Features of the accumulation and distribution of heavy metals in soils and medicinal plants of the Novocherkassk Power Station impact zone
- Authors: Chaplygin V.A.1, Burachevskaya M.V.1, Minkina T.M.1, Mandzhieva S.S.1, Siromlya T.I.2, Chernikova N.P.1, Dudnikova T.S.1
-
Affiliations:
- Southern Federal University
- Institute of Soil Science and Agrochemistry SB RAS
- Issue: No 10 (2024)
- Pages: 1424-1438
- Section: DEGRADATION, REHABILITATION, AND CONSERVATION OF SOILS
- URL: https://ogarev-online.ru/0032-180X/article/view/280984
- DOI: https://doi.org/10.31857/S0032180X24100116
- EDN: https://elibrary.ru/JXCKAL
- ID: 280984
Cite item
Full Text
Abstract
One of the energy enterprises of the first hazard class, operating primarily on coal, the emissions of which have a negative impact on the environment of the Rostov region, is the Novocherkassk Power Station. The purpose of the study was to analyze the accumulation of Zn, Pb, Cu, Mn, Ni, Cr and Cd in soils and various types of medicinal plants in the impact zone of the Novocherkassk Power Station. The total content of Cr, Ni and Cd in soils was shown to be up to 1.4 times higher than the background and approximately permissible concentration. At the same time, it was established that the maximum permissible concentration of mobile forms of Cu in soils was exceeded by up to 4 times, Zn, Pb, Ni and Cr – by up to 2 times. It was revealed that wormwood, common chicory and tansy accumulate heavy metals mainly in the aerial parts, and bristly yarrow – in the roots. It was revealed that the maximum permissible level of element content in yarrow was exceeded by up to 3.5 times for Pb, up to 5 times for Cd and up to 3 times for Ni, in wormwood for Pb up to 5.5 times and Ni up to 2 times, in chicory for Pb and Cd up to 2 and 6 times, in tansy for Pb and Cd up to 3 times. The highest content of mobile forms of heavy metals in the soil and their accumulation in plants is observed within 3 km in the northwest direction from the power station. Based on biogeochemical indicators, an assessment is made of the degree of technogenic load on soils and medicinal plants in the impact zone.
Full Text
ВВЕДЕНИЕ
Стремительное развитие энергетической промышленности неизбежно приводит к загрязнению окружающей среды, главным образом, почв соединениями тяжелых металлов (ТМ) [22, 29]. Накопление поллютантов в почвах территорий, находящихся в непосредственной близости от предприятий топливно-энергетического комплекса, приводит к повышению уровня загрязнения всех сопредельных сред, зачастую превышающего нормативные показатели [30, 33–38, 49, 51, 54–56]. Лекарственные растения, произрастающие в импактных зонах, могут представлять особую опасность для здоровья человека [23, 27]. Степень извлечения ТМ из лекарственного растительного сырья зависит как от содержания элемента в исходном сырье, так и от выбранного способа экстракции. В настоящее время среди населения стран мира сохраняется интерес к растительным лекарственным средствам. Так, на основе растительного сырья изготовлен каждый третий лекарственный препарат на мировом рынке [20]. В некоторых фармацевтических группах доля фитопрепаратов еще выше, например, около 70% препаратов для лечения сердечно-сосудистых заболеваний изготавливается на основе растений [16].
Помимо почвы, источником поступления ТМ в растения являются и оседающие на листовой поверхности аэрозольные частицы, становясь источником дополнительного так называемого фолиарного загрязнения. Накопление ТМ в лекарственных растениях фолиарным путем, в обход барьеров на границе почва–корневая система и корни–надземная часть, ограничивает возможности использования в медицине данного региона лекарственных растений. Поэтому одной из наиболее актуальных проблем в лекарственном растениеводстве является анализ возможности использования в лечебных целях растений, произрастающих в условиях техногенного прессинга, поскольку основную часть заготовок сырья проводят в населенных и промышленно освоенных регионах [13, 14]. Видовые особенности являются одним из важнейших факторов поступления и накопления элементов [34, 36, 41, 47, 52]. Дикорастущие растения обладают большей устойчивостью к загрязнению ТМ по сравнению с сельскохозяйственными культурами [50]. Это означает, что дикорастущие виды способны аккумулировать в себе большее количество ТМ, не подвергаясь эффекту токсикации и, как следствие, не иметь внешних проявлений опасного уровня содержания поллютантов.
Цель работы – оценка содержания и распределения ТМ в системе почва–дикорастущие лекарственные растения импактной зоны НчГРЭС.
ОБЪЕКТЫ И МЕТОДЫ
Объектом исследования являлись почвы и лекарственные растения, отобранные в зоне влияния крупнейшего в Ростовской области предприятия топливно-энергетического комплекса – филиала публичного акционерного общества “Вторая генерирующая компания оптового рынка электроэнергии” (ПАО “ОГК-2”) “Новочеркасская” ГРЭС (НчГРЭС), основной базовой электростанции в Ростовской энергосистеме. В качестве топлива используется донецкий уголь марки АШ. На долю этого предприятия приходится 1% всех выбросов поллютантов в атмосферу в РФ, в Ростовской области – >50%, в Новочеркасске – 90% [18, 28]. Отмечается, за последние несколько лет увеличились производственные мощности предприятия [28]. Основными компонентами выбросов НчГРЭС являются зола, сернистый ангидрид, оксиды азота. Выделяются в атмосферу большие объемы сажи (свыше 30 т/год), пятиокиси ванадия (около 8 т/ год), оксидов железа (свыше 5 т/год), хромового ангидрида (около 0.1 т/год), диоксида Mn (около 0.15 т/год), оксида Ni (1.5 кг/год), фтористого водорода (7 кг/год) [19, 48]. В твердофазных атмосферных выпадениях территории исследования содержится в 13 раз больше Zn, в 7–8 раз больше Pb и Cu и в 1.5–2 раза больше Ni, Cr и Cd по сравнению с региональным фоном [28].
Полевые исследования. Площадки мониторинга 4, 5, 8, 9, 10, 13, 18, 19 были заложены с учетом розы ветров (рис. 1): на расстоянии 2–20 км в направлении преобладающих ветров (СЗ и СЗЗ) – в зоне вероятного интенсивного техногенного воздействия, а также на расстоянии 1–12 км вокруг электростанции – в зоне вероятного диффузионного массопереноса выбросов (площадки 1–3, 6, 7, 11, 12, 16, 17) и менее вероятного воздействия на почвы и растения со стороны предприятия (площадки 14, 15, 20–25).
Рис. 1. Картосхема расположения площадок мониторинга вблизи электростанции с указанием видового состава отобранных растений.
В ходе экспедиционных исследований определены наиболее распространенные на исследуемой территории виды лекарственных растений (рис. 1): тысячелистник щетинистый (Achillea setacea Waldst & Kit), полынь горькая (Artemisia absintium L.), цикорий обыкновенный (Cichorium intybus L.) и пижма обыкновенная (Tanacetum vulgare L.). Расположение площадок мониторинга относительно электростанции, а также распространение отдельно взятых растений отображено на рис. 1.
Помимо импактной зоны предприятия, была заложена площадка мониторинга в районе особо охраняемой природной территории (ООПТ) “Персиановская заповедная степь” в Ростовской области. Ввиду отсутствия антропогенной нагрузки на данную территорию она была выбрана в качестве фоновой [21]. Это аргументировано тем, что содержание всех изучаемых ТМ, за исключением Cr, в растениях ООПТ в 3–5 раз ниже максимально допустимого уровня (МДУ), а повышенный фон для Cr обусловлен особенностями химического состава почв Ростовской области [19].
Характеристика почвенного покрова. Почвенный покров исследуемой территории представлен черноземами обыкновенными карбонатными легкоглинистыми, тяжелосуглинистыми, среднесуглинистыми и легкосуглинистыми разновидностями (Calcic Chernozem (Hyperhumic, Pachic, Loamic)) (площадки 1, 4, 5, 7, 9–16, 18–25, а также фоновым участком), лугово-черноземными тяжелосуглинистыми и легкоглинистыми (Stagnic Fluvisols (Humic, Arenic)) (площадки 3, 6, 8, 17) и аллювиальной супесчаной почвами (Calcaric Fluvisols (Arenic)) (площадка 2) (табл. 1).
Таблица 1. Статистические параметры свойств различных типов почв импактной зоны электростанции
Параметр | pH | Физическая глина | Ил | Органическое вещество | CaCO3 | Емкость катионного обмена |
% | смоль(экв)/кг | |||||
Чернозем обыкновенный карбонатный (n = 19) | ||||||
Среднее | 7.5 | 42.7 | 19.9 | 1.9 | 1.0 | 32.5 |
Медиана | 7.6 | 42.1 | 17.2 | 2.0 | 0.7 | 31.0 |
Минимум | 6.2 | 26.8 | 8.2 | 0.9 | 0.1 | 23.0 |
Максимум | 8.0 | 58.4 | 31.2 | 2.6 | 8.3 | 45.0 |
Стандартное отклонение | 0.4 | 10.9 | 7.3 | 0.5 | 1.8 | 6.1 |
Коэффициент вариации, % | 5.5 | 25.6 | 36.9 | 28.2 | 176.5 | 18.8 |
Лугово-черноземная почва (n = 4) | ||||||
Среднее | 7.6 | 60.7 | 33.6 | 2.5 | 0.8 | 41.8 |
Медиана | 7.7 | 60.3 | 33.6 | 2.5 | 0.9 | 43.0 |
Минимум | 7.3 | 54.1 | 30.1 | 1.6 | 0.5 | 35.0 |
Максимум | 7.9 | 68.2 | 37.0 | 3.5 | 0.9 | 46.0 |
Стандартное отклонение | 0.3 | 6.7 | 2.9 | 0.8 | 0.2 | 5.0 |
Коэффициент вариации, % | 3.6 | 11.0 | 8.5 | 30.0 | 24.4 | 12.0 |
Аллювиальная почва (n = 2) | ||||||
Среднее | 7.3 | 9.4 | 2.2 | 1.3 | 0.7 | 18.5 |
Отбор проб почв и растений. Отбор проб почв и растений осуществляли во второй декаде июня в период активной вегетации. Образцы черноземов обыкновенных карбонатных, лугово-черноземной и аллювиальной почв разного гранулометрического состава отбирали с глубины 0–20 см (ГОСТ Р 58595-2019). Почву высушивали до воздушно-сухого состояния и перетирали для последующего анализа. Почвенные образцы анализировали с применением следующих методик: определение органического вещества – по методу Тюрина в модификации ЦИНАО (ГОСТ 26213-2021); определение фракций физической глины (<0.01 мм) и ила (<0.001 мм) – седиментационным методом с использованием пипетки Качинского с пирофосфатной подготовкой [4]; обменные катионы Са2+ и Mg2+ – по методу Шаймухаметова [25]; содержание карбонатов в почве – комплексонометрическим методом по Кудрину [7]; рН водной вытяжки – потенциометрическим методом (ГОСТ 26423-85).
На площадке мониторинга учитывали все растения. Образцы растений отбирали вместе с корневой частью (ГОСТ 27262-87). Растения с развитой корневой системой извлекали из почвы вместе с монолитом почвы, во избежание потери значительной части корневой системы. Из 8–10 точечных проб растений, принадлежащих к одному виду, формировали объединенную пробу весом 1.5 кг. После отбора растения высушивали до воздушно-сухого состояния и измельчали. Корневую часть предварительно очищали от частиц почвы, во избежание попадания их в образец. Распределение и накопление элементов анализировали в корнях, стеблях и соцветиях.
Методы определения тяжелых металлов в почве. Валовое содержание Mn, Cr, Ni, Cu, Zn, Pb, Cd в почвах определяли рентген-флюоресцентным методом на спектроскане MAKC-GV. Подвижные соединения ТМ переведены в раствор экстракцией 1 н. ацетатно-аммонийным буфером (CH3COONH4) – ААБ, рН 4.8, соотношение почва : раствор 1 : 10, время экстракции 18 ч. Содержание металлов в вытяжках из почв определяли методом атомно-абсорбционной спектрофотометрии на спектрофотометре Квант-2МТ (Россия). Качество выполнения измерений массовой доли металлов контролировали путем оценки погрешности с использованием стандартного образца согласно (ПНД Ф 16.1.42-04, 2010).
Метод определения тяжелых металлов в растениях. Содержания ТМ анализировали в различных органах растений: корни, стебли и соцветия. Пробы частей лекарственных растений готовили методом сухого озоления по ГОСТ 30692-2000. Навески (5 г) в течение 4–5 ч озоляли в муфельной печи при температуре 525 ± 25°С, охлаждали в эксикаторе. Кислотную экстракцию ТМ из золы осуществляли растворением в 20%-ном растворе HCl [17]. Содержание ТМ в экстрактах определяли методом атомно-абсорбционной спектрофотометрии на атомно-абсорбционном спектрометре Квант-2Z (Россия). Исследования выполняли в трехкратной повторности.
Оценка уровня загрязнения почв и растений. Уровень загрязнения почв ТМ оценивали на основе сопоставления с предельно допустимыми концентрациями (ПДК) и ориентировочно допустимыми концентрациями (ОДК) по валовому содержанию и подвижным формам металлов (СанПиН 1.2.3685-21).
Уровень загрязнения в ТМ оценивали путем сопоставления содержания ТМ в исследуемой растительности с ПДК для лекарственного растительного сырья [10]. Вследствие того, что ПДК ТМ в лекарственном растительном сырье разработаны только для Pb и Cd, дополнительно для оценки уровня загрязнения растений применяли МДУ химических элементов в кормах для сельскохозяйственных животных и кормовых добавках [8].
Общую нагрузку на фитомассу лекарственных растений оценивали по индексу суммарной токсической нагрузки (Sn, отн. ед.), рассчитанному по формуле:
Sn = 1/n (ΣСi /Cf),
где Сi – концентрации ТМ в исследуемом образце надземной части растений, Cf – содержание соответствующих металлов в растениях фоновой зоны, n – количество элементов, включенных в анализ [1, 2].
Изучение транслокации ТМ в растения. Для характеристики аккумулирующей способности растений и барьерной функции корней использован коэффициент накопления (КН), представленный как отношение содержания металла в корнях растения к содержанию его подвижных форм в почве (КН = Скорней/Спочвы). Данный показатель является наиболее объективным для оценки эффективности действия барьера почва–корневая система и отражает корневое поступление ионов металла из почвы в подземные органы [2, 42]. В случае активной работы корневого барьера КН < 1, величина КН ≥ 1 свидетельствует об активном поглощении ионов металлов корнями [44, 46, 53].
Показатель биогеохимической подвижности (Bx) учитывает токсичность ТМ, а также конкретные почвенно-геохимические условия и рассчитывается как отношение концентрации элемента в сухой массе надземной части растения к содержанию его подвижных форм в почве [18]. Величина Bx > 1 означает наличие значительной аккумуляции элемента растением из почвы. Для изучения роли фолиарного загрязнения и выявления особенностей распределения элементов по органам растений рассчитывали акропетальный коэффициент (АК1), как отношение содержания ТМ в вегетативных органах к их содержанию в корнях (АК1 = Сстеблей / Скорней) и отношение содержания ТМ в генеративных органах к их содержанию в вегетативных органах растений (АК2 = Ссоцветий /Сстеблей) [3]. Зарубежные авторы называют данный показатель транслокационным коэффициентом [40, 43] или просто соотношением побеги/корень [33, 39].
Статистический анализ и представление результатов. Статистический анализ полученных результатов, включая описательные статистики (среднее, медиана, минимум, максимум, стандартное отклонение, коэффициент вариации), коэффициент корреляции Спирмена (R) и многофакторный дисперсионный анализ с последующим определением достоверности различий с использованием критерия Тьюки для неравных выборок выполнили в программах Microsoft Excel 2019 и Statistica 8. Для проведения многофакторного дисперсионного анализа в качестве факторов использовали вид растения, ТМ и территорию пробоотбора, разделенную на область наибольшего влияния предприятия – направление преобладающего ветра западнее и северо-западнее от электростанции, а также вокруг нее. Картографический материал и визуализацию статистических результатов выполняли в программах QGIS 3.10.9 и Sigmaplot 12.5.
РЕЗУЛЬТАТЫ И ОБСУЖДЕНИЕ
Пространственное распределение ТМ в почвах импактной зоны. В почве фонового участка валовое содержание ТМ убывает в ряду: Mn – 815 мг/ кг > Cr – 97 мг/кг > Zn – 69 мг/кг > Cu – 49 мг/кг > Ni – 39 мг/кг > Pb 25 мг/кг > Cd – 0.4 мг/кг. Высокие концентрации Cr в черноземе обыкновенном обусловлены региональными биогеохимическими особенностями микроэлементного состава почв Ростовской области и минералогического состава почвообразующих пород, представленных желто-бурыми лёссовидными суглинками и глинами с высоким содержанием Cr [19]. Валовое содержание и подвижные формы ТМ в почве фонового участка не превышают ОДК и ПДК.
Подвижные формы ТМ в фоновой почве образуют схожий с валовым содержанием элементов ряд: Mn – 22.6 мг/кг > Zn – 2.6 мг/кг > Cr – 1.3 мг/ кг > Cu 1.0 мг/кг > Ni – 0.8 мг/кг Pb 0.3 мг/ кг, Cd – 0.01 мг/кг. Доля подвижных соединений Pb, Cr, Cu, Ni, Mn, Zn и Cd составляет от 1.2–3.8%. Наименьшая подвижность характерна для Cr, наибольшая – для Cd. Низкое содержание подвижных соединений металлов в черноземе обыкновенном объясняется присутствием карбонатов, их высокодисперсной мицелярной формой и слабощелочной реакцией среды [31, 32, 33, 45].
Анализ пространственного распределения ТМ в почвах импактной зоны показал, что наибольшее влияние выбросы электростанции оказывают на почвы площадок мониторинга 4–6, расположенных на расстоянии до 3 км в западном и северо-западном направлении (рис. 2). Наблюдается превышение ОДК валового содержания Cr и Ni в 1.1 раз, Cd – в 1.4 раза. Превышение ПДК подвижных форм ТМ в почвах данных площадок составляет: Cu – до 4.4 раз, Zn, Pb, Ni и Cr – до 2 раз и более.
Рис. 2. Пространственное распределение валового содержания (a) и подвижных форм (b) тяжелых металлов в почвах импактной зоны электростанции.
Относительно фонового участка в почвах площадок мониторинга 4–6, расположенных в северном и северо-западном направлении на расстоянии до 5 км от электростанции, наблюдается превышение валового содержания и подвижных форм Cd и Pb в 19–59 и 22–53 раза соответственно. Превышение фонового уровня подвижных форм ТМ отмечается в почвах, расположенных до 10 км от источника в северном и северо-западном направлении, а также до 3 км вокруг предприятия, где содержание Cd и Pb выше в 1.5–5 и 3–6 раз, а также в 1.5–8 и 2–10 раз соответственно.
Помимо влияния аэротехногенных выбросов на подвижность ТМ оказывают влияние свойства почв. В условиях техногенной нагрузки в суглинистых черноземах обыкновенных и глинистых лугово-черноземных почвах содержание подвижных форм Cu, Zn, Ni, Mn, Cd возрастает в 1.3–3.8 раз, для Pb – в 5 раз по сравнению с данным типом почв фоновой площадки, что составляет 2.7–11.5% от валового их содержания. В аллювиальных песчаных почвах с низким содержанием физической глины, органического вещества и ЕКО, количество подвижных форм ТМ большее, чем в черноземе обыкновенном и лугово-черноземной почве (табл. 2).
Таблица 2. Доля подвижных форм металлов от их валового содержания в зависимости от типа почвы, %
Почва | Cu | Zn | Pb | Ni | Mn | Cd | Cr |
Чернозем обыкновенный карбонатный (фон) | 2.0 | 3.8 | 1.2 | 2.1 | 2.8 | 3.7 | 1.3 |
Чернозем обыкновенный карбонатный | 4.4 | 6.3 | 5.9 | 4.8 | 5.0 | 11.5 | 3.7 |
Лугово-черноземная | 2.7 | 8.4 | 4.5 | 3.0 | 4.2 | 10.9 | 3.4 |
Аллювиальная | 10.6 | 11.1 | 14.2 | 10.7 | 9.0 | 21.6 | 7.8 |
Закономерности аккумуляции ТМ в растениях. Установлено, что содержание Mn, Zn, Ni, Cu и Cd в лекарственных растениях степной зоны ООПТ “Персиановская заповедная степь” соответствует нормальным концентрациям в растениях [42] и кларкам элементов в растительности суши [12]. Превышение МДУ Cr в 3–28 раз в надземных частях лекарственных растений связано с высоким содержанием Cr в почвах, что является их региональной особенностью [19].
По результатам многофакторного дисперсионного анализа установлено, что видовые особенности растений, химические особенности ТМ и интенсивность техногенной нагрузки оказывают значительное влияние на аккумуляцию элементов в корневой и стеблевой частях растений, а также в соцветиях (табл. S1). В меньшей степени влиянию данных факторов подвержены генеративные органы растений, что связано с наиболее сильным проявлением барьерных функций при защите генофонда вида. Растения стремятся ограничить аккумуляцию поллютантов в семенах, что делает фактор содержания ТМ в почве минимально значимым. Однако селективное накопление отдельно взятых элементов разными видами растений и фолиарное поступление ТМ из атмосферы в обход барьеров оказывает решающее значение.
У растений, произрастающих в зоне влияния ГРЭС, установлен сходный убывающий ряд по накоплению ТМ в корневой, вегетативной и генеративных частях лекарственных растений: Mn > Zn > Cr ≈ Pb ≈ Cu > Ni > Cd, что в целом совпадает с содержанием ТМ в составе выбросов и их накоплением в почвах (рис. 3). Различия в накоплении металлов в корневой части между разными видами растений, главным образом, выражены в повышенной аккумуляции Mn (до 84 мг/кг), Zn (до 54 мг/ кг) и Pb (до 32 мг/кг) у тысячелистника и Ni (до 4 мг/ кг), Cd (до 0.5 мг/кг) у цикория. При этом медианное значение накопления Mn в корневой части тысячелистника соответствует 43 мг/ кг, Cd и Zn – в тысячелистнике 0.23–0.24 мг/ кг и у цикория 27–31 мг/ кг, Cu – в полыни – 15 мг/ кг, Ni – в цикории, пижме и полыни – 2.6–3.7 мг/ кг.
Рис. 3. Содержание тяжелых металлов в корнях, стеблях и соцветиях 4 видов растений импактной зоны электростанции. Буквы указывают на значимые различия, полученные при помощи Tukey honest significant difference for unequal N при р < 0.05.
Выявлены видовые особенности растений в накоплении металлов в стеблях и соцветиях. Об этом свидетельствуют результаты парного сравнения Tukey HSD, согласно которым аккумуляция ТМ, особенно Сr, Cu и Ni, значительно различается между всеми исследуемыми растениями. Отличительной особенностью пижмы является низкое накопление в стеблях Zn, а полыни – Cd по сравнению с другими видами.
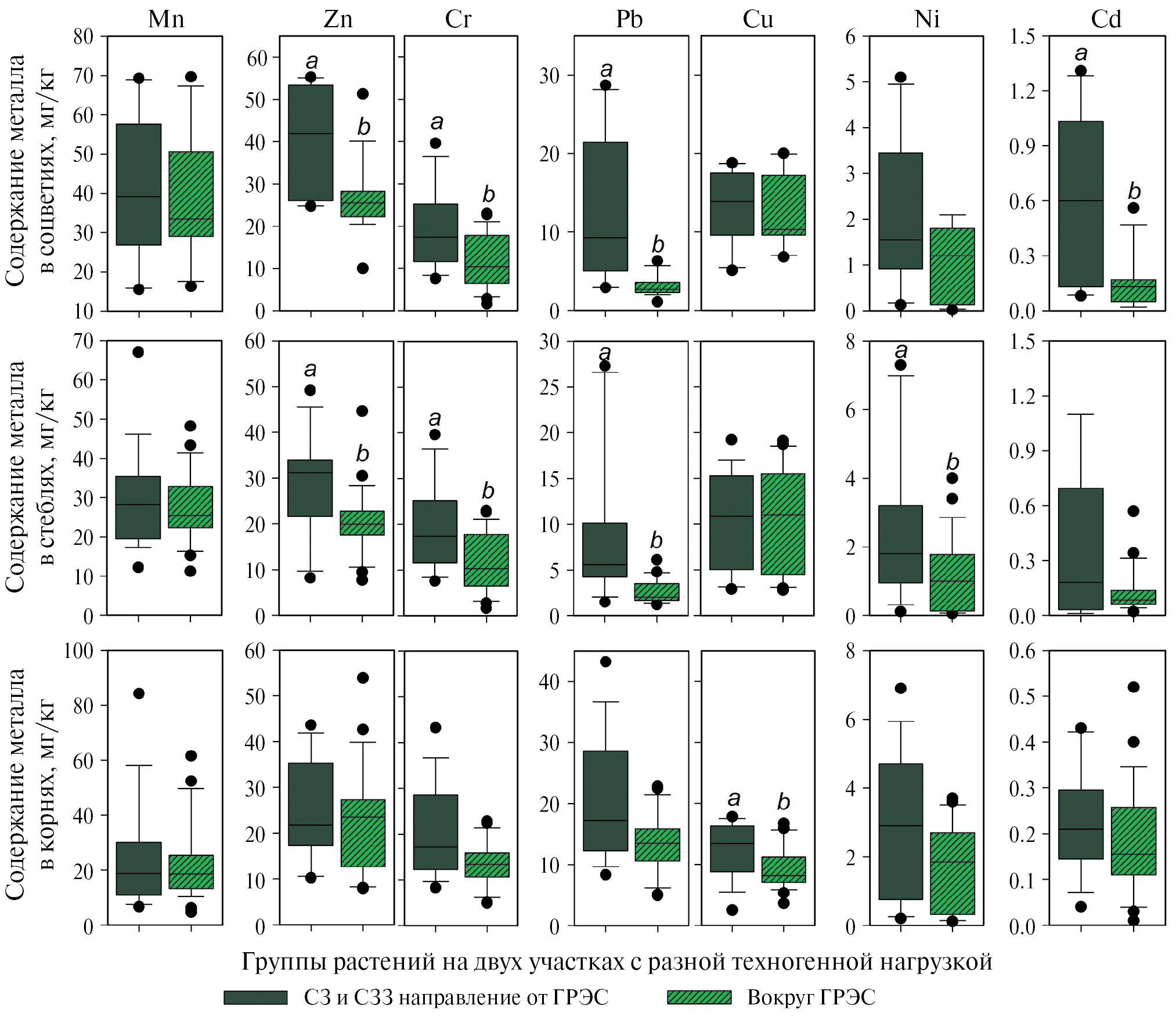
Установлен высокий уровень аккумуляции ТМ в различных частях растений, отобранных на площадках мониторинга в северо-западном направлении (по линии преобладающего ветра) от предприятия, по сравнению с растениями, произрастающими в других направлениях. На подъем и пути перемещения загрязняющих веществ в результате эмиссии влияют скорость и направление ветра, высота труб предприятия, температура и состав газовой смеси, рельеф местности, характер и видовой состав растительности, почвенный покров [5]. В стеблях растений, произрастающих по линии преобладающего направления ветров, накапливается большее количество Zn, Cr и Pb, медианное содержание которых составляет 31, 17 и 6 мг/кг. В генеративной части также наблюдается большее накопление ТМ в растениях на площадках, наиболее близко расположенных к ГРЭС в северо-западном направлении. При этом медианная концентрация Zn, Cr и Pb составляет 42, 12 и 9 мг/ кг соответственно (рис. 4).
Рис. 4. Содержание тяжелых металлов в корнях, стеблях и соцветиях растений, сгруппированных по произрастанию на двух участках с разной техногенной нагрузкой: возле электростанции, в направлении СЗ и СЗЗ от ГРЭС. Буквы указывают на значимые различия, полученные при помощи Tukey honest significant difference for unequal N при р < 0.05.
Медианное значение содержания Pb в генеративных органах растений превышает ПДК в 1.5 раза. Наблюдается превышение МДУ медианой концентрации Pb и Cd в 1.1–2.1 раза для вегетативных и генеративных органов растений, произрастающих по линии преобладающего ветра. Величина МДУ по медианному содержанию Cr в стеблях и соцветиях превышена в 23–35 раз у растений, отобранных в СЗ и СЗЗ направлении от ГРЭС и в 15–21 раз – у растений, отобранных вокруг предприятия. При этом среди всех рассматриваемых видов наибольшие превышения МДУ по Pb и Cd (до 3.5 и 6 раз соответственно) установлены для тысячелистника и пижмы, по Ni (до 3 раз) для тысячелистника и полыни, а по Cr (до 86 раз) – для полыни. Содержание Pb в надземных органах изучаемых видов растений превысило ПДК для лекарственного сырья в 1.3–4.8 раза для полыни и тысячелистника, для цикория и пижмы отмечается превышение ПДК по Pb в 2 и 3 раза и Cd в 2 и 3.5 раза соответственно. Следует отметить, что для всех растений наблюдается превышение фоновых концентраций ТМ, составляющее для большинства элементов 1.5–4.5 раза, однако для Pb и Cd превышение может достигать 15 и 26 раз соответственно.
В условиях техногенной нагрузки выявлено увеличение аккумуляции ТМ вместе с ростом интенсивности транслокации подвижных форм металлов из почвы в корни и последующим их перемещением к генеративным органам. С использованием коэффициента корреляции Спирмена (R) показано, что содержание ТМ в корнях растений зависит от содержания их подвижных форм в почве, накопление в стеблях – от их содержания в корнях, накопление в соцветиях – от их содержания в стеблях (табл. 3).
Таблица 3. Взаимосвязь накопления металлов в корнях от содержания их подвижных форм в почве, накопления металлов в стеблях от их содержания в корнях и накопления металлов в соцветиях от их содержания в стеблях растений, определенное на основании расчета коэффициента корреляции Спирмена (R) при р < 0.05
Часть растения | R | ||||||
Mn | Zn | Ni | Pb | Cu | Cd | Cr | |
Почва | |||||||
Корни | 0.10 | 0.41 | 0.03 | 0.18 | 0.43 | 0.33 | 0.26 |
Корни | |||||||
Стебли | 0.35 | 0.27 | 0.72 | 0.42 | 0.49 | 0.38 | 0.60 |
Стебли | |||||||
Соцветия | 0.82 | 0.75 | 0.89 | 0.86 | 0.82 | 0.67 | 0.89 |
Примечание. Жирным отмечены значимые корреляции при р < 0.05.
Транслокация ТМ в органах растений. По данным многофакторного дисперсионного анализа установлено, что интенсивность миграции ТМ в системе почва–корень–стебель–соцветие существенно зависит от вида растения и типа почвы, а также от вида металла. Установлено, что КН, АК1 и АК2 практически всех ТМ в различных видах лекарственных растений импактной зоны ГРЭС выше единицы, что указывает на активную миграцию поллютантов в системе почва–корень–стебель–соцветие, которая, вероятно, обусловлена высоким содержанием металлов в почве, а также дополнительным фолиарным поступлением ТМ (рис. 5). С другой стороны, уменьшение коэффициентов распределения ТМ в органах растений в ряду КН > АК1 > АК2 свидетельствует о наличии биологических барьеров на границе раздела корень–стебель и стебель–соцветие (табл. S2).
Рис. 5. Коэффициенты перераспределения тяжелых металлов в системе почва–корень (КН), корень–стебель (АК1) и стебель–соцветие (АК2). Буквы указывают на значимые различия, полученные при помощи Tukey honest significant difference for unequal N при р < 0.05.
Характер распределения элементов в изучаемых растениях подтверждает способность растений к селективному поглощению ТМ из атмосферы в зависимости от их видовых особенностей (характер архитектоники кроны и положения в ней листьев, размер, опушенность и форма листовых пластинок, степень покрытия листьев воском), так и от степени загрязнения и условий окружающей среды [6, 9, 24, 26]. Способность корней поглощать из почвы ТМ зависит как от морфолого-биологических особенностей растения, так и от металла и типа почвы [11, 15]. В проведенных исследованиях отмечено, что основными морфологическими факторами накопления ТМ являются суммарная площадь листовых пластин и опушенность растения. Так, одни из самых высоких концентраций элементов в надземной части отмечаются в полыни горькой, являющейся самым крупным из изучаемых видов и обладающим наибольшей площадью поверхности листьев. В то же время другим видом, активно накапливающим поллютанты был тысячелистник щетинистый, имеющий наименьшие размеры по сравнению с другими видами, но вместе с тем самую высокую степень опушенности листьев и стебля, способствующую захвату частиц ТМ из воздуха.
Величины показателей Bx и КН увеличивались при отдалении от источника выбросов НчГРЭС, что связано со снижением суммарной токсической нагрузки наряду с преимущественным поглощением растениями ТМ из почвы. Растения, произрастающие на близлежащих к НчГРЭС площадках мониторинга, имеют величины индекса суммарной токсической нагрузки (Sn) в 2–3 раза выше, чем на отдаленных площадках (табл. S3). Исследуемые ТМ на наиболее загрязненных площадках 4, 5, 6 и 13 НчГРЭС относятся к группе биологического захвата, при этом Mn и Ni являются элементами слабого захвата, а Zn, Cd, Pb, Cu и Cr – элементами среднего захвата. В зависимости от Bx, сильнее всего лекарственные растения поглощают Zn и Cu, а менее – Mn.
В условиях загрязнения выявлены изменения в характере распределения некоторых ТМ в лекарственных растениях, произрастающих на территории импактной зоны НчГРЭС по сравнению с фоновыми территориями. На наиболее загрязненных участках у всех растений по отношению к Ni, Pb, Zn и Cu сильно выражен барьер на границе корень–стебель. По мере удаления от источника загрязнения по линии генерального направления у всех видов АК1 уменьшается, что говорит о поступлении ТМ фолиарным путем.
Выявлены видовые особенности транслокации ТМ в растениях. По величине КН наиболее интенсивно из почвы в корень происходит миграция Mn (КН до 4.5) у тысячелистника, Zn (КН до 21) – у тысячелистника и цикория, Cu (КН до 34) – у полыни в сравнении с другими рассматриваемыми видами.
На основании результатов расчета АК1 показано, что из корня в стебель интенсивность миграции Zn значительно выше у полыни (АК1 до 1.9), Cr – у пижмы и полыни (АК1 до 1.2), Cu – у цикория и полыни (АК1 до 1.5), Ni – у полыни (АК1 до 1.2) и Cd – у пижмы (АК1 до 1.0) относительно других видов лекарственных растений. При это наблюдается значительное уменьшение интенсивности миграции Mn (АК1 до 1.3) у тысячелистника по сравнению с цикорием, пижмой и полынью.
Величина АК2 указывает на то, что интенсивность миграции Pb, Сu и Cd находится на одном уровне у рассматриваемых растений различных видов. Наблюдается значительное снижение интенсивности транслокации Mn (АК2 до 2.0) от стебля к соцветию для цикория и увеличение интенсивности миграции Zn в пижме (АК2 до 2.3), Cr в тысячелистнике (АК2 до 1.8) и Ni в цикории (АК2 до 5.7).
ЗАКЛЮЧЕНИЕ
Прослеживается значительно более высокая аккумуляция ТМ почвами и растениями в пределах 3 км зоны в северо-западном направлении от источника выбросов, где показатели суммарной токсической нагрузки (Sn) в 2–3 раза выше, чем на других площадках. Наблюдается превышение ОДК валового содержания Cr и Ni в 1.1 раза, Cd – в 1.4 раза в почвах импактной зоны. Относительно фонового участка на расстоянии до 5 км от электростанции фиксируется превышение валового содержания и подвижных форм Cd и Pb в 19–59 раз. Превышение от 2 до 10 раз фонового уровня подвижных форм ТМ отмечается в почвах, расположенных до 15 км в северном и северо-западном направлении, а также до 3 км вокруг предприятия. Выявлена тесная взаимосвязь между содержанием ТМ в растениях и их подвижных форм в почвах импактной и фоновой территорий на основании коэффициента корреляции Спирмена (R = 0.4–0.9).
Установлено загрязнение лекарственных растений тысячелистника щетинистого (Achillea setacea Waldst & Kit), полыни горькой (Artemisia absintium L.), цикория обыкновенного (Cichorium intybus L.) и пижмы обыкновенной (Tanacetum vulgare L.) на территории импактной зоны НчГРЭС такими ТМ как Pb, Cd, Ni и Cr. Наиболее высокое содержание ТМ, превышающее МДУ по Pb и Cd, установлено для тысячелистника и пижмы, по Ni для тысячелистника и полыни, а по Cr – для полыни. Содержание Pb в надземных органах изучаемых видов растений превысило ПДК для лекарственного сырья в 5 раз для полыни и тысячелистника, для цикория и пижмы отмечается превышение ПДК по Pb в 2 и 3 раза и Cd в 2 и 4 раза соответственно. Такие виды, как полынь горькая, цикорий обыкновенный и пижма обыкновенная аккумулируют металлы преимущественно в надземной части, тысячелистник щетинистый – в корнях Наибольшее накопление Pb, Zn, Cr и Cu в надземной части отмечается в растениях полыни горькой, Mn, Ni – в тысячелистнике щетинистом, Cd – в цикории обыкновенном. С применением таких показателей как коээфициент накопления (КН) и акропетальный коэффициент (АК1 и АК2) выявлено наличие слабой миграции ТМ из почвы в различные органы растений, вызванной невысоким уровнем загрязнения. Однако наличие загрязнения надземных органов лекарственных растений ТМ при низких значениях КН элементов из почвы указывает на вклад фолиарного поступления поллютантов как дополнительного фактора техногенной нагрузки.
ФИНАНСИРОВАНИЕ РАБОТЫ
Исследование выполнено при поддержке гранта Российского научного фонда (проект № 22-77-10097) в Южном федеральном университете.
СОБЛЮДЕНИЕ ЭТИЧЕСКИХ СТАНДАРТОВ
В данной работе отсутствуют исследования человека или животных.
КОНФЛИКТ ИНТЕРЕСОВ
Авторы заявляют, что у них нет конфликта интересов.
ДОПОЛНИТЕЛЬНАЯ ИНФОРМАЦИЯ
Онлайн-версия содержит дополнительные материалы, доступные по адресу https://doi.org/10.31857/S0032180X24100116
About the authors
V. A. Chaplygin
Southern Federal University
Author for correspondence.
Email: chaplygin@sfedu.ru
Russian Federation, Rostov-on-Don, 344006
M. V. Burachevskaya
Southern Federal University
Email: chaplygin@sfedu.ru
Russian Federation, Rostov-on-Don, 344006
T. M. Minkina
Southern Federal University
Email: haplygin@sfedu.ru
Russian Federation, Rostov-on-Don, 344006
S. S. Mandzhieva
Southern Federal University
Email: chaplygin@sfedu.ru
Russian Federation, Rostov-on-Don, 344006
T. I. Siromlya
Institute of Soil Science and Agrochemistry SB RAS
Email: chaplygin@sfedu.ru
Russian Federation, Novosibirsk, 630099
N. P. Chernikova
Southern Federal University
Email: chaplygin@sfedu.ru
Russian Federation, Rostov-on-Don, 344006
T. S. Dudnikova
Southern Federal University
Email: chaplygin@sfedu.ru
Russian Federation, Rostov-on-Don, 344006
References
- Безель В.С., Жуйкова Т.В. Химическое загрязнение среды: вынос химических элементов надземной фитомассоф травянистой растительности // Экология. 2007. № 4. С. 259–267.
- Безель В.С., Жуйкова Т.В., Позолотина В.Н. Структура ценопопуляций одуванчика и особенности накопления тяжелых металлов // Российский экологический журнал. 1998. 29 (5). С. 331–337.
- Брукс Р.Р. Биологические методы поисков полезных ископаемых. М., 1986. 312 с.
- Вадюнина А.Ф., Корчагина З.А. Методы исследования физических свойств почв и грунтов. М.: Агропромиздат, 1986. 416 с.
- Важенин И.Г. Методические рекомендации по обследованию и картографированию почвенного покрова по уровню загрязненности промышленными выбросами. М.: Почв. ин-т им В.В. Докучаева, 1987. 25 с.
- Ветчинникова Л.В., Кузнецова Т.Ю., Титов А.Ф. Особенности накопления тяжелых металлов в листьях древесных растений на урбанизированных территориях в условиях севера // Тр. Карельского НЦ РАН. 2013. № 3. С. 68–73.
- Воробьева Л.А. Теория и практика химического анализа почв. М.: ГЕОС, 2006. 400 с.
- Временные максимально допустимые уровни (МДУ) некоторых химических элементов госсипола в кормах сельскохозяйственных животных. Утвержден Главным Управлением ветеринарии министерства сельского хозяйства РФ, 1991.
- Галина А.Т. Тяжелые металлы как фактор загрязнения окружающей среды (обзор литературы) // Астраханский вестник экологического образования. 2013. № 1. С. 182–192.
- Государственная фармакопея Российской Федерации. М.: ФЭМБ, 2018. T. IV. 719 с.
- Григорьева Л.М., Гареева А.М., Ваганов М.Д. Изучение загрязнения лекарственных растений тяжелыми металлами в Тюменской области // Международный научно-исследовательский журнал. 2021. № 8(110). С. 147–152. https://doi.org/10.23670/IRJ.2021.110.8.024
- Добровольский В.В. Основы биогеохимии. М.: Академия, 2003. 400 с.
- Дьякова Н.А. Экологическая оценка лекарственного растительного сырья Воронежской области на примере цветков пижмы обыкновенной // Вестник Нижневартовского гос. ун-та. 2020. № 1. С. 19–26. https://doi.org/10.36906/2311-4444/20-1/04
- Дьякова Н.А., Мындра А.А., Сливкин А.И. Безопасность и эффективность лекарственного растительного сырья одуванчика лекарственного, собранного в районах, испытывающих антропогенную нагрузку // Разработка и регистрация лекарственных средств. 2018. № 2. С. 120–123.
- Елагина Д.С., Архипова Н.С., Воробьев В.Н. Комплексное исследование металлоустойчивости Amaranthus retroflexus L. // Известия Горского гос. аграрного ун-та. 2019. Т. 56. № 1. С. 154–162.
- Карачевская Е.В. Развитие лекарственного растениеводства в контексте мировой глобализации // Проблемы экономики: сборник научных трудов. 2021. № 1. С. 33–43.
- Методические указания по определению тяжелых металлов в почвах сельхозугодий и продукции растениеводства. М.: ЦИНАО, 1992. 61 с.
- Минкина Т.М., Манджиева С.С., Чаплыгин В.А., Мотузова Г.В., Бурачевская М.В., Бауэр Т.В., Сушкова С.Н., Невидомская Д.Г. Влияние аэротехногенных выбросов на содержание тяжелых металлов в травянистых растениях нижнего Дона // Почвоведение. 2017. № 6. С. 759–768. https://doi.org/10.7868/S0032180X17060077
- Минкина Т.М., Мотузова Г.В., Манджиева С.С., Назаренко О.Г., Бурачевская М.Ю., Антоненко Е.М. Фракционно-групповой состав соединений Mn, Cr, Ni и Cd в почвах техногенных ландшафтов (район Новочеркасской ГРЭС) // Почвоведение. 2013. № 4. С. 414–425. https://doi.org/10.7868/S0032180X13040102
- Оленина Н.Г., Михеева Н.С., Крутикова Н.М. Особенности экспертизы «польза/риск» лекарственных растительных препаратов: анализ регистрационных досье // Ведомости Научного центра экспертизы средств медицинского применения. 2018. Т. 8. № 2. С. 84–91. https://doi.org/10.30895/1991-2919-2018-8-2-84-91
- Памятники природы Ростовской области. Дата обращения: 14 февраля 2017. Архивировано 14 февраля 2017 г. https://donland.ru/activity/855/
- Пинский Д.Л., Минкина Т.М., Бауэр Т.В., Невидомская Д.Г., Шуваева В.А., Манджиева С.С., Цицуашвили В.С., Бурачевская М.В., Чаплыгин В.А., Барахов А.В., Велигжанин А.А., Светогоров Р.Д., Храмов Е.В., Иовчева А.Д. Идентификация соединений тяжелых металлов в техногенно преобразованных почвах методами последовательного фракционирования, XAFS-спектроскопии и XRD порошковой дифракции // Почвоведение. 2022. № 5. С. 600–614. https://doi.org/10.31857/S0032180X22050070
- Сиромля Т.И., Загурская Ю.В., Баяндина И.И. Элементный состав экстрактов из травы Hypericum perforatum L., выращенной в регионах с высокой техногенной нагрузкой // Вестник ОГУ. 2015. № 10. С. 77–81.
- Титов А.Ф., Таланова В.В., Казнина Н.М. Физиологические основы устойчивости растений к тяжелым металлам. Петрозаводск: КарНЦ РАН, 2011. 77 с.
- Шаймухаметов М.Ш. К методике определения поглощенных Са и Мg в черноземных почвах // Почвоведение. 1993. № 12. С. 105–111.
- Шергина О.В., Михайлова Т.А. Фитоэкстракция тяжелых металлов травянистыми растениями на техногенных почвах // Химия растительного сырья. 2022. № 4. С. 311–320.
- Ших Е.В., Булаев В.М., Демидова О.А. Оценка безопасности лекарственных растений // Безопасность и риск фармакотерапии. 2015. № 2. С. 23–29.
- Экологический вестник Дона: о состоянии окружающей среды и природных ресурсов Ростовской области в 2022 г. Ростов-на-Дону, 2023. 373 с.
- Adesuyi A.A., Njoku K.L., Akinola M.O. Assessment of heavy metals pollution in soils and vegetation around selected industries in Lagos State, Nigeria // J. Geosci. Environ. Prot. 2015. V. 3(07). P. 11.
- Bothe H. Plants in heavy metal soils // Detoxification of heavy metals. Berlin: Springer Publisher, 2011. P. 35–57.
- Burachevskaya M., Minkina T., Bauer T., Mandzhieva S., Gulser C., Kizilkaya R., Sushkova S., Rajput V. Assessment of extraction methods for studying the fractional composition of Cu and Zn in uncontaminated and contaminated soils // Eurasian J. Soil Sci. 2020. V. 9(3). P. 231–241. https://doi.org/10.18393/ejss.734601
- Burachevskaya M., Minkina T., Mandzhieva S., Bauer T., Chaplygin V., Zamulina I., Sushkova S., Fedorenko A., Ghazaryan K., Movsesyan H., Makhinya D. Study of copper, lead, and zinc speciation in the Haplic Chernozem surrounding coal-fired power plant // Appl. Geochem. 2019. V. 104. P. 102–108. https://doi.org/10.1016/j.apgeochem.2019.03.016
- Chaplygin V., Mandzhieva S., Minkina T., Sushkova S., Kizilkaya R., Gülser C., Chernikova N. Sustainability of agricultural and wild cereals to aerotechnogenic exposure // Environ. Geochem. Health. 2021. V. 43(4). P. 1427–1439. https://doi.org/10.1007/s10653-019-00411-6
- Chaplygin V., Minkina T., Mandzhieva S., Burachevskaya M., Sushkova S., Poluektov E., Kumacheva V. The effect of technogenic emissions on the heavy metal’s accumulation by herbaceous plants // Environ. Monit. Assess. 2018. V. 190(3). P. 1–18. https://doi.org/10.1007/s10661-018-6489-6
- Cristaldi A., Conti G.O., Jho E.H., Zuccarello P., Grasso A., Copat C., Ferrante M. Phytoremediation of contaminated soils by heavy metals and PAHs. A brief review // Environ. Technol. Innovation. 2017. V. 8. P. 309–326. https://doi.org/10.1016/j.eti.2017.08.002
- Dumanoglu Y., Gaga E.O., Gungormus E., Sofuoglu S.C., Odabasi M. Spatial and seasonal variations, sources, air-soil exchange, and carcinogenic risk assessment for PAHs and PCBs in air and soil of Kutahya, Turkey, the province of thermal power plants // Sci. Total Environ. 2017. V. 580. P. 920–935. https://doi.org/10.1016/j.scitotenv.2016.12.040
- Eid E.M., Shaltout K.H. Monthly variations of trace elements accumulation and distribution in above- and below-ground biomass of Phragmites australis (Cav.) Trin. Ex Steudel in Lake Burullus (Egypt): a biomonitoring application // Ecol. Eng. 2014. V. 73. P. 17–25.
- Eid E.M., Shaltout K.H., Al-Sodany Y.M., Haroun S.A., Galal T.M., Ayed H., Khedher K.M., Jensen K. Common reed (Phragmites australis (Cav.) Trin. ex Steudel) as a candidate for predicting heavy metal contamination in Lake Burullus, Egypt: a biomonitoring approach // Ecol. Eng. 2020. V. 148. P. 105787. https://doi.org/10.1016/j.ecoleng.2020.105787
- Favas P.J.C., Pratas J., Prasad M.N.V. Accumulation of arsenic by aquatic plants in large-scale field conditions: Opportunities for phytoremediation and bioindication // Sci. Total Environ. 2012. V. 433. P. 390–397.
- Ghazaryan K.A., Movsesyan H.S., Minkina T.M., Sushkova S.N., Rajput V.D. The identification of phytoextraction potential of Melilotus officinalis and Amaranthus retroflexus growing on copper- and molybdenum-polluted soils // Environ. Geochem. Health. 2019. V. 43. P. 1327–1335. https://doi.org/10.1007/s10653-019-00338-y
- Juárez-Santillán L.F., Lucho-Constantino C.A., Vázquez-Rodríguez G.A., Cerón-Ubilla N.M., Beltrán-Hernández R.I. Manganese accumulation in plants of the mining zone of Hidalgo, Mexico // Bioresour. Technol. 2010. V. 101(15). P. 5836–5841. https://doi.org/10.1016/j.biortech.2010.03.020
- Kabata-Pendias A., Pendias H. Trace Elements in Soils and Plants. Boca Raton: CRC Press, 2010. 548 p. https://doi.org/10.1201/b10158
- Khan M.J., Jones D.L. Effect of composts, lime and diammonium phosphate on the phytoavailability of heavy metals in a copper mine tailing soil // Pedosphere. 2009. V. 19(5). P. 631–641. https://doi.org/10.1016/S1002-0160(09)60158- 2
- Linnik V.G., Minkina T.M., Bauer T.V., Saveliev A.A., Mandzhieva S.S. Geochemical assessment and spatial analysis of heavy metals pollution around coal-fired power station // Environ. Geochem. Health. 2019. V. 42(12). P. 4087–4100. https://doi.org/10.1007/s10653-019-00361-z
- Minkina T.M., Motuzova G.V., Nazarenko O.G., Kryshchenko V.S., Mandzhieva S.S. Combined Approach for Fractioning Metal Compounds in Soils // Eurasian Soil Sci. 2008. V. 41 (11). P. 1171–1179.
- Phillips D.P., Human L.R.D., Adams J.B. Wetland plants as indicators of heavy metal contamination // Mar. Pollut. Bull. 2015. V. 92. 227–232. https://doi.org/10.1016/j.marpolbul.2014.12.038
- Rajput V., Minkina T., Semenkov I., Klink G., Tarigholizadeh S., Sushkova S. Phylogenetic analysis of hyperaccumulator plant species for heavy metals and polycyclic aromatic hydrocarbons // Environ. Geochem. Health. 2021. V. 43(4). P. 1629–1654. https://doi.org/10.1007/s10653-020-00527-0
- Sazykin I.S., Minkina T.M., Grigoryeva T.V., Khmelevtsova L.E., Sushkova S.N., Laikov A.V., Sazykina M.A. PAHs distribution and cultivable PAHs degraders’ biodiversity in soils and surface sediments of the impact zone of the Novocherkassk thermal electric power plant (Russia) // Environ. Earth Sci. 2019. V. 78(19). P. 1–13.
- Shtangeeva I., Viksna A., Grebnevs V. Geochemical (soil) and phylogenetic (plant taxa) factors affecting accumulation of macro- and trace elements in three natural plant species // Environ. Geochem. Health. 2020. V. 42 (1). P. 209–219. https://doi.org/10.1007/s10653-019-00337-z
- Su C. A review on heavy metal contamination in the soil worldwide: Situation, impact and remediation techniques // Environ. Skeptics and Critics. 2014. V. 3(2). P. 24.
- Sun L., Liao X., Yan X., Zhu G., Ma D. Evaluation of heavy metal and polycyclic aromatic hydrocarbons accumulation in plants from typical industrial sites: potential candidate in phytoremediation for co-contamination // Environ. Sci. Pollut. Res. 2014. V. 21(21). P. 12494–12504. https://doi.org/10.1007/s11356-737014-3171-6
- Tefera M., Gebreyohannes F., Saraswathi M. Heavy metal analysis in the soils of in and around Robe town, Bale zone, SouthEastern, Ethiopia // Eurasian J. Soil Sci. 2018. V. 7(3). P. 251–256. https://doi.org/10.18393/ejss. 430116
- Verma C., Madan S., Hussain A. Heavy metal contamination of groundwater due to fly ash disposal of coal-fired thermal power plant, Parichha, Jhansi, India // Cogent Eng. 2016. V. 3(1). 1179243
- Wang J., Bao H., Zhang H., Li J., Hong H., Wu, F. Effects of cuticular wax content and specific leaf area on accumulation and partition of PAHs in different tissues of wheat leaf // Environ. Sci. Pollut. Res. 2020. V. 27(15). P. 18793. https://doi.org/10.1007/s11356-020-08409-9
- Yakovleva E.V., Gabov D.N., Beznosikov V.A., Kondratenok B.M. Accumulation of polycyclic aromatic hydrocarbons in soils and plants of the tundra zone under the impact of coal-mining industry // Eurasian Soil Sci. 2016. V. 49(11). P. 1319–1328. https://doi.org/10.1016/j.ecoleng.2014.09.006
- Zhao Z., Nan Z., Wang Z., Yang Y., Shimizu M. Interaction between Cd and Pb in the soil-plant system: a case study of an arid oasis soil-cole system // J. Arid Land. 2014. V. 6(1). P. 59–68. https://doi.org/10.1007/s40333-013-0194-7
Supplementary files







