Geochemical features of peat deposits of oligotrophic dog and carbon pools
- Authors: Linkevich E.V.1, Guljaeva Е.N.1, Kuznetsov О.L.1, Ephimova L.А.1, Prokopyuk V.М.1
-
Affiliations:
- Karelian Research Centre of the Russian Academy of Sciences
- Issue: No 1 (2025)
- Pages: 29–41
- Section: SOIL CHEMISTRY
- URL: https://ogarev-online.ru/0032-180X/article/view/287034
- DOI: https://doi.org/10.31857/S0032180X25010035
- EDN: https://elibrary.ru/BYEGMF
- ID: 287034
Cite item
Full Text
Abstract
The relationship of carbon distribution in the peat deposit of an oligotrophic bog in combination with the physico-chemical parameters and mineral composition of peat was considered. Analysis of the peat deposit showed high water holding capacity at 0–0.5 m and 4.0–5.0 m depths. Carbon content in organic matter of mesotrophic and fen peat types with a decomposition degree of more than 30% was 59.5% (3.0–3.5 m) and 57.8% (5.0–5.5 m) respectively. The amount of humic acids was 18.1% in the mesotrophic part of the deposit (1.5–2.0 m) and decreased 2–4 times with increasing peat depth. High sorption exchange capacity of humic acids was revealed at the depth from 1.5 to 3.5 m. Scanning electron microscope micrographs were obtained, and the distribution of micro- and macroelements in peat was analyzed. The formation of organomineral layer at depths of 1.0–3.5 and 5.0–6.5 m was shown. The relationship between the amount of functional groups of humic acids and the distribution of Al, Si and Fe in peat by the depth of the peat deposit was obtained.
Full Text
Введение
Болотные экосистемы представляют собой уникальный резервуар углерода, играющий важную роль в формировании и поглощении парниковых газов в зависимости от биотических и абиотических факторов. Торфяные залежи в процессе накопления на протяжении многих тысячелетий выполняют функцию стока углерода и участвуют в геохимическом круговороте элементов. Основные компоненты болотной экосистемы, а именно растительные остатки, преобразованное органическое вещество торфяных залежей в комплексе с минеральными включениями, характерными для территориального расположения болота, определяют его функцию в депонировании углерода [6, 29].
Пористая структура торфяных почв и залежей формируется на основании особенностей ботанического состава, степени разложения, количества зольных элементов [3, 17]. Разнообразие торфяных почв отражается в их классификациях [1, 12]. При этом недостаточно внимания уделяется оценке распределения химических элементов по глубине торфяной залежи для определения наличия органоминеральных барьеров, которые снижают потери углерода с почвенно-грунтовыми водами, парниковыми газами [27, 33]. Отмечается, что причинами формирования геохимических барьеров в торфяных ненарушенных болотах являются природные, локальные и антропогенные источники при расположении техногенных предприятий вблизи болотных экосистем [2, 24, 34]. Такими компонентами в торфяной залежи могут быть минеральные включения, нарушающие движение воды по капиллярным каналам торфа и адсорбирующие органическое вещество торфяных почв за счет кислородсодержащих групп гуминовых кислот [3, 28, 32, 33]. Взаимодействие органического вещества и минеральных элементов в торфяных залежах представляет интерес для определения особенностей формирования органоминеральных комплексов на разных глубинах торфа и их роли в секвестрации углерода [11, 28, 32]. В ходе развития болот разных типов в течение голоцена происходили значительные изменения процессов торфонакопления, включая геохимические особенности торфов, оказывающие влияние на интенсивность аккумуляции углерода [9, 21].
Цель работы – определить взаимосвязь распределения углерода в торфяной залежи с ее физико-химическими свойствами на примере олиготрофного болота Близкое. Ранее болото было выбрано модельной площадкой для изучения потоков парниковых газов на ненарушенных болотах в Республике Карелия [16]. Это позволит в дальнейшем учитывать полученные результаты при расчетах пулов и эмиссии углерода на болотах региона.
Объекты и методы
Объектом исследования является олиготрофное болото Близкое, расположенное в Государственном природном заповеднике “Кивач” (62°26′83″ N, 33°99′45″ E) в среднетаежной подзоне Карелии. Согласно климатической классификации Кеппена-Гейгера, район исследования соответствует зоне субарктического континентального климата Dfc, где D – показатель климата по типам растительности в регионе, относящий регион к снежной зоне, f – показатель интенсивности осадков, определяющий высоко увлажненную зону, с – показатель, характеризующий прохладное лето в регионе [31].
Болото относится к сосново-кустарничково-пушицево-сфагновому типу и окружено елово-сосновыми лесами. Площадь болота составляет 63 га и залегает в вытянутой депрессии, его длина 1600 м, ширина варьирует от 200 до 400 м. Болото имеет озерный генезис, о чем свидетельствует слой сапропеля под торфом. Начало формирования болота приходится на бореальный период (около 9 тыс. л.н.) [8, 25], мощность озерно-болотных отложений в центре болота достигает 6.5 м, из них торфа – 5.0–5.5 м, на окраине – 1.5 м торфа.
Бурение скважин проводили на поперечном профиле болота протяженностью 270 м. Для реконструкции его динамики и свойств залежи пробы торфа отбирали по всей глубине через каждые 0.5 м. Расстояние между скважинами составляло 50 м. Свойства торфов подробно изучены в 4 скважинах (1 и 2 на окраинах, 3 и 4 в центре болота) по ряду ботанических, гидрофизических и геохимических показателей.
Определение влагоемкости торфа (W, %), зольности (ЭКПС-10, АО “Смоленское СКТБ СПУ”), pH водной и солевой вытяжки торфа (И-160МИ, ООО “Измерительная техника”) проводили по стандартным методикам (ГОСТ 24160-80, ГОСТ 11306-13, ГОСТ 26483-85). Содержание общего углерода и азота в образцах торфяной залежи, гуминовых кислотах определяли на элементном анализаторе CN 802 (VELP Scientific, Италия) на базе лаборатории мониторинга парниковых газов ОКНИ КарНЦ РАН с использованием оборудования ЦКП КарНЦ РАН. Количество параллельных измерений – 3. Содержание углерода в органическом веществе торфа пересчитывали на беззольную навеску. Анализ поверхности торфяных частиц по всей глубине торфяной залежи и определение макро- и микроэлементов проводили на сканирующем электронном микроскопе (СЭМ) Hitachi SU1510, оснащенном EDS спектрометром, позволяющим провести энергодисперсионный рентгеновский анализ образца.
Идентификацию и количественное определение органических кислот в болотной воде проводили на приборе Капель-105М (ООО “Люмэкс”, Россия) при длине волны 254 нм на капиллярной колонке: Lобщ – 60 см, Lэф – 50 см, dкап – 75 мкм.
Ботанический состав образцов торфа исследовали микроскопическим методом [13] в Лаборатории болотных экосистем Института биологии КарНЦ РАН. Построение графической диаграммы состава торфа проводили в программе “Korpi” [15].
Степень разложения торфа выполняли на тринокулярном микроскопе (XSZ-2101, Китай, цифровая камера ToupCam 10.0MP). Для вычисления процентного содержания в торфе бесструктурной части, включающей гуминовые вещества и мелкие частицы негумифицированных остатков растений, рассматривали тонкий разжиженный слой торфа под микроскопом и обрабатывали не менее 30 микрофотографий поверхности каждого образца, рассчитывали среднюю площадь, занятую бесструктурной частью. Расхождение между результатами не превышало 8–10%.
Выделение гуминовых кислот проводили, применяя стандартную методику IHSS (International Humic Substances Society), особенностью которой является выделение с последующим переосаждением экстрагируемых гуминовых кислот раствором 0.1 М NaOH без кипячения [4, 35]. Определение кислородсодержащих функциональных групп гуминовых кислот (–Cn–COOH, –Cn(Ar)–COOH, –Ar–OH) выполняли методом потенциометрического титрования в концентрированном растворе NaCl для поддержания постоянной ионной силы. Сумма функциональных групп во всех диапазонах рН образует суммарную обменную емкость гуминовых кислот. Навеску образца 0.0500 ± 0.0050 г растворяли в 10 см3 NaOH (0.1 М) при постоянном перемешивании на магнитной мешалке ПЭ-6100 (ООО “ЭКРОСХИМ”) в течение 15 мин. Раствор 2.5 М NaСl (х.ч., ООО “Химмед”) объемом 20 см3 добавляли после полного растворения гуминовых кислот. Поверхностные группы образца титровали раствором 0.1 М HCl и фиксировали рН на приборе И-160МИ. Эксперимент проводили в трехкратной повторности. Количество функциональных групп рассчитывали по формуле (1) [19, 20].
, (1)
где E – количество функциональных групп, ммоль/г, С – концентрация НСl, М, V0 и V1 – объемы раствора реагента, пошедшего на титрование холостой пробы и раствора гуминовых кислот при определении групп –Cn–COOH, –Cn(Ar)–COOH и –Ar–OH, мл, m – масса образца, г.
Результаты и обсуждение
Динамика болота. Данные по стратиграфии торфяной залежи и ботаническому составу торфов позволили реконструировать сукцессии растительности в центральной части болота (скв. 3 и 4) (рис. 1).
Рис. 1. Диаграмма ботанического состава торфа в центральной части болота (скв. 3): количество растительных остатков (%) в зависимости от глубины торфяной залежи и стадии развития болота. Стадии (палеосообщества): I – озерная (отложения сапропеля), II – эвтрофная Phragmites australis – Warnstorfia sp., III – эвтрофная Equisetum fluviatile – Sphagnum teres, IV – мезотрофная Pinus sylvestris – Equisetum fluviatile+Scheuchzeria palustris, V – мезотрофная Scheuchzeria palustris+Equisetum fluviatile+Eriophorum, VI – олиготрофная Eriophorum – Sphagnum angustifolium+S. divinum.
Болото сформировалось на месте остаточного послеледникового водоема, что подтверждается слоем сапропеля мощностью не менее 0.5 м, в котором практически нет растительных остатков и отмечается высокая зольность (стадия I). В скважине 4 слой сапропеля находится на глубине 6.0–6.5 м. После его резкого обмеления в начале бореального периода, что выявлено на ряде других болот заповедника в связи с неотектоникой и снижением уровня Онежского озера [8, 14, 25], на его месте сформировалось тростниково-гипновое эвтрофное сообщество (стадия II), сменившееся менее обводненным травяно-сфагновым со Sphagnum teres (стадия III). На глубине 4.0 м отмечается резкая смена стратиграфии, в торфе большая доля остатков сосны в сочетании с несколькими травами, болото перешло в мезотрофную фазу развития (стадия IV). Затем четко выделяется продолжительная мезотрофная травяная стадия (стадия V) с доминированием в сообществах шейхцерии и пушицы, что свидетельствует о высоком застойном увлажнении болота в рассматриваемый период. На глубине 1.5 м фиксируется переход болота в олиготрофную (верховую) фазу развития, которая представлена пушицево-сфагновым палеосообществом (стадия VI).
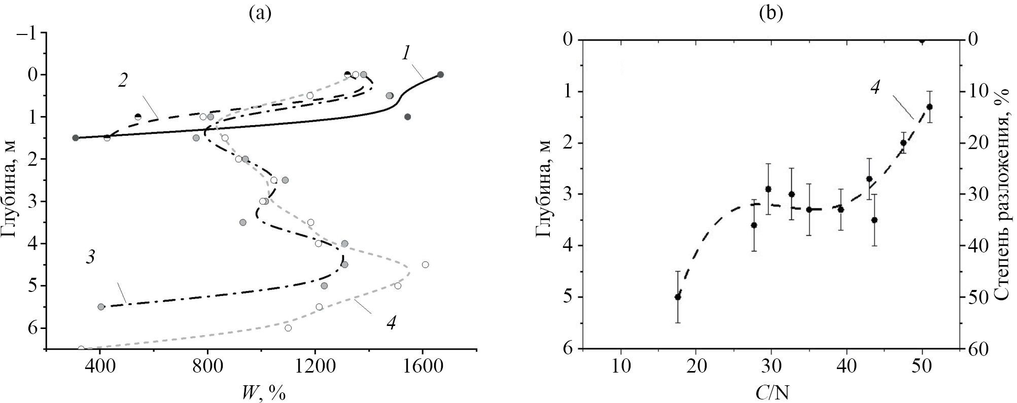
Влагоемкость торфов. Влагоемкость низинного торфа изменяется от 400 до 1200 (3 скв.) и от 300 до 1600% (4 скв.). Низкие величины влагоемкости соответствуют торфяным горизонтам, контактирующим с минеральными компонентами (рис. 2). Высокая влагоемкость торфа на глубине 4.5 м обусловлена сохранением пористой структуры при степени разложения более 50%, что связано с содержанием остатков сфагновых мхов в количестве до 45%. Низкие величины коэффициента C/N низинного торфа в диапазоне 17.5–18.0 коррелируют с результатами оценки степени разложения.
Рис. 2. Изменение влагоемкости (а) (1 – скважина 1, 2 – скважина 2, 3 – скважина 3, 4 – скважина 4) и связи соотношения C/N со степенью разложения (b) (скважина 4) по глубине торфяной залежи.
Влагоемкость переходного торфа снижается от 1200 до 800% в процессе накопления (III–V стадии формирования болота). При постоянной степени разложения 30% обнаруживается широкое варьирование коэффициента С/N от 27 до 50, указывающее на нелинейную скорость разложения растительных остатков, что определяется разнообразием в ботаническом составе торфов. Изменение количества минеральных элементов от 3.1 до 5.8% согласуется со снижением минерального питания в переходном торфе (табл. 1).
Таблица 1. Физико-химические характеристики торфяной залежи болота Близкое
Глубина, м | Вид, степень разложения, %, тип торфа* | рН | рНKCl | Зольность, % | С, %** | N, %** | Сторф, %*** |
Скважины 1, 2 | |||||||
0–0.2 | Сфагновый (5%), В | 3.4 | 2.8 | 1.2 | 42.1 | 1.0 | 41.5 |
0.2–0.5 | Сфагновый (10%), В | 3.4 | 2.8 | 1.3 | 45.2 | 1.0 | 44.6 |
0.5–1.0 | Сфагновый (15–20%), П | 4.2 | 3.3 | 3.1 | 43.8 | 1.7 | 42.4 |
1.0–1.5 | Пушицево-осоковый (25%), П | 3.6 | 2.6 | 10.8 | 32.4 | 2.3 | 28.9 |
Скважина 3 | |||||||
0–0.5 | Сфагновый (5%), В | 3.2 | 2.5 | 1.1 | 43.3 | 0.8 | 42.9 |
0.5–1.0 | Пушицево-сфагновый (10%), В | 3.3 | 2.6 | 1.1 | 48.0 | 0.9 | 47.5 |
1.0–1.5 | Пушицево-сфагновый (15%), В | 3.3 | 2.7 | 1.9 | 50.6 | 1.2 | 49.7 |
1.5–2.0 | Пушицево-сфагновый (30%), В | 3.5 | 2.8 | 2.4 | 52.6 | 2.1 | 51.3 |
2.0–2.5 | Пушицево-травяной (35%), П | 4.1 | 3.0 | 2.7 | 54.6 | 2.2 | 53.3 |
2.5–3.0 | Травяно-шейхцериевый (35%), П | 4.4 | 3.5 | 2.7 | 54.8 | 2.2 | 55.9 |
3.0–3.5 | Травяно-сфагновый (30%), П | 4.7 | 3.8 | 2.9 | 57.6 | 1.9 | 53.3 |
3.5–4.0 | Травяно-сфагновый (35%), Н | 4.7 | 3.9 | 3.1 | 55.0 | 1.8 | 51.8 |
4.0–4.5 | Тростниково-гипновый (35%), Н | 5.0 | 4.1 | 5.8 | 54.9 | 1.6 | 51.5 |
4.5–5.0 | Древесно-тростниковый (50%), Н | 5.1 | 4.1 | 10.1 | 57.3 | 1.8 | 51.5 |
5.0–5.5 | Сапропелевые отложения | 4.2 | 3.9 | 25.4 | 49.3 | 1.9 | 36.8 |
Скважина 4 | |||||||
0–0.2 | Сфагновый (5%), В | 3.2 | 2.4 | 1.1 | 42.6 | 0.9 | 42.1 |
0.2–0.5 | Пушицево-сфагновый (10%), В | 3.2 | 2.5 | 1.1 | 46.9 | 0.9 | 46.4 |
0.5–1.0 | Пушицево-сфагновый (15%), В | 3.6 | 2.6 | 1.3 | 47.2 | 1.0 | 46.6 |
1.0–1.5 | Пушицево-сфагновый (30%), В | 3.8 | 2.7 | 2.5 | 54.6 | 1.7 | 53.2 |
1.5–2.0 | Пушицево-травяной (35%), П | 3.9 | 2.8 | 3.5 | 56.3 | 1.7 | 54.3 |
2.0–2.5 | Травяно-шейхцериевый (35%), П | 4.2 | 3.0 | 3.9 | 54.5 | 2.0 | 52.4 |
2.5–3.0 | Травяно-сфагновый (30%), П | 4.3 | 3.5 | 3.9 | 53.9 | 1.9 | 51.8 |
3.0–3.5 | Древесно-травяной (35%), П | 4.9 | 3.8 | 3.1 | 59.5 | 4.9 | 57.7 |
3.5–4.0 | Древесный (40%), П | 5.2 | 4.0 | 3.0 | 52.5 | 1.7 | 50.9 |
4.0–4.5 | Травяно-сфагновый (35%), Н | 5.4 | 4.1 | 5.6 | 51.9 | 1.4 | 49.0 |
4.5–5.0 | Тростниково-гипновый (35%), Н | 5.4 | 4.1 | 8.1 | 53.2 | 1.4 | 48.9 |
5.0–5.5 | Древесно-тростниковый (50%), Н | 5.2 | 3.9 | 16.9 | 57.8 | 3.3 | 48.0 |
5.5–6.0 | Древесно-тростниковый (50%), Н | 4,5 | 3,9 | 17.9 | 29.4 | 2.0 | 24.1 |
6.0–6.5 | Сапропелевые отложения | 4,6 | 3,8 | 79.1 | 12.4 | 2.0 | 2.6 |
* В – верховой, П – переходный, Н – низинный.
** Содержание углерода и азота в органическом веществе торфа.
*** Содержание общего углерода в торфе.
Степень разложения верхового торфа снижается до 10% и имеет высокую влагоемкость, близкую для низинного торфа на глубине 4.5–5.5 м. Высокие коэффициенты C/N 50–54 и низкая зольность (1.1–2.5 мас. %) согласуются с ботаническим составом торфа на шестой стадии развития болота. Однако в скважинах 1 и 2 на окраинах болота на глубинах 1.0–1.5 м (придонные слои переходного торфа) количество зольных элементов выше по сравнению с центральными скважинами 3 и 4, поскольку на окраине происходит естественный привнос элементов с минеральных берегов и поглощение растениями в начале заболачивания из подстилающих грунтов. Неравномерность распределения зольных элементов центральных скважин по сравнению со скважинами 1 и 2 обусловлена процессами обеднения минерального питания в ходе естественной динамики болота в сторону олиготрофизации [8, 21].
Таким образом, анализ абсолютной влажности торфа и степени разложения позволяют выделить два участка залежи с высоким уровнем влаги: 0–0.5 и 4.0–5.0 м, которые соответствуют слоям торфов, отложившимся в палеосообществах с обильным увлажнением. Известно, что влагоемкость торфа коррелирует с пористостью торфяной залежи, а также характеризует капиллярную систему торфа, обеспечивающую обмен микро- и макроэлементами и выполняющую функцию проводящей системы при диффузии газов на поверхность болота [30, 36]. Причина низких значений влагоемкости на глубинах 2.0 и 5.5–6.0 м может быть связана с накоплением в торфяном слое минеральных включений [3, 17].
Содержание углерода. Механизм и особенности процесса аккумуляции органического углерода в результате разложения растений-торфообразователей характеризуются распределением содержания общего углерода на разной глубине болота в зависимости от ботанического состава и степени разложения торфа. В верхних горизонтах торфяной залежи количество углерода в органической части торфа соответствует содержанию углерода в болотных растениях, что составляет 42.0–43.3% [5]. Низкое количество азота (0.9–1.0%) является характерным отличием олиготрофных торфяных почв с атмосферным питанием, в которых наблюдается высокое соотношение C/N (54). Количество углерода по глубине торфяной залежи распределено неравномерно. Высокое количество углерода в органическом веществе обнаружено на глубинах 1.5–2.0 м (56.3%), 3.0–3.5 м (59.5%) и 5.0–5.5 м (57.8%), что связано с уплотнением и высокой степенью разложения торфа. Однако содержание углерода с учетом зольных элементов 16.9% в торфяном слое на глубине 5.0–5.5 м меньше и составляет 48%. Придонный высокозольный кремнистый сапропель содержит низкое количество углерода – 2.6%.
Процесс разложения растительных остатков зависит от химического состава растений-торфообразователей, активности микроорганизмов-деструкторов, условий среды, основными из которых являются температура и влажность, определяющие анаэробные и аэробные условия деструкции органического вещества торфа. Одним из распространенных критериев интенсивности биохимических процессов в торфяной залежи принимается оценка ферментативной активности микроорганизмов [7, 23]. При этом в анаэробной зоне торфяной залежи интенсивно протекают процессы брожения, характеризующиеся образованием низкомолекулярных органических кислот. Выполняя функцию донора электронов, низкомолекулярные органические кислоты являются источником образования СО2, диффундирующего на поверхность болота и вносящего вклад в суммарную величину эмиссии парниковых газов. Анализ поверхностных болотных вод показал наличие таких свободных органических кислот, как щавелевая (0.16–0.4 мг/ дм3), муравьиная (0.19–0.68 мг/ дм3), молочная (1.52–6.67 мг/ дм3), уксусная (0.8–2.57 мг/ дм3), лимонная (0.1–0.4 мг/ дм3). Вырабатываемые продукты брожения торфяной биоты накапливаются, способствуют понижению кислотности торфяных почв и замедляют деятельность микроорганизмов на торфяных болотах. Постоянное переувлажнение и снижение кислотности торфяной залежи коррелирует с возрастанием степени разложения. С глубиной наблюдается уменьшение обменной кислотности торфа и увеличение количества зольных элементов, что может быть связано с ростом обменной доли ионов металлов, нейтрализующих анионные группы торфяных частиц [26]. Количество зольных элементов в низинном торфе составляет 18 мас. %. В сапропелевых отложениях содержится до 79.1 мас. % минеральных веществ, на поверхности которых адсорбируется органический углерод низинного торфа за счет кислородсодержащих групп, что обусловливает снижение обменной емкости торфа в сапропеле на глубине более 6.0 м.
Таким образом, содержание углерода при смене стадий формирования болота от верховой к низинной возрастает в нормальнозольных торфах. При заилении и повышенной зольности торфа в придонных слоях залежи содержание углерода в органической части торфа снижается до 29.4%, в высокозольном кремнистом сапропеле – до 12.3%.
Гуминовые кислоты. В процессе торфонакопления образуются гуминовые кислоты – устойчивые высокомолекулярные соединения, которые являются одними из основных активных компонентов торфов, определяющих анионный заряд торфяных частиц и формирующих с минеральными компонентами органоминеральный комплекс (табл. 2) [10, 11, 22, 28]. Верхние горизонты торфяной залежи содержат 2–2.8% гуминовых кислот. Увеличение количества гуминовых кислот до 10.7–18.1% соответствует переходному типу торфа на глубине от 1.5 до 3.5 м. На глубине более 3.5 м количество гуминовых кислот снижается в 2–3 раза. Содержание углерода в торфяных гуминовых кислотах изменяется от 35.9 до 49.4% на окраинах болота. В центральных участках болота количество углерода варьирует в пределах 48.1–58.9%. Наибольшее количество углерода в гуминовых кислотах соответствует переходному торфу. Коэффициент C/N возрастает от 18 до 28 при изменении стадии торфонакопления от VI до II. В сапропелевом слое (стадия I) величина С/N составляет 9.3, что в 2–3 раза ниже, чем в последующих стадиях формирования болота.
Таблица 2. Физико-химические характеристики гуминовых кислот
Глубина, м | Содержание гуминовых кислот, мас. % | % | C/N | Сорбционная обменная емкость, мкмоль/г | ||
С | N | |||||
Скважина 1 | Скважина 2 | |||||
0–0.5 | 2.8 ± 0.6* | 49.4 | 2.3 | 21.5 | 11.5 ± 0.1 | 11.9 ± 0.2** |
0.5–1.0 | 3.6 ± 0.6 | 44.6 | 2.9 | 15.3 | 12.9 ± 0.2 | 12.5 ± 0.1 |
1.0–1.5 | 8.3 ± 0.8 | 35.9 | 2.1 | 20.7 | 13.1 ± 0.2 | 13.3 ± 0.2 |
Скважина 3 | Скважина 4 | |||||
0–0.5 | 2.1 ± 0.2 | 53.4 | 2.9 | 18.4 | 11.9 ± 0.2 | 11.2 ± 0.2 |
0.5–1.0 | 3.4 ± 0.3 | 54.7 | 3.1 | 17.6 | 12.0 ± 0.2 | 12.3 ± 0.1 |
1.0–1.5 | 15.9 ± 0.9 | 53.4 | 2.6 | 20.5 | 13.5 ± 0.2 | 13.1 ± 0.2 |
1.5–2.0 | 18.1 ± 0.9 | 54.6 | 2.5 | 21.8 | 13.9 ± 0.3 | 14.3 ± 0.2 |
2.0–2.5 | 16.4 ± 0.9 | 53.6 | 2.6 | 20.6 | 14.6 ± 0.4 | 14.8 ± 0.2 |
2.5–3.0 | 10.7 ± 0.8 | 52.6 | 2.6 | 20.2 | 13.2 ± 0.2 | 15.1 ± 0.3 |
3.0–3.5 | 7.2 ± 0.7 | 55.1 | 2.7 | 20.4 | 13.5 ± 0.2 | 13.5 ± 0.2 |
3.5–4.0 | 5.4 ± 0.6 | 56.1 | 2.3 | 24.4 | 13.5 ± 0.4 | 12.4 ± 0.1 |
4.0–4.5 | 4.6 ± 0.5 | 58.9 | 2.2 | 26.7 | 13.4 ± 0.5 | 13.3 ± 0.2 |
4.5–5.0 | 3.9 ± 0.3 | 56.4 | 2.1 | 26.9 | 14.0 ± 0.6 | 13.9 ± 0.1 |
5.0–5.5 | 7.6 ± 0.7 | 52.1 | 1.9 | 27.4 | 14.2 ± 0.4 | 14.4 ± 0.5 |
5.5–6.0 | 5.8 ± 0.5 | 51.3 | 1.8 | 28.5 | 15.0 ± 0.2 | 15.8 ± 0.4 |
6.0–6.5 | 0.5 ± 0.1 | 48.1 | 5.2 | 9.3 | 15.1 ± 0.4 | 15.7 ± 0.4 |
* Доверительный интервал, Р = 0.9, n = 2.
** Доверительный интервал, P = 0.95, n = 3.
Основными функциональными группами гуминовых кислот являются фенольные, карбоксильные группы при ароматическом кольце и карбоксильные группы на концах углеводородных разветвленных цепочек [19]. Содержание функциональных групп, определяющих сорбционную обменную емкость гуминовых кислот, во всех образцах варьирует от 11.2 до 11.9 мкмоль/г. На окраинных участках болота (скважины 1 и 2) с увеличением глубины торфяной залежи возрастает общее количество функциональных групп до 13.1–13.3 мкмоль/г. Количество групп гуминовых кислот в слоях переходных торфов достигает 14.6–15.1 мкмоль/г (2.5–3.0 м глубины). Рассчитанный коэффициент корреляции Пирсона (r) на основании результатов по обменной емкости гуминовых кислот скважин 3 и 4 соответствует 0.83 при р < 0.01 (n = 26).
Кислородсодержащие группы гуминовых кислот различаются по величинам показателей констант диссоциации (рКа). Низинный торф содержит гуминовые кислоты преимущественно фенольного типа и карбоксильные группы с рКа 7.6–7.9 (рис. 3). Незначительное количество карбоксильных групп на концах углеводородных цепочек гуминовых кислот (рКа 4.0–4.6) связано с низкой долей окислительных реакций на глубине более 6.0 м. В переходном торфе (глубина 4.5 м) количество слабодиссоциирующих функциональных групп увеличивается до 7 (R–ArOH) и 4.0–4.5 (R–Ar(Cn)–COOH) мкмоль/г по сравнению с низинным торфом и достигает максимального значения на завершающем этапе формирования переходного слоя торфа (глубина 2.0–3.0 м). Верхний слой торфа гуминовых кислот содержит группы R–ArOH до 5–6 мкмоль/г (рКа 10.4–10.7), количество групп R–Ar(Cn)–COOH достигает 3–4 мкмоль/г, что в 1.6–1.8 раза ниже по сравнению с переходным торфом.
Рис. 3. Распределение функциональных групп гуминовых кислот в скважинах 3 и 4: (a) – фрагменты R–ArOH (рКа 10.4–10.7), r (Е3скв; Е4скв) = 0.79, p <0.01; (b) – фрагменты R–Ar(Cn)–COOH (рКа 7.6–7.9), r (Е3скв; Е4скв) = 0.46, p < 0.1; (c) – фрагменты R–Cn–COOH (рКа 4.0–4.6), r (Е3скв; Е4скв) = 0.67, p < 0.05.
Таким образом, анализ функционального состава фрагментов гуминовых кислот показал высокую интенсивность окислительных процессов в переходных торфах по сравнению с верховыми и низинными, что обусловлено ростом концентрации групп R–ArOH (рКа 10.4–10.7) и R–Ar(Cn)–COOH (рКа 7.6–7.9), которые способны вступать в комплексное взаимодействие с минеральными частицами торфа. Доля органических кислотных остатков в гуминовых кислотах с рКа 4.0–4.6, диссоциирующих при рН < 4, изменяется от 0.4 до 1.8 мкмоль/г и увеличивается в верховом торфе, что связано с окислением групп в поверхностных слоях торфа. Определение концентрации функциональных групп позволит охарактеризовать возможное комплексное взаимодействие с ионными формами или поверхностным зарядом минеральных элементов в торфяной залежи.
Зольные элементы. Неравномерное содержание углерода в торфяной залежи определяется количеством макроэлементов и разнообразием растительных остатков на соответствующей стадии формирования торфа. Проведенный анализ структуры торфяных остатков методом сканирующей электронной микроскопии показывает содержание основных макро- (Na, K, Ca, Mg) и микроэлементов (Al, Fe, Si и др. металлы) на разных глубинах (рис. 4). В верховом слое торфа пушицево-сфагнового палеосообщества преобладают кальций, магний, алюмосиликатные компоненты и небольшое количество железа (глубина 0–1.5 м). В переходном слое увеличивается в 2–3 раза содержание большинства из вышеуказанных элементов.
Рис. 4. Распределение химических элементов в сухом веществе по глубине торфяной залежи болота Близкое на примере скважины 4.
Болото Близкое развивается на богатых позднеледниковых глинах и окружено суглинистыми моренами [8]. Высокое содержание зольных элементов в придонных слоях торфа за счет их активного поглощения из подстилающих грунтов и намыва с минеральных берегов характерно для торфяных залежей, расположенных в болотах в бессточных глубоких котловинах на территории европейского севера [21]. В низинном слое количество зольных элементов составляет 8.1–17.9 мас. %. Наблюдается уменьшение доли алюминия, кальция, магния и значительное увеличение кремния и железа (глубина 1.5–4.5 м). Оценка изменения суммарного содержания металлов показала плавное возрастание компонентов с увеличением глубины залежи.
Увеличение доли макроэлементов P и Ba наблюдается в узком диапазоне глубин от 1.0 до 2.0 м. Количество элементов Si, Al, Ca, Mg, Mo, Fe и S возрастает на глубине 1.0–4.0 м. Замещение щелочных металлов калия (1–3 м) на натрий (2.5–3.5 м) может быть также причиной смены типа питания микроорганизмов. Доминирующими макроэлементами являются Si, Al и Fe. При этом изменение концентраций Si и Al с увеличением глубины торфяной залежи имеет схожий характер. Таким образом, смена растительности в процессе формирования болота и перехода от эвтрофной к мезотрофной стадии способствовала накоплению алюмосиликатных минералов, которые, в свою очередь, сформировали природный органоминеральный комплекс.
На микрофотографиях структуры торфяной залежи, отобранных на глубинах 0–1.5 и 4.0–5.0 м, на растительных остатках адсорбированы минеральные частицы, что указывает на сохранение пористых фрагментов торфа, обеспечивающих формирование капиллярных каналов на разных глубинах (рис. 5). Обнаруженная прослойка с вкраплениями минералов (торфяные слои на глубине 1.0–3.5 и >5.0 м) приводит к резкому снижению абсолютной влажности торфа и указывает на возможное снижение пористости торфяной структуры, что может стать причиной снижения газовой диффузии и привести к консервации подвижных форм углерода торфяного болота.
Рис. 5. Структурные особенности торфа по данным СЭМ на разной глубине торфяной залежи (100 мкм): (a) – 0–0.5 м; (b) – 1.0–3.5 м; (c) – 4.0–5.0 м; (d) – 5.0–6.5 м.
Полученный минеральный состав сапропелевых отложений (рис. 6) подтверждает преобладание алюмосиликатных пород (Al – 100 г/кг, Si – 390 г/ кг), подстилающих болото [18]. Во всех торфяных образцах на глубинах 1.0–5.5 м прослеживается преобладание кремния и алюминия, возможно, за счет биогенной миграции (кремний активно аккумулируется осоками и хвощом) и приноса с окружающих минеральных берегов в процессе формирования торфяной залежи [8].
Рис. 6. Внешний вид сапропелевого слоя и элементное распределение на глубине 6.0–6.5 м: (a) – СЭМ-фотография сапропеля с микрокристаллами (50 мкм); (b) – химический состав сапропеля на основе энергодисперсионного спектрального анализа.
Состав естественного барьера зависит от количественного соотношения минеральных и органических компонентов в торфяной почве. В случае преобладания минеральных элементов на глубине более 5.5 м (сапропелевый слой) органоминеральный барьер формируется на основе минеральных пород. С уменьшением глубины торфяной залежи и снижением количества минеральных элементов в переходной части залежи преобладают гуминовые вещества торфа, функциональные группы которых сорбируют минеральные элементы, формируя геохимические преграды, нарушающие обменные процессы на глубине. На примере основных минеральных элементов Al, Si, Fe торфа определены корреляционные зависимости с типами функциональных групп гуминовых кислот, содержанием органического углерода и величины абсолютной влажности торфа до глубины 4.0 м, где среднее количество зольных элементов не превышает 3–4 мас. % и включает верховой и переходный типы торфа (табл. 3).
Таблица 3. Коэффициенты корреляции Пирсона (r) некоторых параметров
Элемент | Сорг торфа, % | W, % | R–ArOH | R–Ar(Cn)–COOH | R–Cn–COOH |
Fe | 0.53 | –0.36 | 0.84* | 0.33 | 0.57 |
Al | 0.65** | –0.68* | 0.61** | –0.01 | 0.44 |
Si | 0.78* | –0.91* | 0.74* | 0.34 | 0.33 |
*0.01 ≤ p < 0.05.
**0.05 ≤ p < 0.1.
Значимая корреляционная зависимость (0.01 ≤ р < 0.05) обнаружена между содержанием фенольных гидроксилов в составе фрагментов гуминовых кислот и количеством кремния и железа в торфе. Сорбционная способность органических компонентов торфа по отношению к Si-содержащим минералам усиливается при наличии Fe и Al, которые проявляют схожие свойства в процессе взаимодействия с органическим веществом.
Положительная корреляционная зависимость содержания Al и Si в торфе от количества органического углерода связана с особенностями накопления верхового и переходного торфов в результате включения минералов суглинистых отложений, способствующих также увеличению степени разложения органических остатков.
Отрицательная значимая корреляция Al и Si с абсолютной влажностью (–0.91) подтверждает их вклад в снижение обменной функции капиллярной системы торфа после взаимодействия с органическим веществом торфа.
Заключение
Реконструкция динамики олиготрофного болота Близкое в течение голоцена по данным ботанического состава отложений свидетельствует о прохождении им четырех фаз развития – от озерной до олиготрофной, что отражается сукцессиями растительных палеосообществ. Органические озерно-болотные отложения характеризуются значительными различиями по физико-химическим параметрам и составу торфов.
Степень разложения торфа варьирует от 5–15% в верхних слоях торфяной залежи до 35–50% и выше – в низинных торфах, что обусловливает более высокое содержание углерода в органическом еществе торфа в переходных и низинных слоях залежи. В верховых торфах соотношение C/N составляет 48–53, в переходных и низинных торфах – 28–42. Торфяная залежь сложена в основном нормальнозольными торфами, сформировавшимся в процессе эндогенеза. Придонный слой низинного торфа (глубина 5.5–6.0 м) является высокозольным (17.9%) в результате намыва минеральных элементов с берегов болота и поглощения их растениями из подстилающего высокозольного сапропеля (79.1%), в составе которого преобладает Si, что характерно для сапропелей Карелии. Содержание основных макроэлементов закономерно снижается в залежи по мере обеднения минерального питания болота и развития его в сторону олиготрофной фазы. Болото, находясь среди кремнийсодержащих четвертичных отложений, характеризуется высоким содержанием Si по всей толще залежи и низким содержанием Ca.
Установлена высокая изменчивость влагоемкости торфов на глубинах 1.0 и 4.5–5.0 м, значительные показатели которых определены для травяно-моховых торфов. Обнаружение пористых растительных остатков указывает на сохранение пористой структуры и функционирование капиллярных каналов. Методом сканирующей электронной микроскопии показаны прослойки в торфяной залежи с микроминеральными включениями на глубинах 1.0–3.5 и 5.0–6.5 м, которые обусловлены высоким содержанием в них Al, Si и Fe и согласуются со снижением влагоемкости торфа.
Интенсивный процесс превращения органического вещества показан на глубине 3.0–3.5 м (V стадия торфонакопления) увеличением выхода гуминовых кислот до 18.1% в переходном торфе. Обнаружение корреляционной зависимости содержания фенольных групп фрагментов гуминовых кислот и минеральных элементов Al, Si и Fe в торфяной залежи болота предполагает участие четвертичных отложений в формировании естественных органо-минеральных барьеров в толще торфяной залежи.
Оценка распределения форм углерода в торфяной залежи в сочетании с физико-химическими характеристиками торфа является необходимой для дальнейших расчетов запасов углерода на торфяном болоте, динамики его превращения и реакции болотной экосистемы на климатические изменения. Полученные геохимические и гидрофизические исследования важны для понимания процессов аккумуляции и эмиссии углерода.
Финансирование работы
Работа выполнена при поддержке госбюджетной темы Карельского научного центра РАН № FMEN-2022-0018.
Соблюдение этических стандартов
В данной работе отсутствуют исследования человека или животных.
Конфликт интересов
Авторы заявляют об отсутствии у них конфликта интересов.
About the authors
E. V. Linkevich
Karelian Research Centre of the Russian Academy of Sciences
Author for correspondence.
Email: maltseva2@gmail.com
Department of Multidisciplinary Scientific Research
Russian Federation, Petrozavodsk, 185910Е. N. Guljaeva
Karelian Research Centre of the Russian Academy of Sciences
Email: maltseva2@gmail.com
Department of Multidisciplinary Scientific Research
Russian Federation, Petrozavodsk, 185910О. L. Kuznetsov
Karelian Research Centre of the Russian Academy of Sciences
Email: maltseva2@gmail.com
Department of Multidisciplinary Scientific Research
Russian Federation, Petrozavodsk, 185910L. А. Ephimova
Karelian Research Centre of the Russian Academy of Sciences
Email: maltseva2@gmail.com
Department of Multidisciplinary Scientific Research
Russian Federation, Petrozavodsk, 185910V. М. Prokopyuk
Karelian Research Centre of the Russian Academy of Sciences
Email: maltseva2@gmail.com
Department of Multidisciplinary Scientific Research
Russian Federation, Petrozavodsk, 185910References
- Аветов Н.А., Кузнецов О.Л., Шишконакова Е.А. Опыт использования классификации и диагностики почв России в систематике торфяных почв биогеоценозов олиготрофных болот северотаежной подзоны Западной Сибири // Вестник Моск. ун-та. Сер. 17, Почвоведение. 2019. № 4. С. 37–47.
- Баркан В.Ш., Лянгузова И.В. Эколого-геохимическая оценка содержания поллютантов в бугристых болотах Кольского полуострова // Почвоведение. 2018. № 12. С. 1464–1477. https://doi.org/10.1134/S0032180X1812002X
- Бахнов В.К. Биогеохимические аспекты болотообразовательного процесса. – 1986. 192 с.
- Василевич Р.С., Безносиков В.А. Влияние изменения климата в Голоцене на профильное распределение гумусовых веществ бугристых торфяников лесотундры // Почвоведение. 2017. № 11. С. 1312–1324. https://doi.org/10.7868/S0032180X17090106
- Волкова Е.М., Бойкова О.И., Хлытин Н.В. Изменение химического состава растений-торфообразователей в процессе разложения на карстово-суффозионных болотах Среднерусской возвышенности // Хим. раст. сырья. 2020. № 1. С. 283–292. https://doi.org/10.14258/jcprm.2020015222
- Вомперский С.Э., Иванов А.И., Цыганова О.П., Валяева Н.А., Глухова Т.В., Дубинин А.И., Глухов А.И., Маркелова Л.Г. Заболоченные органогенные почвы и болота России и запас углерода в их торфах // Почвоведение. 1994. № 12. С. 17–25.
- Гончарова О.Ю., Матышак Г.В., Бобрик А.А., Тимофеева М.В., Сефилян А.Р. Оценка вклада корневого и микробного дыхания в общий поток СО2 из торфяных почв и подзолов севера Западной Сибири методом интеграции компонентов // Почвоведение. 2019. № 2. С. 234–245. https://doi.org/10.1134/S0032180X19020059
- Демидов И.Н., Лукашов А.Д., Ильин В.А. Рельеф заповедника «Кивач» и история геологического развития Северо-Западного Прионежья в четвертичном периоде // Труды КарНЦ РАН. 2006. Вып. 10. С. 22–34.
- Елина Г.А., Кузнецов О.Л., Максимов А.И. Структурно-функциональная организация и динамика болотных экосистем Карелии. Л.: Наука, 1984. 128 с.
- Ефремова Т.Т., Ефремов С.П. Гуминовые вещества болотных экосистем таежной зоны Западной Сибири // Почвы и окружающая среда. 2021. Т. 4. № 4. С. 50–63. https://doi.org/10.31251/pos.v4i4.159
- Ефремова Т.Т., Ефремов С.П., Куценогий К.П., Онучин А.А., Переседов В.Ф. Биогеохимия Fe, Mn, Cr, Ni, Co, Ti, V, Mo, Та, W, U в низинном торфянике на междуречье Оби и Томи // Почвоведение. 2003. № 5. С. 557–567.
- Кац Н.Я. Классификация видов торфа и торфяных залежей. М., 1951. 68 с.
- Короткина М.Я. Ботанический анализ торфа // Методы исследования торфяных болот / Под ред. М.И. Нейштадт. М. 1939. С. 5–59.
- Кузнецов О.Л. Основные направления и результаты исследований карельской научной школы болотоведения // Тр. КарНЦ РАН. 2023. Вып. 3. С. 47–75.
- Кутенков С.А. Компьютерная программа для построения страти графических диаграмм состава торфа «Korpi» // Тр. Карельского НЦ РАН. 2013. № 6. С. 171–176.
- Линкевич Е.В., Гуляева Е.Н., Прокопюк В.М., Ефимова Л.А. Результаты суточных измерений потоков углекислого газа на олиготрофном болоте Южной Карелии // Тр. Кар. науч. ц-ра РАН. 2023. № 8. С. 13–19. https://doi.org/10.17076/eco1840
- Лиштван И.И., Король И.Т. Основные свойства торфа и методы их определения. Минск: Наука и техника, 1975. 320 с.
- Мальцев А.Е., Леонова Г.А., Бобров В.А., Кривоногов С.К. Геохимические особенности голоценового разреза сапропеля озера Минзелинское (Западная Сибирь) // Известия Томского политехнического ун-та. Инжиниринг георесурсов. 2014. Т. 325. № 1. С. 83–93.
- Мальцева Е.В., Филатов Д.А., Юдина Н.В., Чайковская О.Н. Роль модифицированных гуминовых кислот торфа в детоксикации тебуконазола // Хим. тв. топл. 2011. № 1. С. 65–70.
- Мальцева Е.В., Юдина Н.В., Ломовский О.И. Электровосстановление кислорода в присутствии гуминовых кислот // Журн. физ. хим. 2011. Т. 85. № 7. С. 1363–1367.
- Методы исследования болотных экосистем таежной зоны. Л.: Наука, 1991. 128 с.
- Переломов Л.В., Чилачава К.Б., Швыкин А.Ю., Атрощенко Ю.М. Влияние органических веществ гумуса на поглощение тяжелых металлов глинистыми минералами // Агрохимия. 2017. № 2. С. 89–96.
- Савичева О.Г., Инишева Л.И. Биохимическая активность торфов разного ботанического состава // Хим. раст. сырья. 2003. № 3. С. 41–50.
- Сысуев В.В. Процессы формирования и параметры ландшафтно-геохимического барьера низинного болота // Геохимия. 2021. Т. 66. № 7. С. 646–658. https://doi.org/10.31857/S0016752521060108
- Филимонова Л.В., Еловичева Я.К. Основные этапы развития лесов и болот в голоцене на территории заповедника «Кивач» // Болотные экосистемы европейского Севера. Петрозаводск: Карельский филиал АН СССР, 1988. С. 94–109.
- Bourbonniere R.A. Review of Water Chemistry Research in Natural and Disturbed Peatlands // Canad. Water Res. J. 2009. 34(4). P. 393–414. https://doi.org/10.4296/cwrj3404393
- Fiałkiewicz-Kozieł B., Bao K., Smieja-Król B. Geographical drivers of geochemical and mineralogical evolution of Motianling peatland (Northeast China) exposed to different sources of rare earth elements and Pb, Nd, and Sr isotopes // Sci. Total Environment. 2022. V. 807. P. 150481. https://doi.org/10.1016/j.scitotenv.2021.150481
- González A Z.I., Krachler M., Cheburkin A.K., Shotyk W. Spatial distribution of natural enrichments of arsenic, selenium, and uranium in a minerotrophic peatland, Gola di Lago, Canton Ticino, Switzerland // Environ. Sci. Technology. 2006. Т. 40. № 21. С. 6568–6574. https://doi.org/10.1021/es061080v
- Gorham E., Lehman C., Dyke A., Clymo D., Janssens J. Long-term carbon sequestration in North American peatlands // Quarter. Sci. Rev 2012. V. 58 P. 77–82. https://doi.org/10.1016/j.quascirev.2012.09.018
- Kiuru P., Palviainen M., Marchionne A., Gronholm T., Raivonen M., Kohl L. Pore network modeling as a new tool for determining gas diffusivity in peat // Biogeosciences. 2022. V. 19. № 21. P. 5041–5058. https://doi.org/10.5194/bg-19-5041-2022
- Kottek M., Grieser J., Beck C., Rudolf B., Rubel F. World map of the Köppen-Geiger climate classification updated // Meteorologische Zeitschrift. 2006. V. 15. № 3. P. 259–263. https://doi.org/10.1127/0941-2948/2006/0130
- Linn D.M., Doran J.W. Effect of water‐filled pore space on carbon dioxide and nitrous oxide production in tilled and nontilled soils // Soil Sci. Soc. Am. J. 1984. V. 48. № 6. P. 1267–1272. https://doi.org/10.2136/sssaj1984.03615995004800060013x
- McCarter C.P.R., Rezanezhad F., Quinton W.L., Gharedaghloo B., Lennartz B., Price J., Connon R., Van Cappellen P. Pore-scale controls on hydrological and geochemical processes in peat: Implications on interacting processes // Earth-scie Reviews. 2020. V. 207. P. 103227. https://doi.org/10.1016/j.earscirev.2020.103227
- Savichev O.G., Mazurov A.K., Rudmin M.A., Shakhova N.E., Sergienko V.I., Semiletov I.P. Mechanisms of accumulation of chemical elements in a peat deposit in the eastern part of Vasyugan swamp (West Siberia) // Doklady Earth Sciences. 2019. V. 486. P. 568–570. https://doi.org/10.1134/S1028334X19050258
- Swift R.S. Methods of soil analysis // Methods of soil analysis. Part 3. Chemical methods. Soil Sci. Soc. Am. Book Series: 5. Soil Sci. Soc. Am. Madison. WI, 1996. P. 1018–1020.
- Weber T.K.D., Iden S.C., Durner W. A pore-size classification for peat bogs derived from unsaturated hydraulic properties // Hydrol. Earth Syst. Sci. 2017. V. 21. № 12. P. 6185–6200. https://doi.org/10.5194/hess-21-6185-2017
Supplementary files








