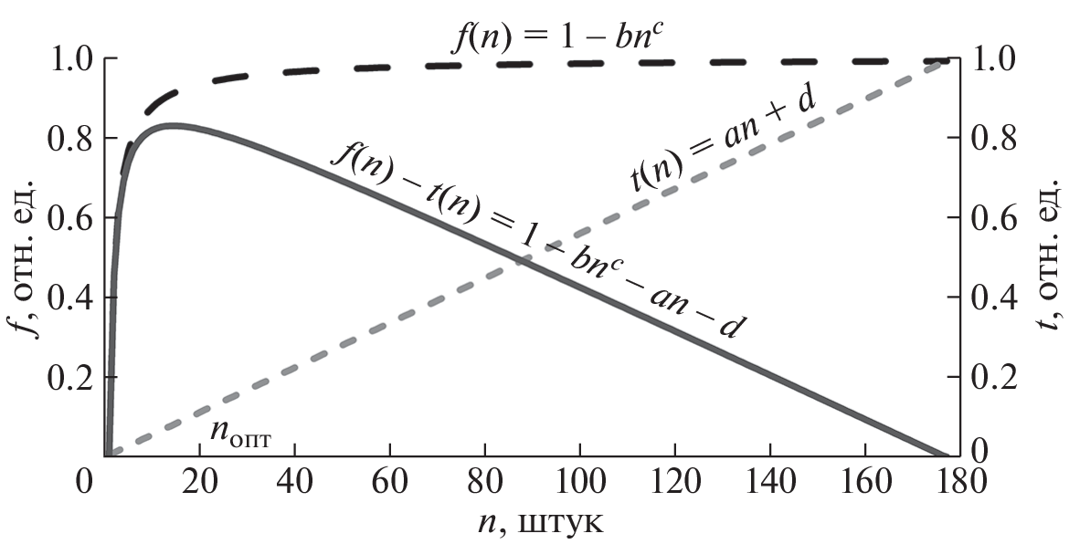
A method of multiangle scanning for measuring the cross-sectional beam intensity distribution has been developed. This method is based on reconstructing the beam profiles obtained at different angles in a plane perpendicular to the beam axis. To efficiently implement the multiangle scanning method, it is necessary to find the optimal number of projections, i.e., such a number for which the measurement result remains reliable with a minimum measurement time. A numerical simulation provided the development of a technique for finding the optimal number of projections, and it was shown that the optimal number is ten if the errors due to operation of units of the experimental setup are disregarded. To eliminate this error, multiangle X-ray beam scanning was carried out and its intensity distributions in the cross section were reconstructed with different numbers of projections. The developed technique was used to determine the optimal number of projections for this experimental setup, which were 18.
Sobre autores
A. Bulavskaya
National Research Tomsk Polytechnic University
Email: bulavskaya@tpu.ru
634050, Tomsk, Russia
E. Bushmina
National Research Tomsk Polytechnic University
Email: eab60@tpu.ru
634050, Tomsk, Russia
A. Grigorieva
National Research Tomsk Polytechnic University
Email: eab60@tpu.ru
634050, Tomsk, Russia
A. Ermakova
National Research Tomsk Polytechnic University
Email: eab60@tpu.ru
634050, Tomsk, Russia
I. Miloichikova
National Research Tomsk Polytechnic University; Cancer Research Institute, Tomsk National Research Medical Center, Russian Academy of Sciences
Email: eab60@tpu.ru
634050, Tomsk, Russia; Tomsk, Russia
S. Stuchebrov
National Research Tomsk Polytechnic University
Autor responsável pela correspondência
Email: eab60@tpu.ru
634050, Tomsk, Russia
Bibliografia
- Wolski A. Beam dynamics in high energy particle accelerators. Singapore: World Scientific Publishing, 2014.
- Patterson H.W. Accelerator health physics. Amsterdam: Elsevier, 2012.
- Hamm R.W., Hamm M.E. Industrial accelerators and their applications. Singapore: World Scientific Publishing, 2012.
- Okabe S., Tabata T., Tsumori K. // Japanese Journal of Applied Physics. 1966. T. 5. № 1. C. 68. https://doi.org/10.1143/JJAP.5.68
- Michail C., Valais I., Seferis I., Kalyvas N., David S., Fountos G., Kandarakis I. // Radiation Measurements. 2014. T. 70. C. 59. https://doi.org/10.1016/j.radmeas.2014.09.008
- Ronda C.R. Luminescence: from theory to applications. New Jersey: John Wiley & Sons, 2007.
- Ozawa L. // Journal of The Electrochemical Society. 1979. T. 126. № 1. C. 106. https://doi.org/10.1149/1.2128962
- Johnson C.D. // Preprint № CERN-PS-90-42-AR. 1990.
- Borca V.C., Pasquino M., Russo G., Grosso P., Cante D., Sciacero P., Girelli G., La Porta M.R., Tofani S. // Journal of applied clinical medical physics. 2013. T. 14. № 2. C. 158. https://doi.org/10.1120/jacmp.v14i2.4111
- Zhu X.R., Yoo S., Jursinic P.A., Grimm D.F., Lopez F., Rownd J.J., Gillin M.T. // Medical physics. 2003. T. 30. № 5. C. 912. https://doi.org/10.1118/1.1568979
- Amerio S., Boriano A., Bourhaleb F., Cirio R., Donetti M., Fidanzio A., Garelli E., Giordanengo S., Madon E., Marchetto F., Nastasi U., Peroni C., Piermattei A., Sanz Freire C.J., Sardo A., Trevisiol E. // Medical physics. 2004. T. 31. № 2. C. 414. https://doi.org/10.1118/1.1639992
- Spezi E., Angelini A.L., Romani F., Ferri A. // Physics in Medicine & Biology. 2005. T. 50. №. 14. C. 3361. https://doi.org/10.1088/0031-9155/50/14/012
- https://www.elsesolutions.com/wp-content/uploads/2015/07/StarTrack.pdf
- https://www.iba-dosimetry.com/product/matrixx-universal-detector-array/
- Létourneau D., Gulam M., Yan D., Oldham M., Wong J.W. // Radiotherapy and Oncology. 2004. T. 70. № 2. C. 199. https://doi.org/10.1016/j.radonc.2003.10.014
- Bal C., Bravin E., Lefevre T., Scrivens R., Taborelli M. // Proc. of DIPAC 2005. Lyon, France. CERN, 2005. № CERN-AB-2005-067.
- Duggal A.R., Srivastava A.M. US Paten 6566808. 2003.
- Cheymol B. Th. Docteur d’Universit´e dans la specialit’e de Physique des Particules. Université Blaise Pascal-Clermont-Ferrand II, 2011.
- Boogert S.T., Blair G.A., Boorman G., Bosco A., Deacon L.C., Karataev P., Aryshev A., Fukuda M., Terunuma N., Urakawa J., Corner L., Delerue N., Foster B., Howell D., Newman M., et al. // Physical Review Special Topics-Accelerators and Beams. 2010. T. 13. № 12. C. 122801. https://doi.org/10.1103/PhysRevSTAB.13.122801
- Pozimski J., Gibson S.M. // Proc. of the 2nd International Beam Instrumentation Conference IBIC2013. UK, Oxford, 2013. C. 503.
- Nazhmudinov R.M., Kubankin A.S., Kishin I.A., Zhukova P.N., Nasonova V.A., Karataev P.V., Vukolov A.V., Potylitsyn A.P. // Journal of Instrumentation. 2018. T. 13. № 12. C. P12012. https://doi.org/10.1088/1748-0221/13/12/P12012
- Trad G. Thesis … Doctor from the University of Grenoble. Speciality: Subatomic Physics and Astroparticles. U. Grenoble Alpes, 2013.
- Stuchebrov S.G., Cherepennikov Y.M., Krasnykh A.A., Miloichikova I.A., Vukolov A.V. // Journal of Instrumentation. 2018. T. 13. № 05. C. C05020. https://doi.org/10.1088/1748-0221/13/05/C05020
- Bulavskaya A.A., Cherepennikov Y.M., Chakhlov S.V., Grigorieva A.A., Miloichikova I.A., Vukolov A.V., Stuchebrov S.G. // IOP Conference Series: Materials Science and Engineering: IOP Publishing. 2021. T. 1019. № 1. C. 012043. https://doi.org/10.1088/1757-899X/1019/1/012043
- Казначеева А.О. Современные виды томографии: учебное пособие. СПб.: СПбГУ ИТМО. 2006.
- Wang Z., Bovik A.C., Sheikh H.R., Simoncelli E.P. // IEEE transactions on image processing. 2004. T. 13. № 4. C. 600.
- Shi H., Luo S., Yang Z., Wu G. // PLoS one. 2015. T. 10. № 9. C. e0138498. https://doi.org/10.1371/journal.pone.0138498
- Chen C.C., Chu H.T. // 29th Annual International Computer Software and Applications Conference (COMPSAC'05). IEEE, 2005. T. 2. C. 41. https://doi.org/10.1109/COMPSAC.2005.140
- Wang L., Zhang Y., Feng J. // IEEE transactions on pattern analysis and machine intelligence. 2005. T. 27. № 8. C. 1334. https://doi.org/10.1109/TPAMI.2005.165
- Maurer C.R., Qi R., Raghavan V. // IEEE Transactions on Pattern Analysis and Machine Intelligence. 2003. T. 25. № 2. C. 265. https://doi.org/10.1109/TPAMI.2003.1177156
- Двилис Э.С. Дис. … докт. физ.-мат. наук. Томск: Томский политехнический университет, 2013.
- https://www.crystals.saint-gobain.com/products/bc-408-bc-412-bc-416
- https://www.onsemi.com/products/sensors/photodetectors-sipm-spad/silicon-photomultipliers-sipm/j-series%20sipm
- ГОСТ 33366.1-2015 (ISO 1043-1:2011) Пластмассы. Условные обозначения и сокращения. Часть 1. Основные полимеры и их специальные характеристики. М.: Стандартинформ, 2016.
- https://www.eworldtrade.com/c/amerlighting/
- https://old.aspect-dubna.ru/new/page.php%3Fpage=431.html
- https://old.aspect-dubna.ru/new/page.php%3Fpage=309.html
- https://old.aspect-dubna.ru/new/page.php%3Fpage=492.html
- Красных А.А., Черепенников Ю.М., Милойчикова И.А., Стучебров С.Г. Свидетельство о государственной регистрации программ для ЭВМ № 2019610265 РФ // Опубл. 09.01.19.
- http://www.gafchromic.com/documents/EBT3_Specifications.pdf
- https://www.epson.ru/catalog/scanners/epson-perfection-v750-pro/
- https://uk.mathworks.com/products/matlab.html
- https://ncontrol.ru/catalog/rentgenovskiy_kontrol/rentgenovskie_apparaty/rentgenovskiy_apparat_rap_160_5
Arquivos suplementares







