Biochemical activity and gas regime in the eutrophic and mesotrophic swamp of Gorny Altai
- Authors: Inisheva L.I.1, Porokhina E.V.1, Inishev N.G.2, Golovchenko A.V.3, Larina G.V.4
-
Affiliations:
- Tomsk State Pedagogical University
- Tomsk State University
- Lomonosov Moscow State University
- Gorno-Altai State University
- Issue: No 1 (2025)
- Pages: 56–73
- Section: SOIL CHEMISTRY
- URL: https://ogarev-online.ru/0032-180X/article/view/287045
- DOI: https://doi.org/10.31857/S0032180X25010052
- EDN: https://elibrary.ru/BYBUJW
- ID: 287045
Cite item
Abstract
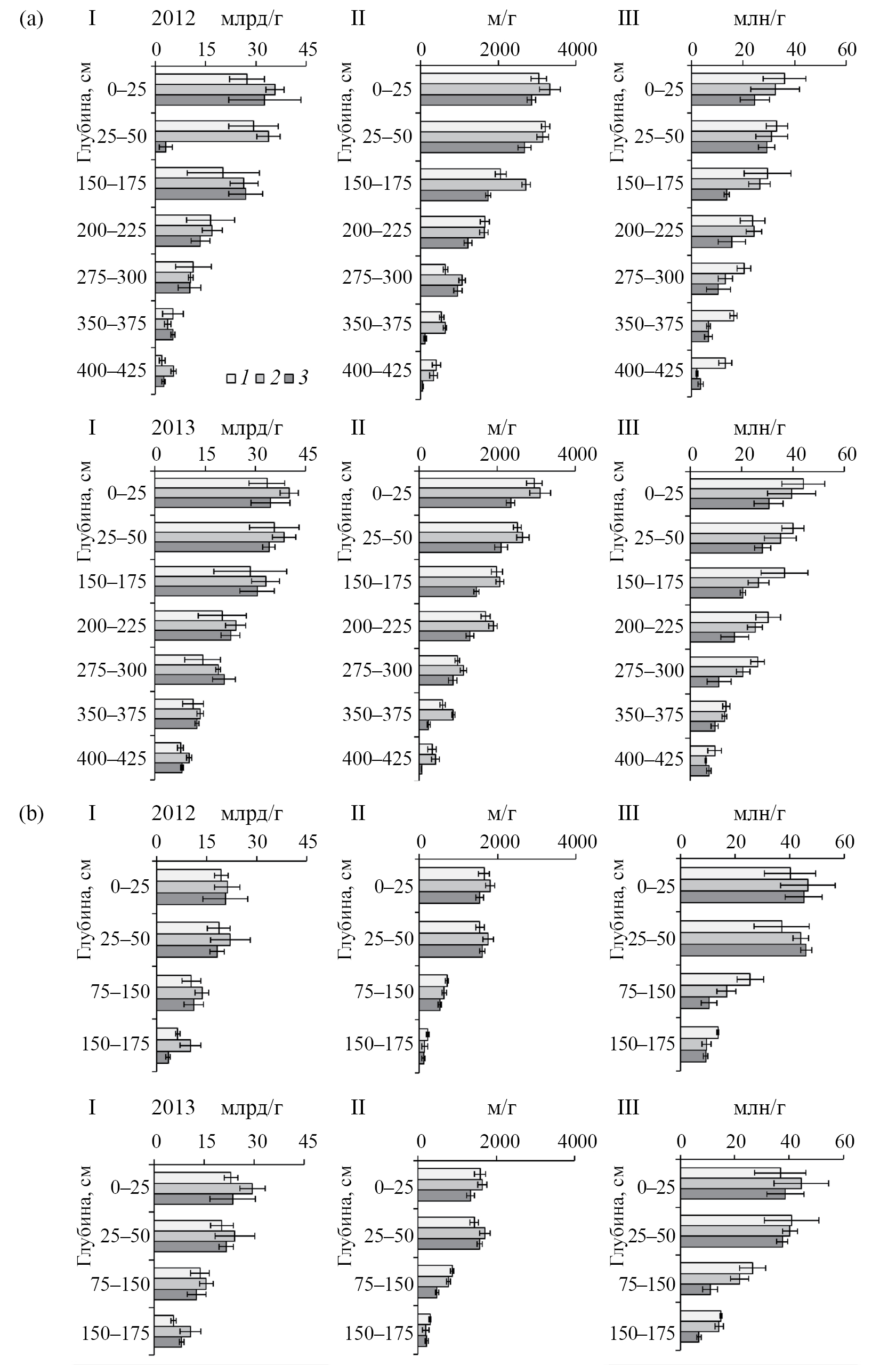
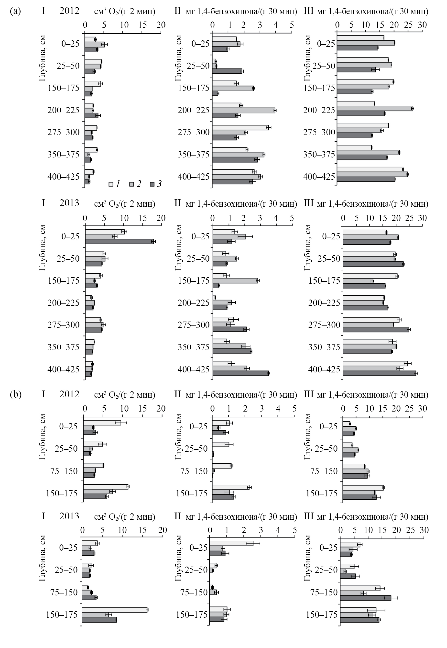
The results of studies of biological activity, concentrations of carbon-containing greenhouse gases and their emissions in eutrophic and mesotrophic swamps are presented. It was established that 4 years of research are characterized as long-term averages, levels marsh water in the swamps were close to the surface, and the humidity in the 0–30 cm layer did not fall below 0.8 of the total moisture capacity. It was revealed that the degree of heating of peat profiles of swamps is determined by their type and the level marsh water. The activity of oxidoreductases involved in the formation of humic substances has been revealed. The activity of catalase and polyphenol oxidase in the peats of a eutrophic swamp is identical to their activity in the peats of a mesotrophic swamp, and the activity of peroxidase in eutrophic peats is 1.5–6 times higher compared to the peats of a mesotrophic swamp. The dynamics of carbon-containing gases in the peat profile of swamps was studied, which showed similar values for both types of swamps from 0.07 to 1.4 mmol/dm3 for CO2 and from zero to 0.65 mmol/dm3 for CH4. The extreme values of the concentration of CO2 and CH4 gases in the eutrophic peat deposit were determined: for CO2 – 0.07–1.40 and for CH4 – 0.00–0.65 mmol/dm3, and in the mesotrophic: for CO2 – 0.05–1.10 mmol/dm3 and for CH4 – 0.00–0.62 mmol/dm3. In the eutrophic swamp, limits of emission values are observed: for CO2 – 17.2–77.1 mg CO2/(m2 h), for CH4 1.3–11.3 mg CH4/(m2 h). In a mesotrophic swamp, the emission limits are: for CO2 – 34.9–109.9 mg CO2/(m2 h), for CH4 – 0.5–15.1 mg CH4/(m2 h). Quantitative indicators of biological parameters and their distribution along the peat profile of eutrophic and mesotrophic types were obtained. It has been proven that the activity of biological processes manifests itself throughout the peat profile of the swamp down to the mineral underlying rocks, but the degree of their activity is determined by the type of swamp and the botanical composition of the peat profile.
Full Text
About the authors
L. I. Inisheva
Tomsk State Pedagogical University
Author for correspondence.
Email: inisheva@mail.ru
ORCID iD: 0000-0002-7549-8339
Russian Federation, Tomsk, 634061
E. V. Porokhina
Tomsk State Pedagogical University
Email: inisheva@mail.ru
Russian Federation, Tomsk, 634061
N. G. Inishev
Tomsk State University
Email: inisheva@mail.ru
Russian Federation, Tomsk, 634050
A. V. Golovchenko
Lomonosov Moscow State University
Email: inisheva@mail.ru
Russian Federation, Moscow, 119991
G. V. Larina
Gorno-Altai State University
Email: inisheva@mail.ru
Russian Federation, Gorno-Altaysk, 649000
References
- Ананьева Н.Д. Микробиологические аспекты самоочищения и устойчивости почв. М.: Наука, 2003. 223 с.
- Волкова И.И. О растительности Тюгурюкского болота (Горный Алтай) // Отечественная геоботаника: основные вехи и перспективы: материалы Всероссийской научной конференции с международным участием (Санкт-Петербург, 20–24 сентября 2011 г.). СПб.: Бостон-спектр, 2011. Т. 1. С. 44–47.
- Волкова И.И., Волков И.В. Ландшафтно-экологическая характеристика мерзлотного седловинного болота у г. Саганы (хребет Иолго, Центральный Алтай) // Вестник Томского гос. Ун-та. Сер. Биология. 2014. № 1 (25). С. 211–222.
- Головченко А.В., Волкова Е.М. Запасы и структура микробной биомассы в торфяниках карстовых ландшафтов Тульской области // Почвоведение. 2019. № 3. С. 370–376.
- Головченко А.В., Дмитриенко Ю.Д., Морозов А.А., Поздняков Л.А., Глухова Т.В., Инишева Л.И. Микробная биомасса в низинных торфяниках: запасы, структура, активность // Почвоведение. 2021. № 7. С. 838–848. https://doi.org/10.31857/S0032180X21050099
- Гродницкая И.Д., Карпенко Л.В., Кнорре А.А., Сырцов С.Н. Микробная активность торфяных почв заболоченных лиственничников и болота в криолитозоне Центральной Эвенкии // Почвоведение. 2013. № 1. С. 67–79.
- Гродницкая И.Д., Трусова М.Ю. Микробные сообщества и трансформация соединений углерода в олотных почвах таежной зоны (Томская область) // Почвоведение. 2009. № 9. С. 1099–1107.
- Добровольская Т.Г., Головченко А.В., Семенова Т.А., Кухаренко О.С., Инишева Л.И. Влияние аэрации на структуру микробных комплексов низинных торфяников // Вестник ТГПУ. 2011. Вып. 5 (107). С. 117–126.
- Добровольская Т.Г., Скворцова И.Н., Лысак Л.В. Методы выделения и идентификации почвенных бактерий. М.: Изд-во МГУ, 1989. 40 с.
- Дьячкова А.В., Давыдов Д.К., Фофонов А.В., Краснов О.А., Головацкая Е.А., Симоненков Д.В., Nakayama T., Максютов Ш.Ш. Влияние аномальных факторов среды на эмиссию метана на Бакчарском болоте в районе пос. Плотниково летом 2018 г. // Оптика атмосферы и океана. 2019. Т. 32. № 6. С. 482–489. https://doi.org/10.17223/25421379/25/4
- Ефремова Т.Т., Ефремов С.П., Аврова А.Ф. Сезонная активность почвенной пероксидазы в осушенных болотных сосняках Западной Сибири: системно-экологический анализ // Почвоведение. 2023. № 10. С. 1244–1258. https://doi.org/10.31857/S0032180X23600774
- Инишева Л.И. Закономерности функционирования болотных экосистем в условиях воздействия природных и антропогенных факторов. Томск: Изд-во ТГПУ, 2020. 482 с.
- Ковалев Р.В. Почвы Горно-Алтайской автономной области. Новосибирск: Наука, 1973. 352 с.
- Кожевин П.А., Полянская Л.М., Звягинцев Д.Г. Динамика развития различных микроорганизмов в почве // Микробиология. 1979. Т. 48. № 4. С. 490–494.
- Козунь Ю.С., Казеев К.Ш., Колесников С.И. Вияние климата на ферментативную активность лесных почв Северного Кавказа // Лесоведение. № 3. 2022. С. 262–269. https://doi.org/10.31857/S002411482203010X
- Круглов Ю.В., Пароменская Л.Н. Модификация газометрического метода определения каталазной активности // Почвоведение. 1966. № 1. С. 93–95.
- Кураков С.А., Крутиков В.А., Ушаков В.Г. Автономный измеритель профиля температуры АИПТ // Приборы и техника эксперимента. 2008. № 5. С. 166–167.
- Лисс О.Л., Абрамова Л.И., Аветов Н.А., Березина Н.В., Инишева Л.И., Курнишкова Т.В., Слука З.А., Толпышева Т.Ю., Шведчикова Н.К. Болотные системы их природоохранное значение. Тула: Гриф и Ко, 2001. 584 с.
- Лиштван И.И., Король Н.Т. Основные свойства торфа и методы их определения. Минск: Наука и техника, 1975. 320 с.
- Махныкина А.В., Прокушкин А.С., Меняйло О.В., Верховец С.В., Тычков И.И., Урбан А.В., Рубцов А.В., Кошурникова Н.Н., Ваганов Е.А. Влияние климатических факторов на эмиссию CO2 из почв в среднетаежных лесах Центральной Сибири: эмиссия как функция температуры и влажности почвы // Экология. 2020. № 1. С. 51–61. https://doi.org/10.31857/S0367059720010060
- Методические указания по расчетам стока с неосушенных и осушенных болот. Мин-во природных ресурсов и экологии РФ; Федер. Служба по гидрометеорологии и мониторингу окружающей среды. Санкт-Петербург: Петербургский модный базар, 2011. 150 с.
- Модина Т.Д., Сухова М.Г. Климат и агроклиматические ресурсы Алтая. Новосибирск: Универсальное кн. изд-во, 2007. 180 с.
- Наставление гидрометеорологическим станциям и постам. Л.: Гидрометеоиздат, 1990. Вып. 8. 360 с.
- Пилецкая О.А., Ячная Д.А. Влияние сроков и способов хранения на изменение активности ферментов черноземовидной почвы Зейско-Буреинской равнины // Бюл. Почв. Ин-та им. В.В. Докучаева. 2022. № 112. С. 48–72. https://doi.org/10.19047/0136-1694-2022-112-48-72
- Полянская Л.М., Головченко А.В., Звягинцев Д.Г. Определение жизнеспособности спор и мицелия почвенных грибов // Микробиология. 1998. Т. 67. № 6. С. 832–836.
- Пяк А.И. Болото в долине ручья Ортолык-Тюргунь (Юго-Восточный Алтай) // Krylovia. 2001. № 2. С. 50–57.
- Раковский В.Е., Пигулевская Л.В. Химия и генезис торфа. М.: Недра, 1978. 231 с.
- Рельеф Алтае-Саянской горной области / Отв. ред. Николаев В.А., Чернов Г.А. Новосибирск: Наука: Сиб. отделение, 1988. 206 с.
- Романов В.В. Гидрофизика болот. Л.: Гидрометеоиздат, 1961. 359 с.
- Русанов Г.Г. Позднеплейстоценовые и голоценовые озера Северного Алтая (происхождение, динамика, физико-географическое значение). Автореф. дис. … канд. геогр. наук. Томск: ТГПУ, 2004. 24 с.
- Сусьян Е.А., Ананьева Н.Д., Гавриленко Е.Г., Чернова О.В., Бобровский М.В. Углерод микробной биомассы в профиле лесных почв южной тайги // Почвоведение. 2009. № 10. С. 1233–1240.
- Сусьян Е.А., Рыбянец Д.С., Ананьева Н.Д. Изменение микробной активности по профилю серой лесной почвы и чернозема // Почвоведение. 2006. № 8. С. 956–964.
- Технический анализ торфа. М.: Недра, 1992. 358 с.
- Физическая география // География Сибири в начале ХХI века. Новосибирск: Академическое изд-во “Гео”, 2016. Т. 5. Западная Сибирь. С. 17–32.
- Хазиев Ф.Х. Методы почвенной энзимологии. М., 1990. 189 с.
- Хазиев Ф.Х. Методы почвенной энзимологии. М.: Наука, 2005. 252 с.
- Хазиев Ф.Х. Функциональная роль ферментов в почвенных процессах // Вестник АН Республики Башкортостан. 2015. Т. 20. № 2. С. 14–24.
- Чечкин С.А. Водно-тепловой режим неосушенных болот и его расчет. Ленинград: Гидрометеоиздат,1970. 205 с.
- Щербакова Т.А. Ферментативная активность почв и трансформация органического вещества. Минск: Наука и техника, 1983. 222 с.
- Anderson J.P.E., Domsch K.H. A phisiological method for the quantitative measurement of microbial biomass in soils // Soil Biol. Biochem. 1978. V. 10. № 3. Р. 314–322.
- Anderson T.H., Domsch K.H. Application of eco-physiological quotients qCO2 and qD on microbial biomass from soils of different cropping histories // Soil Biol. Biochem. 1990. V. 22. № 2. Р. 251–255.
- Anderson T.H., Domsch K.H. The metabolic quotient for CO2 (qCO2) as a specific of environmental conditions, such as pH, on the microbial biomass of forest soils // Soil Biol. Biochem. 1993. V. 25. P. 393–395.
- Benedetti A., Dilly O. Approaches to defining, monitoring, evaluating and managing soil quality // Microbiological Methods for Assessing Soil Quality/ Eds.I. Bloem, D.W. Hopkins, A.Benedetty. Wallingford, UK; Cambridge, MA: CABI Pub. 2006. P. 3–14.
- Doran J.W. Soil health and sustainability: managing the biotic component of soil quality // Appl. Soil Ecology. 2000. V. 15. P. 3–15.
- Inisheva L.I., Golovchenko A.V., Smirnov O.N. Monitoring greenhouse gases in the peat deposits of swamps in Gornyi Altai // Geografiya i Prirodnye Resursy. 2023. V. 44. № 1. P. 31–40. https://doi.org/10.1134/S187537282301002X
- Inisheva L.I., Yudina N.V., Golovchenko A.V., Savelyeva A.V. Biochemical factors controlling the composition of bog water and migration of substances in the system of geochemically linked mire landscapes // Eurasian Soil Science. 2021. V. 54. № 4. P. 499–506. https://doi.org/10.1134/S1064229321040086
- Kaрягiна Л.А., Мiхайлоуская Н.А. Вызначэнне актыунасцi полiфенолаксiдазы i пераксiдазы у глебе // Весцi АН БССР. Сер. с/г навук. 1986. № 2. С. 40–41.
- Kim S.Y., Zhou X., Freeman C., Kang H. Changing thermal sensitivity of bacterial communities and soil enzymes in a bog peat in spring, summer and autumn // Appl. Soil Ecology. 2022. V. 173. P. 104382.
- Naumov A.V., Smolentseva E.N. Chapter 7. Estimation of carbon dioxide exchange of cascade geochemically conjugated steppe ecosystems in salinity condition // Steppe ecosystems: biological diversity, management and restoration. N.Y.: Nova Science, 2013. P. 153–163.
- Sikora L.J., Yakovchenko V., Kaufman D.D. Comprasion of rehydration method for biomass determination to fumigation-incubation and substrate-induced respiration method // Soil Biol. Biochem. 1994. V. 26. № 10. Р. 1443–1445.
- Steinmann Ph., Shotyk W. Sampling anoxic pore water in peatlands using “peepers” for in situ-filtration // Fresenius J. Anal. Chem. 1996. V. 354. P. 709–713. https://doi.org/10.1007/s0021663540709
- Volkova I.I., Callaghan T.V., Volkov I.V., Chernova N.A., Volkova A.I. South-Siberian mountain mires: perspectives on a potentially vulnerable remote source of biodiversity // Ambio. 2021. vol 50. P. 1975–1990.
- Wiesmeier M., Urbanski L., Hobley E., Lang B., von Lutzow M., Marin-Spiotta E., van Wesemael B., Rabot E., Lies M., Garcia-Franco N., Wollschläger U., Vogel H.J., Kogel-Knabner I. Soil organic carbon storage as a key function of soils – a review of drivers and indicators at various scales // Geoderma. 2019. V. 333. P. 149–162. https://doi.org/10.1016/j.geoderma.2018.07.026
Supplementary files






