Applying the litter–bag technique for researching plant litter decomposition processes in natural and urbanized biogeocenoses
- Авторлар: Zemskov P.I.1, Bogatyrev L.G.1
-
Мекемелер:
- Lomonosov Moscow State University
- Шығарылым: № 1 (2025)
- Беттер: 74–91
- Бөлім: SOIL CHEMISTRY
- URL: https://ogarev-online.ru/0032-180X/article/view/287051
- DOI: https://doi.org/10.31857/S0032180X25010068
- EDN: https://elibrary.ru/BXWKNI
- ID: 287051
Дәйексөз келтіру
Толық мәтін
Аннотация
In the research of decomposition processes in the urban forest biogeocenoses of the Arboretum of the Botanical Garden of Moscow State University, the litter–bag technique was applied. To determine the leading factors of decomposition of the test materials, the study was carried out in various biogeocenoses of the zonal range: from the zone of mixed forest (Moscow region) to the zone of dry steppes (Volgograd region). Standardized samples of wood, cellulose, tea and native forest litters were placed on the soil surface (within or below the forest litter), then collected at different time intervals. For each study site the dynamics of mass loss were estimated, and some zonal and local decomposition patterns related to the decomposition factors were described. It was shown that the leading decomposition factors are specific to the different materials. Thus, the decomposition of wood and cellulose is controlled by temperature and moisture. The decomposition rate of tea in the initial stages depends on climate, but differs in deciduous and coniferous forests. The decomposition rate of native litters is not controlled by climate in the studied range. In the MSU Botanical Garden, the decomposition of wood is slowed to the rates that are typical for zonal forests located 320–440 km to the south. The native litters in coniferous forests of Botanical Garden, on the contrary, decompose faster than in natural biogeocenoses, which is consistent with previous data on litter-fall input and litter reserves. Thus, the specifics of the use of some test materials for decomposition studies in human–influenced biogeocenoses is shown; in addition, it is shown that the wood can be used as a test material.
Толық мәтін
Введение
Лесная подстилка является центральным звеном в биологическом круговороте лесных биогеоценозов (БГЦ), и протекающие в ней процессы разложения интересны в различных аспектах, таких как формирование органического вещества и химического состава почв, закрепление и высвобождение углерода, фиксация и мобилизация поллютантов. Мощность подстилки входит в число показателей гумусного состояния почв по [6].
Для обобщенного названия опада, лесных подстилок, степного войлока и других видов мертвого органического вещества используется термин “детрит” по Глазовской [5]. Разложение мертвого органического вещества (детрита) в подстилке контролируется множеством факторов, влияющих на состав и активность агентов разложения – почвенной биоты. Таким образом, под факторами разложения материала понимаются факторы, определяющие активность местной почвенной биоты в отношении разложения данного материала.
Факторы разложения можно подразделить на внешние и внутренние. Внешние – это климатические условия на уровне поверхности почвы, а также различные антропогенные факторы. К внешним факторам относят состав древостоя, определяющий состав опада, а, следовательно, и состав почвенной биоты. Внутренние факторы – это свойства самого материала: химический состав, плотность сложения, водоудерживающая способность, размер частиц, их внутренняя структура. Реализация внешних факторов разложения, как будет показано далее, зависит от внутренних факторов, т.е. изменение внешнего фактора (например, повышение температуры) может приводить к ускорению разложения одного материала и, одновременно, к замедлению разложения другого.
Для мониторинга факторов и процессов разложения на местности используют метод стандартизированных образцов, или метод мешочков с детритом (англ. the litter–bag technique). Одна из первых работ, где используется такой метод, вышла в 1943 г. [26], а в современном виде метод [20] описан в 1957 г. Образцы помещают в мешочки из инертной сетки и закладывают в лесную подстилку или в почву на определенный срок, затем исследуют изменение массы и/или других показателей разложения. Подробное описание метода приводится в пособии [18] и ряде других работ тех же авторов.
Материалы образцов можно условно подразделить на стандартные и нативные [7]. Стандартные – это фабричный продукт, не имеющий генетической связи с исследуемым биогеоценозом: полоски ткани [27], листы целлюлозы в виде специальной бумаги или картона [16], фильтровальная бумага [19, 34] и даже чай в пакетиках [30]. Нативные материалы генетически связаны с объектами исследования: это образцы местного опада, подстилок или фитомассы. Часто используют промежуточный вариант – материалы, схожие с местным детритом исследуемых БГЦ, но не обязательно собранные там же, например, однородную сосновую хвою закладывают в разных сосновых лесах [17].
Стандартные материалы позволяют проводить исследования в широком географическом диапазоне и получать преемственные данные, работая независимыми группами исследователей. Вместе с тем, учитывая многообразие внутренних и внешних факторов разложения, нельзя быть уверенным в том, что скорость разложения стандартных материалов на исследуемых объектах соответствует скорости разложения местного детрита, поскольку они в большей или меньшей степени отличны от местного детрита по своим свойствам и составу. Так, автор [28] критиковал использование хлопковых полосок, утверждая, что разложение чистой целлюлозы нельзя сравнивать с разложением растительных полимеров, где целлюлоза присутствует с пектинами, гемицеллюлозами и лигнином.
Известно, что на процессы разложения влияет чередование увлажнения и иссушения, и это воздействие может быть неодинаковым на разных стадиях процесса [33]. Процессы промораживания–оттаивания также влияют как на общую потерю массы материалов, так и на потерю отдельных компонентов, и это влияние своеобразно для каждого материала [21, 25]. В метаисследовании [23] утверждается, что отличия, обусловленные видовой принадлежностью, намного выше, чем считалось ранее, и более значительны, чем те, что обусловлены климатом. Способность детрита тех или иных видов к разложению коррелирует с их экологической стратегией [23]. Наблюдается положительная корреляция между скоростью потери биомассы, потенциальной скоростью роста и способностью к разложению [11]. Даже химический состав и строение детрита, произведенного растениями одного вида, но в разных климатических условиях, могут отличаться, внося дополнительное варьирование в получаемые данные [22].
Этот метод применяют и для мониторинга антропогенного воздействия [8, 16]. Считается [24], что антропогенное воздействие, например, аэротехногенное загрязнение, может угнетать почвенную биоту; это приводит к снижению скорости разложения, что и может быть оценено на примере стандартизированных образцов. Но наличие загрязнения часто сочетается с изменением и других факторов, таких как температура и влажность на уровне поверхности почвы – вследствие общих отличий городского климата от фонового, или вследствие изреживания древостоев, или их прочистки от подлеска. Поэтому не всегда можно точно определить, является ли загрязнение непосредственной причиной наблюдаемого снижения скорости разложения, или этот эффект чем–то опосредован, или его причины вовсе не связаны с загрязнением.
Цель исследования – на примере биогеоценозов зонального ряда изучить некоторые стандартные материалы, исследовать, какие факторы контролируют их разложение, и опробовать эти материалы для исследования городских лесных биогеоценозов.
Объекты и методы
Объекты исследования. Для изучения ведущих факторов разложения различных материалов исследования проводили в УОПЭЦ МГУ “Чашниково” (городской округ Солнечногорск Московской области) и по маршруту зональной практики факультета почвоведения МГУ: в зоне широколиственных лесов (Тульская область), в зоне лесостепей (Липецкая и Воронежская области) и в зоне сухих степей (Волгоградская область). В этих локациях выбирали леса дренированных ландшафтов, чтобы на примере схожих биогеоценозов изучить закономерности разложения материалов в зональном ряду, а в качестве вспомогательных объектов – леса полугидроморфных ландшафтов, лесополосы и травяные БГЦ. Объекты расположены по линии северо-запад – юго-восток с разбросом в перпендикулярном направлении не более 140 км.
Кроме того, на территории города в Дендрарии Ботанического сада (БС) МГУ (Ленинские горы) были выбраны три хвойных и три лиственных биогеоценоза: лиственничник (Larix gmelinii (Rupr.) Kuzen.), сосняк (Pinus sylvestris L.), ельник (Picea obovata Ledeb.), тополевник (Populus alba L.), грабинник (Carpinus betulus L.) и березово-кленовая защитная полоса (Betula pendula Roth., Acer platanoides L.).
Антропогенное воздействие на эти биогеоценозы – умеренное, сводится к влиянию общих особенностей городского климата и поступлению атмосферной пыли. В предыдущих работах показано [2], что биогеоценозы БС МГУ слабо загрязнены тяжелыми металлами, а концентрации прочих элементов не превышают ПДК для природных вод. По химическому составу снега биогеоценозы БС МГУ сближаются с БГЦ Чашниково, принятыми за фоновые.
Как антропогенный фактор можно рассматривать и искусственное происхождение БГЦ. Почвы Ботанического сада созданы или трансформированы человеком и имеют ряд отличий от зональных дерново–подзолистых почв [13, 15]. Биогеоценозы отличаются малой площадью: их горизонтальная протяженность (15–20 м) примерно равна высоте древостоя. В результате происходит интенсивный обмен опадом между лиственными и хвойными БГЦ, а также вынос опада на безлесные пространства. Время от времени эти насаждения прочищают от подлеска и поваленных деревьев.
Общие характеристики объектов исследования приведены в табл. 1. Названия почв даны по классификации 1977 г. [10], для БС МГУ – по [155]. Условия увлажнения диагностированы по особенностям почвенных профилей, а также по общей освещенности, характеру подстилок и травяного покрова на уровне поверхности почвы. Пл. 6 (лесополоса) рассматривается как широколиственный лес из-за схожести по этим признакам с местными лесами.
Таблица 1. Общие характеристики объектов исследования
Группа объектов | № пл. | БГЦ | Тип и состав подстилки | Название почвы | Реферативные почвенные группы (WRB, [35]) | Запасы подстилки ± Δ, г/м2 | Характеристика условий увлажнения | Широта, град | Температура воздуха, °С | Сумма активных температур, °С | Сумма положительных температур, °С | Сумма осадков, мм |
Чашниково | 18 | Смешанный лес (ель > клен > береза) | Деструктивная; хвойно-лиственная | Болотно-подзолистая, дерново-подзолистая, профильно-глеевая, легкосуглинистая | Albic, Gleyic Luvisol (Loamic, Cutanic) | 524 ± 285 | Полугидроморфная | 56.04 | 5.84 | 2351 | 2802 | 650 |
19 | Ельник–кисличник | Гумифицированная; хвойная | Слабодерновая среднеподзолистая, языковатая легкосуглинистая | Albic Luvisol (Loamic, Cutanic) | 2555 ± 862 | Автоморфная | 56.04 | 5.85 | 2352 | 2803 | 650 | |
20 | Смешанный лес (береза > осина > ель) | Деструктивная; хвойно-лиственная | Болотно-подзолистая, дерново-подзолистая, поверхностно-оглеенная легкосуглинистая | Albic, Gleyic Luvisol (Loamic, Cutanic) | 399 ± 143 | Полугидроморфная | 56.03 | 5.85 | 2353 | 2804 | 650 | |
21 | Смешанный лес (береза > клен > липа) | Деструктивная; хвойно-лиственная | Слабодерновая, среднеподзолистая, языковатая, легкосуглинистая | Albic Luvisol (Loamic, Cutanic) | 557 ± 413 | Автоморфная | 56.02 | 5.85 | 2353 | 2804 | 650 | |
22 | Залежь березовая | Деструктивная; лиственная | Дерново-подзолистая (среднесмытая)* | Albic Luvisol | — | Автоморфная/сухая | 56.03 | 5.85 | 2352 | 2804 | 650 | |
23 | Залежь березовая | Деструктивная; лиственная | Дерново-подзолистая (слабосмытая)* | Albic Luvisol | — | Автоморфная/сухая | 56.03 | 5.85 | 2352 | 2804 | 650 | |
Тульская обл. | 1 | Широколиственный лес (липа > клен, ясень, лещина) | Деструктивная; лиственная | Серая лесная, грунтово-глееватая, (обычная), тяжелосуглинистая | Gleyic Luvisol (Loamic, Cutanic) | 457 ± 370 | Полугидроморфная | 53.99 | 6.44 | 2620 | 3038 | 594 |
Тульская обл. | 2 | Лесополоса березовая | Деструктивная; травяно-лиственная | Серая лесная (обычная)* | Albic Luvisol (Loamic, Cutanic)* | 358 ± 167 | Автоморфная/сухая | 53.97 | 6.44 | 2623 | 3040 | 593 |
3 | Широколиственный лес (липа > клен, ясень) | Деструктивная; лиственная | Светло-серая лесная, (обычная), среднемощная, среднесуглинистая | Albic Luvisol (Loamic, Cutanic) | 598 ± 262 | Автоморфная | 53.97 | 6.44 | 2622 | 3040 | 593 | |
Липецкая обл. | 4 | Широколиственный лес (клен > липа) | Деструктивная; лиственная | Чернозем типичный, среднесуглинистый | Calcic Chernozem (Loamic, Pachic) | 633 ± 230 | Автоморфная | 53.50 | 6.62 | 2695 | 3106 | 581 |
5 | Лесополоса (тополь) | Деструктивная; травяно-лиственная | Чернозем типичный, освоенный, мощный, среднесуглинистый* | Calcic Chernozem (Loamic, Pachic) | 556 ± 280 | Автоморфная/сухая | 53.49 | 6.62 | 2697 | 3107 | 581 | |
6 | ЛП / Широколиственный лес (клен > липа) | Деструктивная; лиственная | Чернозем типичный, среднесуглинистый* | Calcic Chernozem (Loamic, Pachic)* | 908 ± 517 | Автоморфная | 53.49 | 6.62 | 2696 | 3106 | 581 | |
7 | Залежь (разнотравно-злаковая растительность, редкие кустарники) | Деструктивная; травяная | Чернозем типичный, мощный, среднесуглинистый | Calcic Chernozem (Loamic, Pachic) | 164 ± 90 | Автоморфная/сухая | 53.49 | 6.62 | 2696 | 3106 | 581 | |
Воронежская обл. | 8 | Осиновый лес | Деструктивная и ферментативная; лиственная | Солодь лугово-степная, глубокодерновая, среднесуглинистая | Calcic, Albic Planosol (Loamic) | 1333 ± 395 | Полугидроморфная | 51.12 | 7.80 | 3130 | 3517 | 506 |
9 | Луг разнотравно-злаковый | Деструктивная; травяная | Лугово-черноземная, карбонатная, среднемощная, легкосуглинистая | Vermic Chernozem (Loamic) | 373 ± 220 | Полугидроморфная /сухая | 51.12 | 7.80 | 3129 | 3516 | 506 | |
12 | Бор / Смешанный лес (сосна, дуб > лещина и др.) | Ферментативная и гумифицированная; лиственно-хвойная | (Серая лесная или черноземовидная на песках) | Haplic Arenosol | 2061 ± 638 | Автоморфная/ полугидроморфная | 51.16 | 7.78 | 3121 | 3508 | 508 | |
13 | Бор / Редколесье (сосна; злаковые, крапива) | Ферментативная; хвойная | 2231 ± 546 | Автоморфная/сухая | 51.16 | 7.78 | 3121 | 3507 | 508 | |||
14 | Бор / Смешанный лес (сосна, дуб) | Ферментативная; хвойная | 1982 ± 815 | Автоморфная | 51.16 | 7.78 | 3121 | 3507 | 508 | |||
10 | Оп. уч. Лесополоса (Широколист. лес: липа, клен) | Деструктивная; лиственная | Чернозем обыкновенный, (не выщелоченный), мощный, среднесуглинистый | Vermic, Luvic Chernozem (Endocalcic, Clayic) | 553 ± 142 | Автоморфная | 51.03 | 7.86 | 3149 | 3535 | 502 | |
11 | Оп. уч. Некосимая степь (сложные группировки деревьев и кустарников) | Деструктивная; ферментативная; лиственная | Чернозем обыкновенный, (не выщелоченный), мощный, среднесуглинистый | Vermic Calcic Chernozem (Loamic, Pachic) | 1357 ± 340 | Автоморфная | 51.03 | 7.86 | 3149 | 3535 | 502 | |
Волг. обл. | 15 | Лесополоса дубовая | Деструктивная; лиственная | Каштановая, (каштановая), карбонатная, среднесуглинистая * | Calcic Cashtanozem (Loamic)* | 1752 ± 507 | Автоморфная/сухая | 49.09 | 9.34 | 3614 | 3991 | 393 |
16 | Степь типчаково-полынная | Деструктивная; травяная | Каштановая, (каштановая), карбонатная, среднесуглинистая | Calcic Cashtanozem (Loamic) | 516 ± 441 | Автоморфная/сухая | 49.09 | 9.34 | 3614 | 3991 | 393 | |
БС МГУ | 27 | Лиственничник | Ферментативная; гумифицированная; хвойная | Технодерново-подзолистая (на покровном суглинке) | Technic Retisol (Transportic) | 1902 ± 707 | Автоморфная | 55.71 | 5.93 | 2390 | 2835 | 640 |
29 | Сосняк | Деструктивная; хвойная | Серогумусовая (на техногенных отложениях) | Urbic Technosol | 1076 ± 729 | Автоморфная | 55.71 | 5.93 | 2390 | 2835 | 640 | |
31 | Ельник | Деструктивная, ферментативная, гумифицированная; лиственно-хвойная | Серогумусовая (на техногенных отложениях) | Urbic Technosol | 1926 ± 651 | Автоморфная | 55.71 | 5.93 | 2390 | 2835 | 640 | |
26 | Тополевник | Деструктивная; лиственная | Серогумусовая (на техногенных отложениях)* | Urbic Technosol | 963 ± 1472 | Автоморфная | 55.71 | 5.93 | 2390 | 2835 | 640 | |
28 | Березово-кленовая полоса | Деструктивная; лиственная | Технодерново-подзолистая (на покровном суглинке)* | Technic Retisol (Transportic) | 684 ± 623 | Автоморфная | 55.71 | 5.93 | 2390 | 2835 | 640 | |
30 | Грабинник | Деструктивная; лиственная | Серогумусовая (на техногенных отложениях)* | Urbic Technosol | 576 ± 21 | Автоморфная | 55.71 | 5.93 | 2390 | 2835 | 640 |
Примечание. ЛП – лесополоса; микроклимат на уровне поверхности почвы. Климатические данные ВНИИГМИ–МЦД – расчетные для каждой широты среднегодовые значения за 2016—2019 гг. [4]. Прочерк – нет данных. Названия почв даны по [10], для БС МГУ по [15].
* Почвы в разрезах не описаны, названия даны по описаниям ближайших разрезов.
Отметим, что в сосняке и ельнике Ботанического сада преобладают деструктивные подстилки. Деструктивные подстилки преобладают также в лиственных и смешанных лесах зонального ряда. Типы подстилок здесь и далее приводятся по [1].
Методы исследования. Тестовые материалы. В качестве тестовых материалов использовали древесину, целлюлозу, чай Lipton™ Green Gunpowder в качестве стандартных материалов, а также образцы нативного материала, которые должны были характеризовать разложение местных подстилок.
Образцы древесины готовили из фабричной березовой штанги диаметром 2.5 см, которую напиливали на фрагменты массой около 2.8 г (±0.8 г). Отметим, что примеры использования древесины в качестве тестового материала, которые удалось найти в литературе, в основном касаются локальных закономерностей или инкубационных экспериментов. Не удалось найти примеров использования древесины для исследований в широком географическом диапазоне, подобно тому, как используют целлюлозу и стандартизированную фитомассу.
Образцы целлюлозы представляли собой фабричные хлопковые ватные диски, по ~ 1 г (2 шт.) на каждый образец. Образцы чая, по аналогии с методикой [30], представляли собой фабричные чайные пакетики Lipton™ Green Gunpowder, средняя масса чая 1.79 г.
Образцы нативного материала представляли собой относительно легкоразлагаемые компоненты местных подстилок (активные фракции по [9]), отобранных непосредственно на тех же площадках, где планировалось их закладывать. Таким образом, образцы состояли преимущественно из листьев, хвои и остатков трав в разных соотношениях в зависимости от преобладающей растительности на опытных площадках. Материал измельчали ножницами до размерности около 1–1.5 см, чтобы добиться относительной однородности образцов, взвешивали при полевой влажности, и упаковывали по ~ 4 г (от 1.5 до 6 г в зависимости от плотности материала). Отдельно отбирали пробу для определения полевой влажности и внесения поправки в значения исходной массы образцов.
Образцы взвешивали в воздушно-сухом состоянии и упаковывали в мешочки из терилена размером около 8 × 8 см с размером ячейки 1 мм2. Чайные пакетики также дополнительно упаковывали в териленовые мешочки. Образцы закладывали на поверхность почвы – на одном уровне с лесной подстилкой (на участках с маломощными подстилками) или в толще подстилки (на участках с развитой подстилкой). Образцы размещали на участках с однородным напочвенным покровом, типичным для данного БГЦ, на расстоянии 20–30 см друг от друга; в лесах с выраженной парцеллярной контрастностью подстилок – в подкроновых пространствах. На каждой площадке закладывали от 12 до 36 образцов древесины, от 6 до 12 образцов целлюлозы, от 4 до 12 образцов чая и от 3 до 12 образцов нативного материала – по маршруту зональной практики образцы закладывали в меньшей повторности, чем Чашниково и БС МГУ. Образцы в основном были заложены в течение лета 2016 г. за исключением целлюлозы, заложенной на всех площадках годом позже. Для чая приведены также данные по предварительным наблюдениям в БС МГУ за 2015–2016 гг., которые не учитываются при описании зональных закономерностей. Всего было заложено 1212 образцов на 28 опытных площадках.
Параметры разложения. Все образцы каждого материала на каждой площадке были заложены одновременно, затем их отбирали по одному или по несколько штук (в зависимости от общего числа заложенных) с интервалом от нескольких месяцев (в Чашниково и БС МГУ) до одного года (по маршруту зональной практики). Максимальная продолжительность экспозиции материалов на опытных площадках составляла до шести лет для древесины и до трех лет для целлюлозы, чая и нативных материалов в зависимости от наблюдаемой скорости их разложения. Образцы механически очищали от инородных объектов и мелкозема (не промывали), высушивали до воздушно-сухого состояния и взвешивали, чтобы определить остаток массы. Чай извлекали из фабричного пакетика, а массу пакетика вычитали из начальной массы пакетика с чаем. Затем рассчитывали константу разложения k по [29]:
(год−1), (1)
где ОМ T – остаток массы образца после T лет экспозиции в долях или процентах; ОМ 0 – начальная масса образца (ОM 0 ≜ 100%).
Для расчета константы разложения по данным нескольких наблюдений данные по остатку массы в зависимости от времени аппроксимировали экспоненциальной функцией вида в MS Excel с помощью функции ЛГРФПРИБЛ. Эта функция возвращает коэффициенты для уравнения
, (2)
где b = OM0 = 1; m – коэффициент, рассчитанный с помощью программы. Поэтому константу разложения k рассчитывали по формуле:
. (3)
Также рассчитывали период полуразложения (T1/2). Если динамика потери массы описывается экспоненциальной функцией , то
, =>=> ,
. (4)
Климатические данные. Данные о температуре воздуха и количестве осадков были получены с помощью сервиса ВНИИГМИ–МЦД [3]. Поскольку в непосредственной близости от объектов исследования метеостанций нет, были использованы величины, рассчитанные следующим образом. Из списка всех доступных метеостанций были выбраны 17, которые находятся в пределах 150 км к западу или к востоку от линии Тверь–Астрахань, что примерно соответствует расположению исследуемых объектов. По данным каждой станции были рассчитаны среднегодовая температура, сумма активных температур (>10°C), сумма положительных температур и сумма осадков за 2016–2019 гг. Для каждого из этих параметров в зональном ряду была получена функция, связывающая его значение с географической широтой. Для данной выборки метеостанций наиболее удачными (коэффициент детерминации R2 составляет 0.91–0.99) оказались функции третьей степени, имеющие вид
y = aφ3 + bφ2 + сφ + d, (5)
где y – один из климатических параметров; φ – географическая широта, град; a, b, c, d – коэффициенты, полученные с помощью программы. По таким уравнениям для каждой точки опробования, в зависимости от ее широты, были рассчитаны значения климатических параметров.
Статистические параметры. Функции ЛИНЕЙН и ЛГРФПРИБЛ в MS Excel иногда возвращают неверные статистические параметры, если задано условие, чтобы функция проходила через точку 0; 0 или 0; 1 [12]. Поэтому статистические параметры рассчитывали по формулам, приведенным далее.
Коэффициент детерминации R2 рассчитывали по формуле:
, (6)
где SSres – остаточная сумма квадратов, SStot – общая сумма квадратов:
; , (7)
где y^i – спрогнозированные значения зависимого параметра; ӯ – среднее значение по всем наблюдениям.
Уровень значимости R2 вычисляли как вероятность (p) того, что F > Fкритич с помощью функции FРАСП, которая учитывает F–статистику для R2 и число степеней свободы df (df = n − 1 при b = 1 в уравнении y = bmx).
, (8)
где k – количество параметров модели.
Стандартная ошибка (SE) коэффициентов регрессии. Для коэффициента m в уравнении y = b·mx вычисляется по формуле [14]:
. (9)
Доверительный интервал Δ для коэффициента m вычисляли по формуле:
, (10)
где t0.05; df – значение критерия Стьюдента для уровня значимости α = 0.05 и числа степеней свободы df; SEm – стандартная ошибка m.
Доверительные границы константы разложения (k) рассчитывали из (m + Δm) и (m − Δm):
. (11)
Результаты
В табл. 2 представлены обобщающие параметры разложения материалов на каждой опытной площадке.
Таблица 2. Обобщающие параметры разложения тестовых материалов на опытных площадках
Группа объектов | № пл. | БГЦ и тип почвы | Древесина | Целлюлоза | Чай | НМ | |||||||||||||
k, год−1 | k − Δ | k + Δ | R2 | p (R2) | T ½, годы | n | k, год−1 | T ½, годы | n | % | n | % | n | k, год−1 | T ½, годы | n | |||
Чашниково | 18 | Смешанный лес на болотно-подзолистой почве | 0.237 | 0.17 | 0.31 | 0.536 | <0.05 | 0 | 35 | 3.49 | 0.20 | 12 | — | — | — | — | 0.51 | 1.37 | 13 |
19 | Ельник-кисличник на дерново-подзолистой почве | 0.495 | 0.23 | 0.85 | 0.031 | 0.37 | 1.4 | 28 | 4.74 | 0.15 | 12 | — | — | — | — | 0.13 | 5.36 | 12 | |
20 | Смешанный лес на болотно-подзолистой почве | 0.412 | 0.29 | 0.55 | 0.521 | — | 1.68 | 32 | 1.45 | 0.48 | 12 | — | — | — | — | 0.37 | 1.87 | 12 | |
21 | Смешанный лес на дерново-подзолистой почве | 1.053 | 0.63 | 1.80 | −0.14 | 0.10 | 0.66 | 36 | 4.65 | 0.15 | 12 | — | — | — | — | 0.24 | 2.93 | 12 | |
22 | Залежь на дерново-подзолистой среднесмытой почве | 0.228 | 0.06 | 0.43 | 0.565 | <0.05 | 3.04 | 12 | 1.59 | 0.44 | 4 | — | — | — | — | 1.07 | 0.65 | 4 | |
23 | Залежь на дерново-подзолистой слабосмытой почве | 0.302 | 0.05 | 0.64 | 0.347 | <0.05 | 2.29 | 12 | 2.02 | 0.34 | 4 | — | — | — | — | 0.35 | 2.01 | 4 | |
Тульская обл. | 1 | Широколиственный лес на серой лесной грунтово-глееватой п. | 0.186 | 0.02 | 0.38 | 0.218 | <0.05 | 3.73 | 13 | 0.56 | 1.24 | 4 | 33.6 | 4 | 32.7 | 2 | 0.50 | 1.40 | 4 |
2 | Лесополоса березовая на серой лесной почве | 0.078 | 0.03 | 0.13 | 0.541 | <0.05 | 8.84 | 11 | 0.75 | 0.93 | 4 | 50.3 | 4 | 45.5 | 2 | 0.83 | 0.83 | 5 | |
3 | Широколиственный лес на серой лесной почве | 0.386 | 0.14 | 0.71 | 0.791 | <0.05 | 1.8 | 6 | 1.65 | 0.42 | 4 | 35.1 | 2 | — | — | 0.54 | 1.28 | 2 | |
Липецкая обл. | 4 | Широколиственный лес на черноземе типичном | 0.100 | 0.05 | 0.15 | 0.736 | <0.05 | 6.9 | 12 | 0.56 | 1.23 | 6 | 43.3 | 4 | 40.2 | 2 | 0.40 | 1.71 | 6 |
5 | Лесополоса на черноземе типичном | 0.038 | −0.02 | 0.10 | 0.157 | 0.20 | 18.1 | 12 | −0.05 | −14.7 | 4 | 63.7 | 4 | 58.9 | 2 | 0.22 | 3.22 | 6 | |
6 | Лесополоса / Широколиственный лес на черноземе типичном | 0.119 | −0.03 | 0.30 | 0.408 | <0.05 | 5.85 | 10 | 0.67 | 1.03 | 5 | 47.3 | 4 | 45.7 | 2 | 0.22 | 3.12 | 2 | |
7 | Залежь на черноземе типичном | 0.030 | −0.01 | 0.07 | 0.492 | <0.05 | 22.9 | 13 | 0.20 | 3.48 | 6 | 49.9 | 4 | 45.2 | 2 | — | — | 0 | |
Воронежская обл. | 8 | Осиновый лес на солоди | 0.265 | 0.16 | 0.38 | 0.41 | <0.05 | 2.62 | 14 | 1.00 | 0.69 | 6 | 47.8 | 4 | 40.4 | 2 | 0.24 | 2.94 | 6 |
9 | Луг на лугово-черноземной почве | 0.212 | −0.08 | 0.63 | 0.339 | 0.12 | 3.27 | 8 | 0.07 | 9.37 | 3 | 33.0 | 4 | — | — | 0.37 | 1.87 | 5 | |
12 | Бор / Смешанный лес (понижение) на песчаной почве | 0.072 | 0.04 | 0.10 | 0.792 | <0.05 | 9.69 | 11 | 2.45 | 0.28 | 3 | 36.1 | 4 | 33.3 | 2 | 0.43 | 1.60 | 4 | |
13 | Бор / Редколесье (возвышение) на песчаной почве | 0.072 | 0.03 | 0.12 | 0.693 | <0.05 | 9.61 | 13 | 1.00 | 0.69 | 3 | 37.6 | 4 | 32.2 | 2 | 0.28 | 2.48 | 6 | |
14 | Бор / Смешанный лес (возвышение) на песчаной почве | 0.250 | 0.07 | 0.47 | 0.491 | <0.05 | 2.77 | 12 | 2.71 | 0.26 | 4 | 26.3 | 4 | 20.1 | 2 | 0.24 | 2.93 | 4 | |
10 | Лесополоса (Каменная степь) на черноземе обыкновенном | 0.088 | — | — | — | — | 7.86 | 3 | — | — | 0 | — | — | — | — | 0.16 | 4.33 | 1 | |
11 | Некосимая степь (Каменная степь) на черноземе обыкновенном | 0.056 | 0.00 | 0.12 | 0.243 | 0.21 | 12.3 | 8 | 0.09 | 7.34 | 2 | 32.8 | 4 | — | — | 0.55 | 1.26 | 3 | |
Волг. обл. | 15 | Лесополоса на каштановой почве | 0.102 | 0.05 | 0.16 | 0.653 | <0.05 | 6.79 | 18 | 0.346 | 2.00 | 6 | 59.2 | 4 | 54.2 | 2 | 0.27 | 2.59 | 6 |
16 | Степь типчаково-полынная на каштановой почве | 0.023 | −0.01 | 0.06 | 0.628 | <0.05 | 29.9 | 6 | −0.11 | −6.44 | 2 | 47.8 | 4 | — | — | 1.10 | 0.63 | 1 | |
БС МГУ | 27 | Лиственничник на технодерново-подзолистой почве | 0.147 | 0.10 | 0.20 | 0.633 | <0.05 | 4.71 | 26 | 1.66 | 0.42 | 11 | 47.0 | 3 | 44.3 | 1 | 0.22 | 3.13 | 11 |
29 | Сосняк на серогумусовой почве | 0.164 | 0.14 | 0.19 | 0.836 | <0.05 | 4.22 | 34 | 1.00 | 0.69 | 12 | 38.7 | 2 | 36.4 | 1 | 0.40 | 1.72 | 12 | |
31 | Ельник на серогумусовой почве | 0.189 | 0.16 | 0.22 | 0.813 | <0.05 | 3.66 | 30 | 1.76 | 0.39 | 12 | 41.3 | 2 | 39.5 | 1 | 0.47 | 1.48 | 12 | |
26 | Тополевник на серогумусовой почве | 0.134 | 0.10 | 0.18 | 0.459 | <0.05 | 5.18 | 25 | 2.12 | 0.33 | 12 | 49.6 | 2 | 45.2 | 1 | 0.34 | 2.07 | 12 | |
28 | Березово-кленовая полоса на технодерново-подзолистой почве | 0.172 | 0.14 | 0.21 | 0.57 | <0.05 | 4.02 | 35 | 1.09 | 0.63 | 12 | 53.6 | 2 | 47.7 | 1 | 0.27 | 2.54 | 12 | |
30 | Грабинник на серогумусовой почве | 0.143 | 0.12 | 0.17 | 0.723 | <0.05 | 4.86 | 32 | 1.76 | 0.39 | 12 | 49.2 | 2 | 44.9 | 1 | 0.60 | 1.16 | 12 | |
Примечание. k – константа разложения, годы; Δ – доверительный интервал (Δ = t SE); R2 – коэффициент детерминации; p(R2) – уровень значимости R2; T ½, – период полуразложения, годы; n – объем выборки; и – средний остаток массы после одного и двух лет экспозиции соответственно.
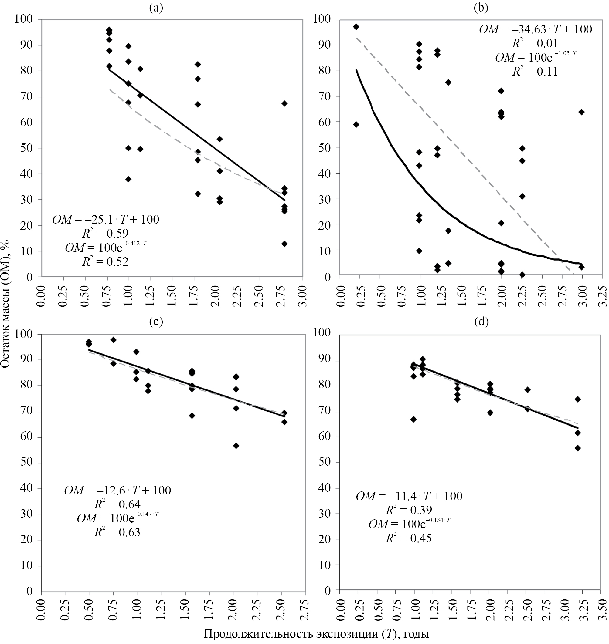
Разложение древесины. Зональные различия. Для построения зависимостей константы разложения (k) от климатических параметров в зональном ряду выбраны леса относительно дренированных ландшафтов: площадки 19, 21, 3, 4, 6, 8, 12, 13, 14, 10. Данные по Ботаническому саду МГУ показывают, что нет значимой разницы между лиственными и хвойными лесами по скорости разложения древесины, что позволяет рассматривать все леса в единой системе.
Скорость разложения древесины в зональном ряду положительно коррелирует с географической широтой и среднегодовой суммой осадков, отрицательно – с температурой воздуха (табл. 3).
Таблица 3. Регрессионные модели связи констант разложения тестовых материалов в лесах относительно дренированных ландшафтов с климатическими параметрами за 2016—2022 гг. в зональном ряду
Параметр | Константа разложения древесины (kД) (n = 10) | R2 | Константа разложения целлюлозы (kЦ) (n = 9) | R2 |
Широта (φ), град | kД = 5.52 · 10 − 9 · 1.39φ | 0.58 p < 0.01 | kЦ = 0.48φ − 23.4 | 0.37 p = 0.07 |
Среднегодовая температура воздуха (T), °C | kД = 34.5 · 0.479T | 0.46 p < 0.01 | kЦ = −0.98T + 8.96 | 0.26 p = 0.16 |
Среднегодовая сумма активных температур (САТ), °C | kД = 47.6 · 0.998САТ | 0.51 p < 0.01 | kЦ = −0.0027САТ + 9.7 | 0.30 p = 0.11 |
Среднегодовая сумма положительных температур (СПТ), °C | kД = 167 · 0.998СПТ | 0.49 p < 0.01 | kЦ = −0.0028СПТ + 11 | 0.29 p = 0.13 |
Среднегодовая сумма осадков (P), мм | kД = 0.000453 · 1.01P | 0.54 p < 0.01 | kЦ = 0.0156P − 6.63 | 0.34 p = 0.09 |
Константа разложения древесины (kД) – леса (n = 9) | — | — | kЦ = 3.96kД + 0.92 | 0.59 p < 0.01 |
Константа разложения древесины (kД) – все площадки (n = 28) | — | — | kЦ = 4.66kД + 0.46 (n = 28) | 0.55 p < 0.01 |
Если подставить наблюдаемые значения констант разложения древесины в БС МГУ в полученные уравнения, получится, что отличие скорости разложения древесины БС МГУ от расчетного для данной широты соответствует смещению на 2.9°–4.0° (323–440 км) к югу (Тамбовская обл.), повышению среднегодовой температуры на 1.1–1.6°C (до 7.1–7.5°C), и снижению среднегодовой суммы осадков на 83–115 мм (до 525–557 мм).
Отметим, что среднегодовая температура в Москве по данным метеостанции ВДНХ составляет 6.9°C (для сравнения – расчетная температура для изучаемых объектов в Липецкой области – 6.4°C). Однако среднегодовая сумма осадков по данным метеостанции ВДНХ составляет 738 мм, что заметно выше расчетных значений для Чашниково (650 мм) и соответствует, наоборот, более северным широтам.
Локальные различия. В УОПЭЦ “Чашниково” наибольшее значение константы разложения отмечено в смешанном лесу в автоморфной позиции (пл. 21). Значимо ниже эти значения в схожих лесах гидроморфных и полугидроморфных ландшафтов (пл. 18 и 20), а также на залежи (пл. 22).
В Тульской области разложение древесины идет значимо медленнее в лесополосе (пл. 2) по сравнению с лиственным лесом (пл. 3).
В Липецкой области не наблюдается значимых различий, однако на площадках 5 (лесополоса) и 7 (залежь) с повышенной вентиляцией и инсоляцией поверхности почвы разложение несколько замедленно по сравнению с лесами (пл. 4 и 6).
В Воронежской области значимых различий внутри подгрупп сопоставимых объектов не наблюдается, однако обращает на себя внимание, что в Хреновском бору разложение замедлено как в условиях повышенного увлажнения (пл. 12 – лес в понижении), так и в условиях пониженного увлажнения (пл. 13 – редколесье) по сравнению с лесом автоморфного ландшафта (пл. 14).
В БС МГУ значимых различий между БГЦ не наблюдается, более того, даже незначимые различия не свидетельствуют о том, что разложение древесины идет быстрее в хвойных или в лиственных БГЦ.
Общие особенности разложения древесины. Древесина разлагается сравнительно медленно: период полуразложения T 1/2 составляет от 8 месяцев (пл. 21) до 30 лет (пл. 16), медианное значение по всем площадкам – 4.5 года.
Для этого материала свойственно высокое варьирование значений остатка массы, причем в БГЦ Чашниково оно выше, чем в БГЦ Ботанического сада МГУ (рис. 1), даже при схожих средних значениях остатка массы.
Рис. 1. Типичные кривые разложения древесины в биогеоценозах Чашниково и Ботанического сада. (a) – Пл. 20 – смешанный лес на болотно-подзолистой почве, Чашниково (n = 32). T0 – 02.10.2016. (b) – Пл. 21 – лиственный лес на дерново–подзолистой почве, Чашниково (n = 36). T0 – 16.07.2016. (c) – Пл. 26 – тополевник, Ботанический сад (n = 25). T0 – 29.09.2016. (d) – Пл. 27 – лиственничник, Ботанический сад (n = 26). T0 – 29.09.2016.
Разложение целлюлозы. Функции, описывающие динамику разложения целлюлозы на каждой площадке, в основном не значимы, поскольку было заложено меньше образцов целлюлозы, чем древесины.
Зональные различия. В зональном ряду скорость разложения целлюлозы (как и древесины) положительно коррелирует с географической широтой и среднегодовой суммой осадков, отрицательно – с температурой воздуха. Также наблюдается значимая корреляция констант разложения целлюлозы и древесины.
Локальные различия. В Чашниково, Тульской и Липецкой областях отмечается снижение скорости разложения на площадках с признаками повышенного увлажнения или, напротив, повышенной вентиляции и инсоляции по сравнению с лесами дренированных ландшафтов. Также крайне замедленное разложение целлюлозы характерно для открытых пространств, к которым относятся травяные БГЦ (пл. 7, 9, 16), и, отчасти, лесополоса (пл. 5), в которой поверхность почвы хорошо освещена. В некоторых случаях (пл. 5 и 16) разложение целлюлозы за время экспозиции и вовсе не наблюдается. В частности, на площадке 9 (луг), несмотря на то, что она находится в полугидроморфном ландшафте, отмечается крайне замедленное разложение целлюлозы, в то время как древесина разлагается с обычной для этой местности скоростью.
Никакого влияния состава древостоя на скорость разложения целлюлозы также не отмечается.
Общие особенности. Целлюлоза разлагается довольно быстро: T1/2 составляет 1.8–9.4 мес., не считая случаев, когда разложение не наблюдается; медианное значение T1/2 = 4.8 мес. Из-за этого различия, обусловленные сезонными колебаниями гидротермических условий, могут превышать зональные и локальные различия скорости разложения.
Разложение чая. Общие особенности. Чай довольно быстро разлагается в первые месяцы после закладки (рис. 2), причем скорость разложения на начальных этапах существенно зависит от времени года, когда он был заложен (табл. 4). Затем остаток массы чая стабилизируется на значениях около 40% и в течение двух лет наблюдений почти не меняется, поэтому для обобщенной характеристики скорости разложения чая для каждой площадки мы приводим средний остаток массы за период медленного разложения ( ).
Рис. 2. Типичные кривые разложения чая в биогеоценозах Ботанического сада. (a) – пл. 30, грабинник БС МГУ, (b) – пл. 27, лиственничник БС МГУ. Дата закладки образцов – 29.09.2016 г. ОМ – остаток массы, %; ОМмин – средний остаток массы за период медленного разложения, %; T1/2 – период полуразложения, годы; погрешность – стандартное отклонение (σ). Экспоненциальные кривые построены исходя из наблюдаемых значений T1/2.
Таблица 4. Параметры разложения чая Lipton™ Green Gunpowder в биогеоценозах Ботанического сада МГУ по трем наблюдениям
№ площадки | Биогеоценозы | Наблюдение 1 30.06.2015—03.11.2015 (0.44 г.) | Наблюдение 2 4.12.2015—29.06.2016 (1.54 г.) | Наблюдение 3 29.09.2016—10.04.2019 (2.53 г.) | ||||
T ½, годы | ± Δ, % (0.34–0.44 г.) | T ½, годы | ± Δ, % (0.79–1.54 г.) | T ½, годы | ± Δ, % (1.57–3.20 г.) | |||
27 | Хвойные | Лиственничник | 0.24 (n = 16) | 36.7 ± 6.4 (n = 6) | 0.80 (n = 12) | 52.4 ± 13.4 (n = 4) | 0.65 (n = 12) | 44.1 ± 0.5 (n = 3) |
29 | Сосняк | 0.07 (n = 11) | 27.9 ± 3.1 (n = 5) | 0.60 (n = 10) | 38.5 ± 2.2 (n = 3) | 0.45 (n = 15) | 37.2 ± 1.7 (n = 7) | |
31 | Ельник | 0.12 (n = 16) | 29.5 ± 1.3 (n = 6) | 0.65 (n = 11) | 47.3 ± 24.8 (n = 3) | 0.45 (n = 14) | 37.2 ± 2.7 (n = 5) | |
26 | Лиственные | Тополевник | 0.08 (n = 13) | 37.9 ± 5.2 (n = 3) | 0.50 (n = 10) | 38.0 ± 9.5 (n = 4) | 0.60 (n = 22) | 43.9 ± 0.9 (n = 10) |
28 | Береза + Клен | — | — | — | — | 0.60 (n = 14) | 44.6 ± 4.9 (n = 5) | |
30 | Грабинник | — | — | — | — | 0.55 (n = 14) | 43.0 ± 2.5 (n = 5) | |
Примечание. В заголовках столбцов указаны сроки и продолжительность экспозиции. T ½ – период полуразложения, годы; – средний остаток массы за период, соответствующий фазе медленного разложения, %. Прочерк – нет данных.
В табл. 4 приведены значения T1/2, снятые с графика, поскольку разложение чая не описывается экспоненциальным уравнением – это становится видно, если рассчитать исходя из них экспоненциальную кривую (рис. 2).
Для чая, в отличие от остальных материалов, характерно очень низкое варьирование остатка массы образцов, отобранных одновременно.
Также для чая не выявлена зависимость от широты и климатических параметров в зональном ряду; среди локальных различий можно только отметить более полное разложение чая в лесах (пл. 1, 3, 4, 6) по сравнению с лесополосами (пл. 2, 5, 7). На примере Ботанического сада видно, что в хвойных БГЦ обычно ниже, чем в лиственных.
Разложение нативных материалов. Константы разложения нативных материалов на опытных площадках не коррелируют ни с широтой, ни с климатическими параметрами, ни с константами разложения других материалов. Характерно, что наименьшая скорость разложения (k = 0.13; T 1/2 = 5.4) отмечена в ельнике-кисличнике (пл. 19), где формируются наиболее мощные среди исследованных точек гумифицированные подстилки. Несмотря на небольшой диапазон запасов подстилок, отмечается слабая отрицательная корреляция констант разложения нативных материалов с запасами подстилок: R2 = 0.18, p = 0.02, n = 25.
В Ботаническом саду МГУ нативные материалы разлагаются в целом быстрее, чем в фоновых лесах Чашниково. Значимое различие отмечено для сосняка и ельника Ботанического сада (пл. 29 и 31) по сравнению с ельником в Чашниково (пл. 19). Интересно, что нативные материалы в хвойных БГЦ Ботанического сада в основном разлагаются примерно с той же скоростью, что и в лиственных – значимое различие наблюдается только между лиственничником (пл. 27) и грабинником (пл. 30).
Обсуждение
Разложение древесины. Полученные данные позволяют заключить, что скорость разложения древесины контролируется преимущественно климатическими факторами, без явной зависимости от флористического состава биогеоценоза.
Отмечается явная функциональная связь скорости разложения древесины с климатическими параметрами в зональном ряду. Хотя имеющийся уровень статистической значимости соответствующих уравнений не позволяет считать их достаточно точными, можно сказать, что проведение более детальных наблюдений в широком диапазоне гидротермических условий позволит разработать на этой основе новую методику использования стандартизированных образцов для мониторинга процессов разложения.
В целом древесина оказалась весьма удобным материалом в техническом отношении. Образцы разлагаются достаточно долго, и сезонные колебания гидротермических условий не имеют принципиального значения. Это особенно важно при проведении исследований в экспедиционных условиях, когда нет возможности часто посещать опытные площадки и закладывать образцы одновременно. Образцы древесины долго сохраняют целостность, что позволяет аккуратно и без особого труда очистить их от минеральных частиц.
Разложение целлюлозы. По всей видимости ведущие факторы разложения целлюлозы, как и древесины – гидротермические. Однако некоторые локальные явления позволяют предположить, что проявляются они несколько по-другому. Так, есть случаи, когда замедленное разложение древесины не сопровождается замедленным разложением целлюлозы (пл. 2, 12, 13). На открытых пространствах целлюлоза иногда разлагается даже медленнее, чем древесина (пл. 5, 9, 16), что может быть связано с ее низкой водоудерживающей способностью – целлюлоза быстрее высыхает при периодическом увлажнении, в то время как древесина удерживает некоторое количество влаги.
Вследствие высокой скорости разложения целлюлозы, наблюдаемая скорость ее разложения может сильнее зависеть от того, в какой сезон она была заложена, чем от среднегодовых значений климатических параметров. Поэтому образцы такого вида нельзя рекомендовать для тех случаев, когда нет возможности закладывать все образцы одновременно.
Однако принципиальное сходство основных закономерностей разложения целлюлозы и древесины и наличие соответствующей корреляции позволяет заключить, что и образцы целлюлозы, в несколько ином исполнении, могут использоваться для создания системы мониторинга процессов разложения.
Разложение образцов чая, по всей видимости, контролируется климатическими факторами на начальных этапах, но полнота его разложения может зависеть от факторов, связанных с составом древостоя. Быстрое разложение чая существенно ограничивает его применимость для проведения исследований в условиях экспедиций.
Схожие результаты по динамике разложения чая в еловых и сосновых лесах Эстонии были показаны в работе [31] – быстрое разложение чая наблюдалось только в первый год, затем остаток массы выходил на плато на значениях 25–30% и в течение второго и третьего года менялся незначительно.
Эти особенности разложения чая приводят к методическому выводу о том, что использование нового тестового материала для мониторинга процессов разложения требует предварительного изучения динамики его разложения, поскольку использование простых функций и обобщающих параметров может привести к получению неверных или несопоставимых результатов.
Разложение нативных материалов. Разложение активных фракций подстилок в данном исследовании не контролируется климатом, что закономерно – скорость разложения опада зависит от экологической стратегии производящих его видов [23], что приводит к формированию однотипных, деструктивных подстилок в лесах различных природных зон. В то же время можно предположить частичное влияние климатических факторов на разложение грубых фракций опада (веток, шишек и т. п.), как это описано для образцов древесины.
Интересно, что хвойные и лиственные БГЦ Ботанического сада МГУ в основном характеризуются схожими скоростями разложения нативных материалов. Это согласуется с данными по опаду и подстилкам: подстилочно-опадный коэффициент в ельнике по оценкам разных лет составляет 0.9–2.7 года [7], максимальное значение отмечено для лиственничника (4.6 года), в то время как в естественных ельниках он может составлять 8–16 лет. Это можно объяснить интенсивным переносом опада, в результате которого в хвойные БГЦ попадает значительное количество лиственного опада, богатого азотом [7].
В техническом отношении отметим, что стандартизированные образцы подстилок, особенно на поздних этапах разложения, значительно засоряются мелкоземом, который почти невозможно отсортировать, а мелкие частицы детрита, наоборот, теряются через ячейки. Использование более мелкой сетки препятствует доступу более крупных организмов–деструкторов. Так, на примере целлюлозы отмечено, что она разлагается быстрее в мешочках с крупной ячейкой [32].
Период полуразложения (T1/2) нативных материалов в нашем исследовании составляет от 7.6 мес. до 5.4 года (медианное значение 1.9 года) и при достаточно быстром разложении сезонные колебания климатических факторов могут вносить существенный вклад на начальных этапах в зависимости от даты закладки.
Отметим, что на участках с маломощными подстилками, не образующими сплошного покрова, очень сложно сделать стандартизированные образцы подстилки похожими на саму подстилку по размерности частиц, плотности упаковки и распределению по поверхности почвы, а измельченный материал, плотно упакованный в небольшой мешочек, возможно, будет разлагаться по-другому.
Общие методологические особенности наблюдений за разложением стандартизированных образцов. Показано, что реализация внешних факторов разложения материала определяется внутренними факторами. Так, для одних образцов ведущими факторами разложения оказываются температура и влажность, для других – факторы, связанные с флористическим составом биогеоценоза.
При этом динамика разложения стандартных материалов не отражает динамику разложения местных подстилок, поскольку определяется другими факторами.
Это имеет принципиальное значение при интерпретации данных. Например, авторы могут объяснять наблюдаемое снижение скорости разложения влиянием антропогенного загрязнения, в то время как истинной причиной является отличие гидротермических условий на уровне поверхности почвы. Даже если это отличие и имеет причиной антропогенное загрязнение, непосредственное влияние поллютантов на разложение в данном примере остается недоказанным. Поэтому на участках, различающихся более чем по одному фактору разложения, не всегда возможно установить, чем именно обусловлены наблюдаемые различия.
Таким образом, для обоснованной интерпретации результатов подобных наблюдений не всегда достаточно только опытного и контрольного участков. Следует провести дополнительные исследования в более широком диапазоне значений изучаемых и наблюдаемых факторов, чтобы установить закономерности разложения тестового материала, то есть – выявить степень непосредственного влияния изучаемого фактора и убедиться, что воздействие других наблюдаемых факторов отсутствует, или может быть учтено при интерпретации данных.
Если главным объектом исследования является биогеоценоз, а не разлагаемый материал, следует также учитывать пространственное варьирование факторов разложения. Так, на примере древесины показано, что даже неочевидные различия на уровне нанорельефа приводят к значительному варьированию получаемых значений.
Заключение
Выявлены некоторые особенности влияния внешних факторов разложения на скорость разложения стандартизированных образцов разных материалов, а также технические особенности работы с ними.
Это может быть использовано для лучшего понимания факторов, обусловливающих процессы разложения наземного детрита и содействовать развитию методов мониторинга факторов и процессов разложения с использованием стандартизированных образцов.
Показано, что разложение стандартизированных образцов древесины и целлюлозы контролируется климатическими факторами как в зональном ряду, так и в пределах каждой природной зоны. При этом разложение активных фракций подстилок в зональном ряду однотипно, в результате чего, несмотря на разнохарактерные сочетания факторов на исследованных объектах, не наблюдается большого разнообразия мощностей и запасов подстилок, что не исключает влияния климатических факторов на разложение подстилок в каждой природной зоне.
Финансирование Работы
Работа выполнена в рамках государственного задания Министерства науки и высшего образования Российской Федерации (тема № 121040800321-4 “Индикаторы трансформации биогеохимических циклов биогенных элементов в природных и антропогенных экосистемах”), а также в рамках Программы развития Междисциплинарной научно-образовательной школы Московского государственного университета имени М.В. Ломоносова “Будущее планеты и глобальные изменения окружающей среды”.
Соблюдение этических стандартов
В данной работе отсутствуют исследования человека или животных.
Конфликт интересов
Авторы заявляют об отсутствии у них конфликта интересов.
Авторлар туралы
Ph. Zemskov
Lomonosov Moscow State University
Хат алмасуға жауапты Автор.
Email: philzemskov@mail.ru
Ресей, Moscow, 119991
L. Bogatyrev
Lomonosov Moscow State University
Email: philzemskov@mail.ru
Ресей, Moscow, 119991
Әдебиет тізімі
- Богатырев Л.Г. О классификации лесных подстилок // Почвоведение. 1990. № 3. C. 118–127.
- Богатырев Л.Г., Жилин Н.И., Самсонова В.П., Якушев Н.Л., Кириллова Н.П., Бенедиктова А.И., Земсков Ф.И., Карпухин М.М., Ладонин Д.В., Вартанов А.Н., Демин В.В. Многолетний мониторинг снежного покрова в условиях природных и урбанизированных ландшафтов Москвы и Подмосковья // Вестник Моск. ун-та. Сер. 5. География. 2018. № 2. С. 85–96.
- Булыгина О.Н., Веселов В.М., Разуваев В.Н., Александрова Т.М. Описание массива срочных данных об основных метеорологических параметрах на станциях России. Свидетельство о государственной регистрации базы данных № 2014620549. http://meteo.ru/data/163-basic-parameters#описание-массива-данных
- Веселов В.М., Прибыльская И.Р., Мирзеабасов О.А. Специализированные массивы для климатических исследований (интернет-ресурс). http://aisori-m.meteo.ru/
- Глазовская М.А. Геохимия природных и техногенных ландшафтов СССР: Учеб. пособие для студ. геогр. спец. вузов. М.: Высшая школа, 1988. 328 с.
- Гришина Л.А., Орлов Д.С. Система показателей гумусного состояния почв // Проблемы почвоведения. М.: Наука, 1978. С. 42–47.
- Земсков Ф.И. Детритогенез в условиях лесных биогеоценозов урбанизированных территорий. Дис. ... канд. биол. наук. М., 2021.
- Иванова Е.А., Лукина Н.В., Данилова М.А., Артемкина Н.А., Смирнов В.Э., Ершов В.В., Исаева Л. Г. Влияние аэротехногенного загрязнения на скорость разложения растительных остатков в сосновых лесах на северном пределе распространения // Лесоведение. 2019. № 6. С. 533–546.
- Карпачевский Л.О., Воронин А.Д., Дмитриев Е.А. и др. Почвенно-биогеоценотические исследования в лесных биогеоценозах. М.: Изд-во Моск. Ун-та. 1980. 160 с.
- Классификация и диагностика почв СССР. М.: «Колос». 1977. 221 с.
- Лукина Н.В., Полянская Л.М., Орлова М.А. Питательный режим почв северотаежных лесов. М.: Наука. 2008. 342 с. ISBN 978-5-02-035585-9
- При использовании функции линейная регрессия (ЛИНЕЙН) в Excel возвращается неверный результат // Служба поддержки Microsoft (интернет–ресурс). https://support.microsoft.com/ru-ru/topic/при-использовании-функции-линейная-регрессия-линейн-в-excel-возвращается-неверный-результат-626211cb-8ee7-aaac-aa1a-1e51f5a54e17
- Раппопорт А.В. Антропогенные почвы городских ботанических садов (на примере Москвы и Санкт-Петербурга). Дис. ... канд. биол. наук. М., 2004. 152 с.
- Регрессионный анализ (интернет–ресурс) // Вятский государственный университет. Электронные учебные курсы. Модуль 3. Теория вероятностей и математическая статистика. https://e.vyatsu.ru/pluginfile.php/462626/mod_resource/content/2/Теоретический%20материал_регрессионный%20парн.анализ.pdf (дата обращения 21.02.2024).
- Розанова М.С., Прокофьева Т.В., Лысак Л.В., Рахлеева А.А. Органическое вещество почв Ботанического сада МГУ им. М. В. Ломоносова на Ленинских горах // Почвоведение. 2016. № 9. С. 1079–1092. https://doi.org/10.7868/S0032180X16090124
- Руководство по комплексному мониторингу. Пер. с англ. М., 2013. С. 128–129. http://downloads.igce.ru/publications/ICP_IM_Manuals/Manual_rus_04122013.pdf
- Berg B., Berg M. P., Box E. et al. Litter mass loss rates in pine forests of Europe and Eastern United States: Some relationships with climate and litter quality // Biogeochemistry. 1993. V. 20. P. 127–159.
- Berg B., Laskowski R. Litter decomposition: a guide to carbon and nutrient turnover // Advances in Ecological Research. 2005. V. 38. P. 292–301.
- Bieńkowski P. Cellulose decomposition as bioenergetic indicator of soil degradation // Pol. Ecol. Stud. 1990. V. 16. P. 235–244.
- Bocock K.L., Gilbert O.J.W. The disappearance of leaf litter under different woodland conditions // Plant and Soil. 1957. V. 9. P. 179–185. https://doi.org/10.1007/BF01398924
- Bogatyrev L., Berg B., Staaf H. Leaching of plant nutrients and total phenolic substances from some foliage litters – a laboratory study // Swedish Coniferous Forest Project Barrskogslandskapets Ekologi. Technical Report 33. Department of Ecology and Environmental Research, Swedish University of Agricultural Sciences, Upsala. V. 33. 1983. P. 1–57.
- Cornelissen, J.H.C. An experimental comparison of leaf decomposition rates in a wide range of temperate plant species and types // J. Ecol. 1996. V. 84. P. 573–582. https://doi.org/10.2307/2261479
- Cornwell W.K., Cornelissen J.H.C., Amatangelo K. et al. Plant species traits are the predominant control on litter decomposition rates within biomes worldwide // Ecology Lett. 2008. V. 11. P. 1065–1071.
- De Silva S., Ball A.S., Indrapala D.V., Reichman S.M. Review of the interactions between vehicular emitted potentially toxic elements, roadside soils, and associated biota // Chemosphere. 2021. V. 263. P. 128135. ISSN 0045-6535. https://doi.org/10.1016/j.chemosphere.2020.128135
- Fuzhong Wu, Wanqin Yang, Jian Zhang, Renju Deng. Litter decomposition in two subalpine forests during the freeze–thaw season // Acta Oecologica. V. 36. 2010. Pp. 135–140.
- Gustafson F.G. Decomposition of the leaves of some forest trees under field conditions // Plant Physiology. 1943. V. 18). P. 704.
- Harrison A.F., Latter P.M., Walton D.W.H. (eds.). Cotton Strip Assay: An Index of Decomposition in Soils. ITE Symposium, no. 24. Grange-over-Sands, Cumbria: Institute of Terrestrial Ecology, 1988.
- Howard P.J.A. A critical evaluation of the cotton strip assay // Cotton strip assay: an index of decomposition in soils. 1988, Grange-over-Sands, NERC/ITE, 3442. ITE Symposium, 24.
- Jenny H., Gessel S.P., Bingham F.T.. Comparative study of decomposition rates of organic matter in temperate and tropical region // Soil Sci. 1949. V. 68. P. 419–432.
- Keuskamp J.A., Dingemans B.J.J., Lehtinen T. et al. Tea Bag Index: a novel approach to collect uniform decomposition data across ecosystems // Methods in Ecology and Evolution. 2013. V. 4. P. 1070–1075.
- Kriiska K., Lõhmus K., Frey J., Asi E., Kabral N., Napa Ü., Ostonen I. The Dynamics of Mass Loss and Nutrient Release of Decomposing Fine Roots, Needle Litter and Standard Substrates in Hemiboreal Coniferous Forests // Frontiers in Forests and Global Change. 2021. V. 4. https://www.frontiersin.org/articles/10.3389/ffgc.2021.686468
- Radea C., Arianoutsou M. Cellulose Decomposition Rates and Soil Arthropod Community in a Pinus Halepensis Mill. Forest of Greece after a Wildfire // Eur. J. Soil Biol. 2000. V. 36. P. 57–64. https://doi.org/10.1016/S1164-5563(00)01045-1
- Taylor B.R., Parkinso D. Does repeated wetting and drying accelerate decay of leaf litter? // Soil Biology and Biochemistry. 1988. V. 20. P. 647–656.
- Unger H. Der Zellulosetest, eine Methode zur Ermittlung der zellulolytischen Aktivität des Bodes in Freilandversuchen // Z. Pflanzenernähr. Düng. Bodenk. 1960. V. 91. P. 44–52.
- World Reference Base for soil resources // World soil resources reports 106. FAO UNESCO. Rome, 2014. 182 p.
Қосымша файлдар



