Respiration activity microbial biomass in the main types of mountain soils along the elevation gradient of the Central Caucasus
- Authors: Tembotov R.K.1,2
-
Affiliations:
- Tembotov Institute of Ecology of Mountain Territories, Russian Academy of Sciences
- Saint-Petersburg State University
- Issue: No 10 (2024)
- Pages: 1400-1413
- Section: SOIL BIOLOGY
- URL: https://ogarev-online.ru/0032-180X/article/view/280981
- DOI: https://doi.org/10.31857/S0032180X24100093
- EDN: https://elibrary.ru/JXGEKI
- ID: 280981
Cite item
Full Text
Abstract
The paper presents the results of studies aimed at assessing the variability of indicators of the respiratory activity of soil microbiota (rate of basal and substrate-induced respiration), as well as the carbon content of organic matter and microbial biomass in soils, formed and functioning in natural (slightly damaged) biogeocenoses, along altitudinal gradient, from the foothills to the high mountain regions of the Central Caucasus (500–3500 m above sea level, elbrusvariant of altitudinal zonality, Kabardino-Balkaria). It is shown that with an increase in absolute height, from mountain chernozems to mountain-meadow subalpine soils, the average values of all studied parameters in surface horizons (0–10 and 0–20 cm, depending on soil type) increase significantly, and at maximum altitude, in mountain-meadow alpine soils, they significantly decrease. In addition, it was established how the parameters under consideration change in soils of various types located within the same altitudinal zone. It was revealed that the compared pairs of soil types differ statistically significantly in most of the studied indicators (t > 2.5; p < 0.02). The data obtained indicate that the influence of the altitudinal gradient is largely refracted by additional factors. To identify the degree of influence of the main factors characterizing the relief (height above sea level; aspect; slope) and climate (19 bioclimatic characteristics) on the formation of the studied parameters, a multi-regression analysis was carried out. He showed that the average cumulative contribution of all 22 factors to the variation of the studied indicators is: in mountain chernozems 40%; in mountain meadow chernozem-like soils 66%; in mountain-meadow subalpine steppe soils 31%; in mountain-meadow subalpine 67%; in mountain meadow alpine soils 67%. Thus, both for soils located along an altitudinal gradient and those functioning within the same altitudinal zone, the influence of the considered factors can differ significantly, and relief and climate play an important, but not the only role, in shaping the properties of mountain soils in the Central Caucasus.
Full Text
ВВЕДЕНИЕ
Почвенное дыхание (эмиссия CO2 почвой, почвенный газообмен) является одним из основных глобальных циклов углерода в биосфере [24, 29]. Интенсивность выделения почвой углекислоты может служить инструментом для анализа активности почвенных микробоценозов и позволяет охарактеризовать эту важнейшую сторону биологического круговорота [2, 17].
Микробное продуцирование CO2 почвой, определенное в лабораторных, искусственно созданных оптимальных условиях, следует рассматривать как потенциальную респираторную активность почвенной микробной биомассы. Полученные показатели скорости так называемого базального (фонового, БД) и субстрат-индуцированного дыхания (СИД) являются индикаторами физиологической активности гетеротрофных микроорганизмов и несут новую информацию при исследовании эколого-функциональных связей почвенного дыхания различных почв с факторами среды. Показатель скорости СИД используют для определения содержания в почве углерода микробной биомассы (Смик), количественного параметра, характеризующего состояние и физиологическую активность почвенных микробоценозов [3, 47, 49, 52, 53].
Актуальность такого рода исследований подтверждается целым рядом работ, посвященных рассмотрению вопросов, связанных с состоянием почвенной микробиоты в условиях горных экосистем, многообразие и специфика процессов почвообразования, в которых определяется высотным градиентом и сложным рельефом. Так, исследование биологических механизмов накопления углерода и азота микробной биомассы в почвах горных экосистем по всему Земному шару проведено в аспекте прогнозирования экологических последствий глобального потепления в различных климатических поясах [51].
Пространственную изменчивость содержания Смик и взаимосвязь этого показателя с эдафическими, растительными и климатическими факторами изучали для высокогорных почв Цинхай-Тибетского нагорья [59].
В результате работ, проведенных в Австрийских и Итальянских Альпах, получены данные о биохимической и микробиологической активности, составе и структуре микробных сообществ в зависимости от высотного градиента, влияния экспозиции склонов, характера растительных сообществ, содержании органического углерода, кислотности почвы и других факторов [48, 58, 61].
Не менее интересны результаты исследования горных почв Кавказа, природные условия которого сопоставимы с Альпами [1]. Работы авторов, ведущих свои исследования на Западном [23, 36, 54, 56] и Восточном Кавказе [7, 31], свидетельствуют, что изучение физиологической активности почвенной микробной биомассы в горных почвах позволяет проследить закономерности функционирования микробных сообществ, как в контексте изменений климата, так и в зависимости от особенностей растительного сообщества и комплекса эдафических и топографических факторов.
Для почв Центрального Кавказа, где условия почвообразования значительно отличаются от Западного и Восточного Кавказа [9], этот аспект пока малоизучен. Благодаря ряду работ, посвященных горным почвам, собран обширный материал, описывающий особенности структуры почвенного покрова, морфогенетические и физико-химические свойства почв центральной части Кавказа [11, 20, 25, 28, 44]. Для характеристики биологических аспектов почвенных свойств Центрального Кавказа авторы [10, 13, 50] с 2018 г. проводят систематические исследования почвенного покрова предгорных и горных территорий Центрального Кавказа (в границах Кабардино-Балкарии). Представленные материалы являются частью цикла научных исследований, направленных на изучение биологической активности почв горных территорий Кавказа.
Цель работы – установить и проанализировать изменчивость показателей респираторной активности почвенной микробиоты (скорость БД, СИД) и содержания углерода органического вещества и микробной биомассы (Сорг и Смик) в различных типах горных почв, расположенных вдоль высотного градиента от предгорных до высокогорных районов Центрального Кавказа (500–3500 м над ур. м., эльбрусский вариант поясности, Кабардино-Балкария).
ОБЪЕКТЫ И МЕТОДЫ
Разностороннее изучение природы гор Кавказа показало, что в различных областях данного региона расположены территории, отличающиеся структурой высотной поясности. Различные варианты поясности формируются в зависимости от положения горной системы, близости ее к крупным источникам влаги, направления господствующих воздушных течений и орографических особенностей хребтов и их отрогов. Для каждого варианта поясности сложился определенный порядок чередования высотных поясов, их гипсометрические пределы, а также состав и ритм жизни, как целых природных комплексов, так и отдельных биогеоценозов и их компонентов [37, 40].
В соответствии с типизацией, разработанной автором [37, 39, 40], район исследования охватывает территорию Центрального Кавказа (в пределах Кабардино-Балкарии), расположенную в границах эльбрусского варианта поясности (рис. 1). Северная граница эльбрусского варианта поясности проходит по линии Тебердино-Даутского водораздела – западный край Ставропольской возвышенности, а юго-восточная – по линии Дыхтау–Каракая–нижнее течение р. Баксан.
Рис. 1. Район исследования и граница эльбрусского варианта поясности (Центральный Кавказ, в пределах Кабардино-Балкарии).
Высотно-поясная структура эльбрусского варианта поясности обусловлена сухим и умеренно континентальным климатом, который формируется благодаря свободной циркуляции атмосферного воздуха из Прикаспия в высокогорье и обратно, что является причиной отсутствия сплошного пояса лесов и способствует широкому распространению степных и луговых биогеоценозов. Вследствие чего, от границы степной зоны (140–400 м над ур. м.) начинается пояс луговых степей, занимающий предгорную полосу (от 400–500 до 700–800 м над ур. м.) и остепненных лугов, занимающий среднегорье (от 600–700 до 1500 м над ур. м.). Далее следуют субальпийский пояс, который доминирует в эльбрусском варианте над всеми другими поясами, занимая большую территорию Скалистого, Бокового и Главного хребтов (в пределах от 1400–1500 до 2700 м над ур. м.) и альпийский пояс, расположенный на Главном и частично Боковом хребтах (от 2300 до 3500 м над ур. м.).
Объект исследования – основные типы горных почв, наиболее характерные для каждого из перечисленных высотных поясов, сформированных и функционирующих в естественных (малоповрежденных) биогеоценозах.
Горные черноземы и горно-луговые черноземовидные почвы распространены в поясе луговых степей и остепненных лугов. Луговые степи приурочены к повышенным элементам рельефа и похожи по общему облику, составу растительности и продуктивности травяных сообществ на остепненные луга, но отличаются от последних по набору растений-доминантов и структуре почвенного покрова [42].
Горные черноземы (обыкновенные, типичные, выщелоченные) по мировой классификационной почвенной системе [62] относятся к Luvic Chernozems (Pachic). Они залегают на платообразных возвышенностях, обладают полноразвитым профилем (Аd–А–В–ВС–С), и мощностью часто более 150 см. На склонах различной экспозиции горные черноземы обычно имеют менее мощный, по сравнению с равнинными черноземами профиль (60–70 см). Почвообразующими породами для них являются продукты выветривания карбонатных плотных осадочных пород [8, 32]. Своеобразие горных черноземов и их отличие от равнинных аналогов обусловливают специфические черты горного почвообразования – литогенность, скелетность, подверженность эрозионным процессам, горизонтальная миграция почвенных растворов, элювиальность профиля, нередко резкий переход гумусового горизонта – к нижележащим [8].
Горно-луговые черноземовидные почвы (типичные, выщелоченные) по мировой классификационной почвенной системе [62] относятся к Mollic Leptosols (Eutric). Эти почвы расположены на склонах различной крутизны на границе между поясом луговых степей и субальпийским поясом, а также в комплексах с горными черноземами. В ареале распространения горных черноземов они чаще всего занимают отрицательные формы рельефа и функционируют в более влажных условиях промывного и периодически промывного водного режима. Глубокое воздействие на процессы почвообразования описываемых почв, оказывает карбонатность материнских пород: элювио-делювий известняков и известковистых песчаников [18, 21, 32, 38]. Строение профиля горно-луговых черноземовидных почв сходно с горными черноземами (Аd–А–В–ВС–С), но мощность профиля меньше (30–60 см), а каменистость выше, чем у горных черноземов.
Горные лугово-степные субальпийские почвы выделяются в качестве самостоятельного типа в соответствии с классификацией [22]. В мировой классификационной почвенной системе [62] они рассматриваются как Mollic Leptosols (Eutric). Эти почвы встречаются на ксероморфных участках, среди горно-луговых почв, под остепненными лугами [26]. Почвообразующей породой для них служит некарбонатный элювио-делювий коренных пород. Почвенный профиль (Аd–А–В–(ВС нередко отсутствует)–С) мощностью от 20–25 до 40–50 см, обычно хорошо задернован, слабо дифференцирован на горизонты.
Горно-луговые субальпийские почвы наиболее распространены под луговыми сообществами субальпийского пояса. В мировой классификационной почвенной системе [62] они рассматриваются как Leptic Umbrisols. Почвообразующие породы представлены слабоненасыщенными сиаллитными продуктами выветривания некарбонатных плотных осадочных и массивно-кристаллических пород [32, 44]. Профиль (Аd–А–В–С) слабо дифференцирован, переходы между горизонтами постепенные, выделяется дерновый горизонт мощностью 5–12 см.
Горно-луговые альпийские почвы исследовали под луговыми сообществами альпийского пояса (2760–3034 м над ур. м.). В мировой классификационной почвенной системе [62] рассматриваются как Leptic Umbrisols. Почвы занимают верхние части хребтов и склоны различной экспозиции. Почвообразующими породами для них являются продукты выветривания плотных осадочных пород (эллювио-делювий глинистых и кристаллических сланцев [32]). Горные породы нередко выходят на дневную поверхность и занимают от 10 до 50% площади контура. Почвенный профиль (Аd–А–В–С) слабо дифференцирован, переходы между горизонтами постепенные. Хорошо развит дерновый горизонт мощностью от 3–5 до 7–10 см.
Так как характер почвенного и растительного покровов в горах Кавказа подчинен общему закону вертикальной зональности, фоновым климатическим условием является абсолютная высота местности над уровнем моря. Наиболее характерные для каждого пояса климатические показатели, а также преобладающие типы почв и растительные сообщества приведены в табл. 1.
Таблица 1. Почвы, растительные сообщества, среднегодовая температура воздуха и количество осадков (ОС) в районе исследования Центрального Кавказа
Почвы | Растительные сообщества | Т, °С ОС, мм/год |
Пояс луговых степей от 400–500 до 700–800 м над ур. м. | ||
Горные черноземы Luvic Chernozems (Pachic) | Луговые степи: разнотравно-ковыльные; типчаковые; типчаково-полынные; низкоосоково-полынные | 10.5–13.3 580–600 |
Пояс остепненных лугов от 600–700 до 1500 м над ур.м. | ||
Горно-луговые черноземовидные Mollic Leptosols (Eutric) | Остепненные луга, горные луговые степи: разнотравно-бородачевые, разнотравно-костровые с Bromuscommutatus; луговоовсяницевые | 7.9–9.2 700–800 |
Субальпийский пояс от 1400–1500 до 2700 м над ур. м. | ||
Горные лугово-степные субальпийские Mollic Leptosols (Eutric) | Остепненные субальпийские луга: разнотравно-пестроовсяницевые; разнотравно-пестрокостровые | 3.3–5.9 309-520 |
Горно-луговые субальпийские Leptic Umbrisols | Мезофитные субальпийские луга: разнотравно-пестроовсяницевые; разнотравно-пестрокостровые; разнотравно-вейниковые; разнотравно-полевицевые | 2.2–3.3 800–900 |
Альпийский пояс от 2300 до 3500 м над ур.м. | ||
Горно-луговые альпийские Leptic Umbrisols | Альпийские луга: плотнодернинные разнотравные; разнотравно-злаковые; разнотравно-осоковые | 0...–3.0 1000–1500 |
Примечание. Климатические показатели приведены по данным [5, 14, 34, 64].
Полевые исследования горных почв проводили в период 2018–2023 гг. Морфогенетические исследования и отбор почвенных образцов осуществляли ежегодно в первой декаде июля (чтобы избежать сезонной динамики) по общепринятым в экологии и почвоведении методам [15]. Всего заложили 130 мониторинговых площадок площадью 400 м2, при этом выбирали естественные (минимально поврежденные) биогеоценозы, расположенные на пологих элементах рельефа, с типичными для каждого высотного пояса и типа (подтипа) почвы растительными сообществами.
Смешанные образцы почвы отбирали на каждой мониторинговой площадке методом “конверта”. Отбор проводили из верхних горизонтов на глубину 0–20 и 0–10 см (в зависимости от мощности и строения почвенного профиля). Количество почвенных проб, характеризующих каждый почвенный тип (подтип), составляло от 10 до 52 образцов, в зависимости от ареалов распространения почвенных разностей, наличия малоповрежденных биогеоценозов, особенностей рельефа, доступности местоположения и др.
При полевых исследованиях использовали картографические материалы [27]. Высоту над уровнем моря и географические координаты определяли с помощью навигатора GPSMAP 60 CEX: высотные пределы точек отбора проб составляют 505–3034 м над ур. м.
Лабораторно-аналитические исследования почвенных образцов выполняли в 3–6-кратной повторности. Содержание Сорг (%) в почве определяли по методу Тюрина в модификации Никитина, рН водной (1 : 2.5) и солевой суспензии (КСl 0.1 М) – потенциометрически, плотность почв – весовым методом [19]. Скорость БД и СИД, характеризующих фоновую и потенциальную дыхательную активности почвенной микробной биомассы, определяли в соответствии с методическими разработками Ананьевой [2]. Содержание Смик почвы вычисляли по формуле:
Смик (мкг С/г почвы) = = СИД (мкл СО2/(г почвы ч)) 40.04 + 0.37 [45].
Долю углерода микробной биомассы (%) в общем органическом углероде почвы рассчитали, как отношение Смик/Сорг.
Для анализа зависимости микробиологических показателей от рельефных и климатических характеристик использовали данные дистанционного зондирования. Топографическую информацию получили на основе цифровых моделей рельефа SRTM – международной миссии по сбору и накоплению данных о рельефе [63]. Учитывали следующие переменные, характеризующие основные особенности рельефа: высоту над ур. м.; аспект – угол по часовой стрелке с севера на горизонтальную проекцию вектора внешней нормали в данной точке (влияет на водный баланс почв, распределение и изобилие видов растений [60]); уклон – угол между касательной и горизонтальной плоскостями в данной точке (влияет на скорость стока, интенсивность процессов денудации, содержание влаги в почве, растительный покров [57]).
Для анализа влияния климатических факторов на территории исследования использовали данные глобальной базы WorldClim – 19 биоклиматических характеристик (BioClim), отражающих годовые тренды среднегодовой температуры и годового количества осадков, сезонность (годовой диапазон температур и распределение осадков), экстремальные или ограничивающие факторы (температуры самого холодного и самого теплого месяцев, количество осадков в наиболее влажных и засушливых кварталах года) [41, 55].
Пошаговый мультирегрессионный анализ позволяет оценить степень влияния каждого фактора на все исследуемые показатели [33]. Анализировали вклад 22 факторов в описание варьирования содержания Сорг и микробных показателей (скорость БД, СИД, содержание Смик) в горных почвах исследуемых территорий.
Статистическую обработку полученных данных осуществляли в программе Statistica 12.0. Достоверность различия изученных почвенных характеристик сравниваемых участков оценивали с помощью t-критерия Стьюдента при уровне значимости p ≤ 0.05. Полученные данные представлены в виде среднего ± ошибка среднего.
РЕЗУЛЬТАТЫ И ОБСУЖДЕНИЕ
В результате проведенных исследований получены данные, характеризующие средние значения изученных показателей в пяти основных типах почв, сменяющих друг друга при чередовании высотных поясов от 500 до 3500 м над ур. м. (табл. 2).
Таблица 2. Базальное дыхание (БД), субстрат-индуцированное дыхание (СИД), содержание органического углерода, углерода микробной биомассы и отношение углерода микробной биомассы к органическому углероду в горных почвах, эльбрусский вариант поясности, Центральный Кавказ (среднее ± ошибка среднего)
Почвы | БД, мкг СО2–С/(г ч) | СИД, мкг СО2–С/(г ч) | Сорг, % | Смик, мкг С/г почвы | Смик/Сорг, % |
Горные черноземы (0–20 см) (n = 52) | 16.5 ± 1.1 | 91 ± 5 | 5.2 ± 0.2 | 2019 ± 108 | 4.1 ± 0.2 |
Горно-луговые черноземовидные (0–20 см) (n = 32) | 21.5 ± 1.9 | 161 ± 14 | 9.7 ± 0.7 | 3565 ± 309 | 3.9 ± 0.2 |
Горные лугово-степные субальпийские (0–10 см) (n = 10) | 12.2 ± 0.8 | 68 ± 10 | 6.4 ± 0.9 | 1999 ± 408 | 3.0 ± 0.4 |
Горно-луговые субальпийские (0–10 см) (n = 26) | 21.9 ± 1.9 | 127 ± 13 | 9.2 ± 0.5 | 2816 ± 282 | 3.2 ± 0.3 |
Горно-луговые альпийские (0–10 см) (n = 10) | 12.3 ± 1.3 | 72 ± 14 | 6.8 ± 0.9 | 1583 ± 300 | 2.5 ± 0.5 |
Примечание. Шкала Смик <200 – очень низкое; 201–500 – низкое; 501–1000 – среднее; >1000 – высокое [2].
Для изучения влияния высотного градиента на особенности проявления респираторной активности почвенной микробной биомассы (скорость БД и СИД), а также содержания Сорг и Смик сравнили усредненные данные, характеризующие микробоценозы в верхних горизонтах трех типов почв, преобладающих в рассматриваемых высотных поясах эльбрусского варианта поясности Центрального Кавказа: горные черноземы, горно-луговые субальпийские, горно-луговые альпийские почвы.
Горные черноземы Центрального Кавказа обладают всеми свойствами, необходимыми для формирования активного и многочисленного сообщества почвенных микроорганизмов. Данные, характеризующие верхние горизонты горных черноземов, свидетельствуют, что при типичном для них высоком содержании Сорг, фоновая респираторная активность почвенных микроорганизмов (БД) находится в границах оптимальных значений. Величина скорости СИД указывает на высокий потенциал микробного сообщества, а содержание Смик соответствует градации очень высокое [3].
Следует отметить и максимальное в ряду исследуемых почв отношение Смик/Сорг, значение которого свидетельствует о способности почвенной микробиоты к трансформации всех поступающих в почву органических остатков. Для горных степей и остепненных лугов, где распространены описываемые почвы, характерно равновесие процессов прироста, накопления и минерализации как надземной, так и подземной фитомассы [42], что так же, как и приведенные микробные показатели, свидетельствует о сбалансированности процессов образования и микробной деструкции органических остатков.
Сравнение данных, характеризующих горные черноземы и горно-луговые субальпийские почвы, показало, что все параметры микробной активности в почвах субальпийского пояса существенно возрастают (t > 2.7; p < 0.008). Скорость БД и СИД, а также содержание Смик в горно-луговых субальпийских почвах, по сравнению с горными черноземами, больше на 25%. Уменьшение соотношения Смик/Сорг в горно-луговых субальпийских почвах происходит, вероятно, вследствие того, что содержание Сорг увеличивается в этих почвах по сравнению с горными черноземами даже в большей степени, чем микробные показатели (более чем на 40%).
Таким образом, в наиболее теплый период года (июль), при достаточном количестве тепла, влаги и обилии растительных остатков микробиологическая активность в горно-луговых субальпийских почвах максимальна в ряду трех описываемых типов (подтипов) почв: горных черноземах, горно-луговых субальпийских, горно-луговых альпийских.
Далее, с ростом высоты и распространением горно-луговых альпийских почв, наблюдаются и существенные изменения респираторной активности почвенной микробной биомассы. При сравнении данных, характеризующих верхние горизонты горно-луговых субальпийских и альпийских почв, наблюдали достоверное снижение всех контролируемых показателей. Значимо (на 26%, t = 2.4; p = 0.022) сокращается содержание Сорг, резко (более чем на 40%, t > 2.5; p < 0.02) уменьшаются показатели скорости БД и СИД, содержание Смик и отношение Смик/Сорг. Несмотря на уменьшение, содержание Смик остается в пределах градации очень высокое, что указывает на сохранение потенциала микробного сообщества и в условиях высокогорья.
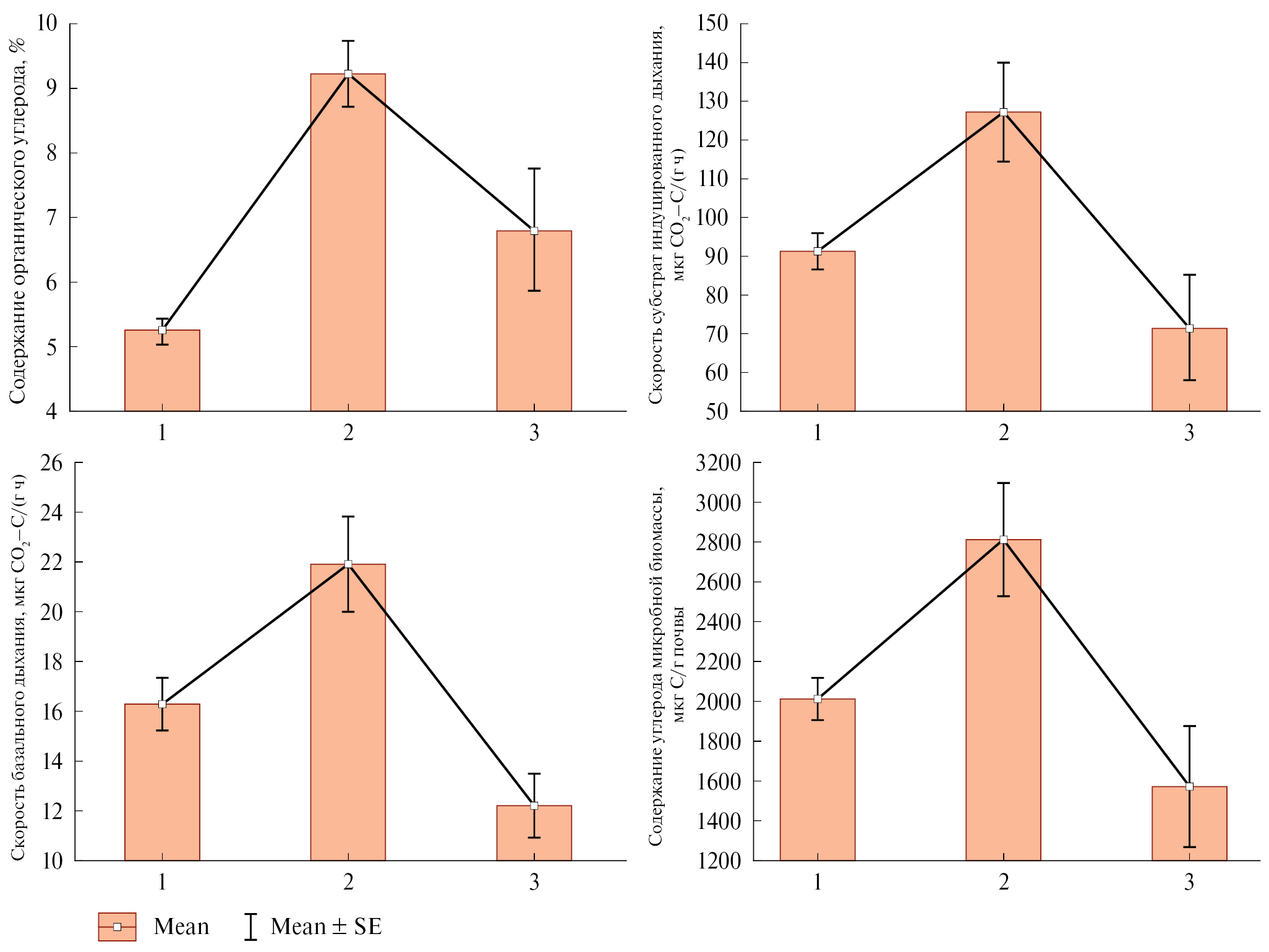
Таким образом, вдоль высотного градиента наблюдается существенное повышение содержания Сорг и описываемых микробных показателей при сравнении горных черноземов (в среднем на высоте 700–800 м над ур. м.) с горно-луговыми субальпийскими почвами (около 2000 м над ур. м.), а затем резкое снижение всех рассматриваемых параметров при сопоставлении последних с горно-луговыми альпийскими почвами (около 3000 м над ур. м.) (рис. 2).
Рис. 2. Содержание органического углерода, скорость базального и субстрат индуцированного дыхания, содержание углерода микробной биомассы горных почв Центрального Кавказа: 1 – горные черноземы, 2 – горно-луговые субальпийские, 3 – горно-луговые альпийские.
Мультирегрессионный анализ выявил, что существенное влияние совокупности основных факторов, характеризующих рельеф (высота над ур. м.; аспект; уклон), на формирование микробных показателей (БД, СИД, Смик) наблюдается только в почвах альпийского пояса (рис. 3). Для преобладающих в этом поясе горно-луговых альпийских почв вклад указанных факторов составляет в среднем 66%. Высокая корреляция (r = 0.83, по шкале Чеддока [30]) обнаружена между показателями: скорость БД и уклон местности. Между содержанием Смик и факторами, описывающими влияние рельефа, выявлена заметная корреляционная связь (r = 0.62–0.75).
Рис. 3. Вклад факторов рельефа (высота, аспект, уклон), на варьирование содержание органического углерода, скорости базального и субстрат индуцированного дыхания, содержание углерода микробной биомассы в горных почвах, расположенных вдоль высотного градиента 500–3500 м над ур. м. (эльбрусский вариант поясности, Центральный Кавказ).
Для горных черноземов и горно-луговых субальпийских почв влияние совокупности характеристик рельефа составляет всего 6 и 17% соответственно, а значимых корреляционных связей между факторами рельефа и микробными показателями не обнаружено.
Совокупность климатических факторов имеет различное влияние на изученные показатели в сравниваемых типах (подтипах) почв (рис. 4). В горных черноземах они существенно влияют на содержания Сорг (вклад 51%), при этом заметная корреляция (r = 0.55–0.62) отмечена для 6 климатических параметров, которые характеризуют сезонность осадков, средние температуры и количество осадков в наиболее сухие и холодные периоды.
Рис. 4. Вклад биоклиматических факторов, на варьирование содержание органического углерода, скорости базального и субстрат индуцированного дыхания, содержание углерода микробной биомассы в горных почвах, расположенных вдоль высотного градиента 500–3500 м над ур. м. (эльбрусский вариант поясности, Центральный Кавказ).
Для микробных показателей (БД, СИД, Смик) в горных черноземах вклад климатических факторов существенно ниже и составляет в среднем 25%, а заметная корреляция (r = 0.51–0.55) установлена всего для трех факторов, связанных с распределением количеством осадков в наиболее сухие и холодные периоды.
В горно-луговых субальпийских почвах вклад комплекса климатических факторов в изменении изучаемых показателей выше. Он составляет 72% для содержания Сорг и 80–88% для БД, СИД и Смик. Заметная корреляция климатических факторов с содержанием Сорг обнаружена для пяти переменных (r = 0.50–0.68), которые описывают сезонность выпадения осадков, а также их количество в наиболее сухие и холодные периоды года. На содержание Смик оказывают заметное влияние 11 климатических показателей (r = 0.51–0.66), из которых 8 связано с температурным режимом.
В горно-луговых альпийских почвах на содержание Сорг заметно влияют 15 климатических показателей, из которых 10 связано с температурой воздуха: среднегодовой, среднесуточной, в наиболее холодный и теплый период, температурной сезонностью и амплитудой (r = 0.51–0.64). На скорость БД влияют 7 показателей (r = 0.57–0.71), а на скорость СИД и содержание Смик – все 19 анализируемых климатических показателей, причем для 14 связь высокая (r = 0.75–0.78).
Следует отметить, что влияние высотного градиента в значительной степени изменяется под действием дополнительных факторов, таких как – солярная экспозиция склонов, формы мезо- и микрорельефа, особенности гидротермического режима почв и характер растительного покрова [16]. Поэтому условия почвообразования в районе исследования существенно изменяются не только с изменением высоты над ур. м., но и в пределах одного высотного пояса. В непосредственной близости друг от друга могут функционировать различные почвенные типы, например, горные лугово-степные субальпийские и горно-луговые субальпийские почвы, или формироваться комплексы горных черноземов и горно-луговых черноземовидных почв. Представляется интересным сравнение рассматриваемых показателей, характеризующих состояние почвенной микробной биомассы между указанными парами почвенных типов.
Горные черноземы и горно-луговые черноземовидные почвы статистически значимо отличаются друг от друга по всем изученным показателям. Богатая растительность остепненных горных лугов и более влажные условия способствуют образованию в естественных горно-луговых черноземовидных почвах существенно более высокого содержания Сорг, по сравнению с горными черноземами (t = 7.6; p = 0.00). Полученные сведения о высоком содержании Сорг заметно коррелируют с микробными показателями (r = 0.51–0.68).
Респираторная деятельность почвенной микробиоты горно-луговых черноземовидных почв, в сравнении с горными черноземами, также существенно выше (t > 2.4; p < 0.015). Установлено, что БД и СИД возрастают на 23 и 43% соответственно. Наблюдается и существенное увеличение содержания Смик в верхних горизонтах горно-луговых черноземовидных почв (на 43%; t = 5.5; p = 0.00). Следует отметить, что в этих почвах содержание Смик более чем вдвое превышает пороговое значение градации “очень высокая” – 1500 мкг С/г почвы и является максимальным в ряду изученных 5 типов (подтипов) почв.
Увеличение микробных показателей происходит на фоне существенного снижения плотности верхних горизонтов (табл. 3) горно-луговых черноземовидных почв (t = 5.5; p = 0.00) и изменения реакции водной суспензии в сторону нейтральных значений (t = 6.2; p = 0.00).
Таблица 3. Плотность почвы и значение рН верхних горизонтов основных типов горных почв исследуемых территорий (среднее ± ошибка среднего)
Почвы | ρ, г/см3 | pH |
Горные черноземы, 0–20 см (n = 52) | 1.05 ± 0.02 | 7.86 ± 0.08 (Н2О) |
Горно-луговые черноземовидные, 0–20 см (n = 32) | 0.84 ± 0.04 | 7.11 ± 0.09 (Н2О) |
Горные лугово-степные субальпийские, 0–10 см (n = 10) | 1.00 ± 0.06 | 5.58 ± 0.14 (КСl 0.1 М) |
Горно-луговые субальпийские, 0–10 см (n = 26) | 0.73 ± 0.03 | 5.23 ± 0.17 (КСl 0.1 М) |
Горно-луговые альпийские 0–10 см (n = 10) | 0.72 ± 0.07 | 4.41 ± 0.14 (КСl 0.1 М) |
Соотношение Смик/Сорг в рассматриваемых типах почв существенно не отличается (t = 0.3; p = 0.7), а представленные значения свидетельствует об устойчивости микробных сообществ в горных черноземах и горно-луговых черноземовидных почвах [6, 35] и закреплении органического углерода в микробной биомассе указанных почв [4, 46].
Анализ влияния факторов, учитывающих основные характеристики рельефа, не оказывает решающего влияния на содержание Сорг и микробные показатели. В обоих типах почв влияние рельефных факторов составляет от 6 до 25%. Заметная корреляция (r = 0.52) установлена только между абсолютной высотой и показателем скорости БД в горно-луговых черноземовидных почвах.
Влияние климатических факторов на содержание Сорг и микробные показатели выше – от 25 до 65%. В горно-луговых черноземовидных почвах содержание Сорг и Смик обладает заметной корреляцией с пятью факторами, и все характеризуют количество и сезонность выпадения осадков (r = 0.57–0.63). В то же время скорость БД связана только c температурными показателями (r = 0.53–0.54).
Почвы субальпийского пояса – горные лугово-степные субальпийские и горно-луговые субальпийские – также могут служить примером того, как вариабельность условий почвообразования влияет на свойства почв, расположенных в одном высотном поясе. Горные лугово-степные субальпийские почвы сформировались в более засушливых условиях, на хорошо прогреваемых солнечных склонах, чаще южной и юго-восточной экспозиции. На этих почвах развиты остепненные луга, где доминируют плотнодернинные ксеромезофитные злаки. Как свидетельствуют представленные ниже данные, характеризующие их показатели заметно отличаются от параметров горно-луговых субальпийских почв, сформировавшихся в более влажных условиях под богатыми разнотравно-злаковыми субальпийскими лугами.
Следует отметить, что горные лугово-степные субальпийские и горно-луговые субальпийские почвы обладают близкой по значениям рН КСl кислой реакцией (табл. 3). Остальные контролируемые показатели (содержание Сорг и Смик, скорость БД и СИД) статистически значимо различаются (t > 2.7; p < 0.009). В горно-луговых субальпийских почвах аккумулируется больше органического вещества (содержание Сорг больше на 30%; t = 2.9; p = 0.006). Вероятно, определенную роль в его накоплении играют более продуктивные растительные сообщества мезофитных субальпийских лугов, по сравнению с остепненными [12].
Накопление органического вещества, а также лучшие условия увлажнения, способствующие активной деятельности почвенной мезофауны, могут являться причиной меньших значений плотности [43] верхних горизонтов горно-луговых субальпийских почв (установленные различия значимы t = 4.3; p = 0.000).
Совокупность указанных факторов существенно увеличивает активность микробной биомассы в горно-луговых субальпийских почвах, для которых показатели скорости БД и СИД, по сравнению с горными лугово-степными субальпийскими почвами возрастают более чем на 40% (t > 2.7; p < 0.009). Содержание Смик в обоих типах почв очень высокое (более 1500 мкг С/г почвы), однако средний показатель содержания Смик в горно-луговых субальпийских почвах на 30% выше, чем в горных лугово-степных субальпийских (t = 2.4; p = 0.001). Полученные данные свидетельствует о том, что в условиях одного пояса формируются и функционируют почвы, микробные сообщества которых существенно отличаются как дыхательной активностью, так и количественными параметрами.
Соотношение Смик/Сорг в описываемых почвах субальпийского пояса составляет более 3%, что свидетельствует о высокой устойчивости почвенных микробоценозов [6, 35]. Вероятно, формирующийся в горно-луговых субальпийских почвах грубый (типа модер) фульватно-гуматный гумус образуется не в результате слабой активности почвенной микробиоты, а из-за небольшого временного периода ее деятельности и короткого теплого периода, характерного для субальпийского пояса.
Следует отметить, что установленные параметры, характеризующие верхние горизонты горных лугово-степных субальпийских почв, наиболее близки к значениям, установленным для горно-луговых альпийских почв. Можно было бы предположить, что респираторную активность микробной биомассы, накопление Сорг и Смик в высокогорных условиях сдерживает недостаток тепла, а в ксерофитных условиях, где формируются горные лугово-степные субальпийские почвы – недостаток влаги. Однако данные мультирегрессионного анализа демонстрируют, что на содержание Сорг в горных лугово-степных субальпийских почвах не оказывают влияния ни рельефные, ни климатические факторы.
Мультирегрессионный анализ показал, что на содержание Сорг в горно-луговых субальпийских почвах совокупность факторов, описывающих рельеф, также практически не влияет (вклад 2%), зато климатические факторы можно назвать решающими (вклад 72%). С накоплением Сорг заметно коррелируют 5 показателей, и все связаны с режимом увлажнения: годовой объем осадков, их сезонность, а также их количество в наиболее сухие и холодные периоды (r = 0.50–0.68).
Для микробных параметров в изученных горных лугово-степных субальпийских почвах наблюдается приблизительно одинаковое влияние рельефных и климатических факторов (вклад 42 и 31% соответственно). В горно-луговых субальпийских почвах для микробных показателей вновь наблюдается приоритет климатических факторов над рельефными (вклад 84 и 17% соответственно). Причем, наиболее высокие коэффициенты корреляции связывают скорость СИД и содержание Смик с 12 климатическими факторами, из которых 8 связаны с температурным режимом (r = 0.50–0.64).
ЗАКЛЮЧЕНИЕ
Установлено, что динамика изученных показателей – содержание Смик и Сорг, их соотношение, а также скорость БД и СИД в рассмотренных трех типах (горные черноземы, горно-луговые субальпийские, горно-луговые альпийские) почв, сменяющих друг друга в спектре высотных поясов на территории эльбрусского варианта поясности Центрального Кавказа, существенно зависит от высотного градиента, однако эта зависимость не является линейной. При переходе от горных черноземов (785 м над ур. м.) к горно-луговым субальпийским почвам (2052 м. над ур. м.) все изученные параметры (Сорг, БД, СИД, Смик, Смик/Сорг) существенно увеличиваются, а в горно-луговых альпийских почвах (2824 м над ур. м.) – резко уменьшаются.
Мультирегрессионный анализ показал, что совокупность наиболее значимых характеристик рельефа (абсолютная высота, уклон, аспект) оказывают значительное влияние на формирование рассматриваемых почвенных параметров только в условиях альпийского пояса – для горно-луговых альпийских почв. Климатические параметры в большей степени влияют на содержание Сорг и микробные показатели (БД, СИД, Смик, Смик/Сорг). В ряду почв, расположенных по высотному градиенту, вклад климатических факторов составляет от 25 до 84%, причем набор наиболее влиятельных климатических факторов меняется по мере увеличения абсолютной высоты.
Для горных черноземов прослеживается более тесная корреляция изученных показателей (БД, СИД, Сорг, Смик, Смик/Сорг) с климатическими факторами, характеризующими условия увлажнения, для горно-луговых субальпийских почв – температурный режим, а для альпийских почв заметную и тесную корреляционную связь имеют практически все 19 климатических факторов.
Совокупный вклад, суммирующий влияние рельефа и климатических показателей (всего 22 фактора) на все изученные показатели составляет:
- в горных черноземах 40%;
- в горно-луговых черноземовидных почвах 66%;
- в горных лугово-степных субальпийских почвах 31%;
- в горно-луговых субальпийских 67%;
- в горно-луговых альпийских почвах 67%.
Таким образом, как для почв, расположенных вдоль высотного градиента, так и функционирующих в пределах одного высотного пояса, влияние факторов, описывающих рельеф и климат, может существенно отличаться.
Полученные данные свидетельствуют, что формирование биологических свойств горных почв Центрального Кавказа – сложный процесс, протекающий при воздействии множества факторов, среди которых рельеф (в том числе высотный градиент) и климат играют важную, но далеко не единственную роль. Достаточно высокий вклад неучтенных в данном исследовании факторов, который может составлять от 33 до 69%. Выявить и оценить возможные закономерности их проявления предстоит при дальнейших исследованиях горных экосистем.
ФИНАНСИРОВАНИЕ РАБОТЫ
Работа выполнена при поддержке Научного центра мирового уровня “Агротехнологии будущего”, проект № 075-15-2022-322.
СОБЛЮДЕНИЕ ЭТИЧЕСКИХ СТАНДАРТОВ
В данной работе отсутствуют исследования человека или животных.
КОНФЛИКТ ИНТЕРЕСОВ
Авторы заявляют, что у них нет конфликта интересов.
About the authors
R. Kh. Tembotov
Tembotov Institute of Ecology of Mountain Territories, Russian Academy of Sciences; Saint-Petersburg State University
Author for correspondence.
Email: r.tembotov@spbu.ru
ORCID iD: 0000-0002-2342-4653
Биологический факультет
Russian Federation, St. Petersburg, 199034References
- Альпы – Кавказ: Современные проблемы конструктивной географии горных стран. Научные итоги франко-советских полевых симпозиумов в 1974 и 1976 гг. М.: Наука, 1980. 325 с.
- Ананьева Н.Д. Микробиологические аспекты самоочищения и устойчивости почв. М.: Наука, 2003. 222 с.
- Ананьева Н.Д., Сусьян Е.А., Гавриленко Е.Г. Особенности определения углерода микробной биомассы почвы методом субстрат-индуцированного дыхания // Почвоведение. 2011. № 11. С. 1327–1333.
- Ананьева Н.Д., Сусьян Е.А., Рыжова И.М., Бочарникова Е.О., Стольникова Е.В. Углерод микробной биомассы и микробное продуцирование двуокиси углерода дерново-подзолистыми почвами постагрогенных биогеоценозов и коренных ельников южной тайги (Костромская область) // Почвоведение. 2009. № 9. С. 1108–1116.
- Ашабоков Б.А., Федченко Л.М., Калов Х.М., Бисчоков Р.М., Богаченко Е.М. Анализ и прогноз изменения климата в Кабардино-Балкарской республике. Нальчик: Изд-во КБГАУ, 2005. 150 с.
- Благодатская Е.В., Семенов М.В., Якушев А.В. Активность и биомасса почвенных микроорганизмов в изменяющихся условиях окружающей среды. М.: Товарищество научных изданий КМК, 2016. 243 с.
- Борисов А.В., Каширская Н.Н., Ельцов М.В., Пинской В.Н., Плеханова Л.Н., Идрисов И.А. Почвы древних земледельческих террас Восточного Кавказа // Почвоведение. 2021. № 5. С. 542–557.
- Вальков В.Ф. Почвенно-географические исследования на Северном Кавказе: к истории заблуждений // Научная мысль Кавказа. 2001. № 1. С. 57–61.
- Гвоздецкий Н.А. Кавказ. М.: Изд-во Географгиз, 1963. 282 с.
- Гедгафова Ф.В., Горобцова О.Н., Улигова Т.С., Цепкова Н.Л., Хакунова Е.М., Даова К.Х., Темботов Р.Х. Оценка изменения биологической активности горных лугово-степных почв пастбищ разных стадий дигрессии Центрального Кавказа // Почвоведение. 2023. № 6. С. 787–798.
- Геннадиев А.Н. О почвообразовании под луговой и лесной растительностью в высокогорье Центрального Кавказа (Приэльбрусье) // Почвоведение. 1978. № 4. С. 122–131.
- Гольдберг Л.М., Цепкова Н.Л., Семенюк Н.В., Хачатуров М.А. Продуктивность луговых экосистем и ее связь с основными гидротермическими параметрами в Приэльбрусье // Пробл. экол. мониторинга и моделир. экосистем. 1991. С. 61–74.
- Горобцова О.Н., Минкина Т.М., Улигова Т.С., Темботов Р.Х., Хакунова Е.М. Биологическая активность горных и равнинных черноземов Центрального Кавказа (в границах Кабардино-Балкарии) // Поволжский экологический журнал. 2018. № 2. С. 183–196.
- Гулисашвилли В.З. Природные зоны и естественно-исторические области Кавказа. М.: Наука, 1964. 326 с.
- Добровольский В.В. Практикум по географии почв. М.: Владос, 2001. 143 с.
- Залиханов М.Ч., Коломыц Э.Г., Шарая Л.С., Цепкова Н.Л., Сурова Н.А. Высокогорная геоэкология в моделях. М.: Наука, 2010. 487 с.
- Звягинцев Д.Г., Кожевин П.А., Малахов В.В. Экологические проблемы в почвенной микробиологии // Общая микробиология. 1976. Т. 37. № 5. С. 691–706.
- Зонн С.В. Почвы Дагестана. Сельское хозяйство Дагестана. М.: Изд-во АН СССР, 1940. С. 97–156.
- Казеев К.Ш., Колесников С.И. Биодиагностика почв: методология и методы исследований. Ростов-на-Дону: Изд-во Южного федер. ун-та, 2012. 260 с.
- Керефов К.Н., Фиапшев Б.Х. Природные зоны и пояса Кабардино-Балкарской АССР. Нальчик: Каб.-Балк. кн. изд-во, 1977. 71 с.
- Кисриев Ф.Г., Керимханов С.У. Почвенно-климатическое районирование территории Дагестанской АССР // Тр. ДНИИСХ. Махачкала: Даг. кн. изд-во, 1967. Т. IV. С. 9–28.
- Классификация и диагностика почв СССР. М.: Колос, 1977. 280 с.
- Козунь Ю.С., Казеевa К.Ш., Колесниковa С.И. Влияние климата на ферментативную активность лесных почв Северного Кавказа // Лесоведение. 2022. № 3. C. 262–269. https://doi.org/10.31857/S002411482203010X
- Курганова И.Н. Эмиссия и баланс диоксида углерода в наземных экосистемах России. Дис. … док. биол. наук. Пущино, 2010. 401 с.
- Молчанов Э.Н. К проблеме почвенно-географического районирования гор Северного Кавказа // Почвоведение. 1991. № 1. С. 5–18.
- Молчанов Э.Н. Сравнительная характеристика основных типов почв высокогорий Северного Кавказа (на примере Кабардино-Балкарской и Дагестанской АССР). Дис. … канд. геогр. наук: М., 1973. 236 с.
- Молчанов Э.Н., Калмаков В.Д., Романова А.К. и др. Почвенная карта Кабардино-Балкарской АССР. М-б 1 : 100 000. М.: ГУГК, 1990.
- Молчанов Э.Н., Савин И.Ю., Разумов В.В., Макаров О.А., Цветнов Е.В., Ермияев Р.Я., Шишкона-кова Е.А., Харзинов С.М. Деградация горных черноземов северного склона Джинальского хребта (Центральный Кавказ) и ее эколого-экономические последствия // Бюл. Почв. ин-та им. В.В. Докучаева. 2017. № 87. С. 86–99. https://doi.org/10.19047/0136-1694-2017-87-86-99
- Наумов А.В. Дыхание почвы: составляющие, экологические функции, географические закономерности. Автореф. дис. … докт. биол. наук. Томск, 2004. 37 с.
- Орлов А.И. Ошибки при использовании коэффициентов корреляции и детерминации // Заводская лаборатория. Диагностика материалов. 2018. № 84. С. 68–72. https://doi.org/10.26896/1028-6861-2018-84-3-68-72
- Пинской В.Н., Идрисов И.А., Каширская Н.Н., Ельцов М.В., Потапова А.В., Борисов А.В. Влияние экспозиции склона на химические и биологические свойства почв земледельческих террас восточного Кавказа // Аридные экосистемы. 2022. Т. 28. № 2. С. 113–121. https://doi.org/10.24412/1993-3916-2022-2-113-121
- Почвы Кабардино-Балкарской АССР и рекомендации по их использованию. Нальчик: Гос. проектный институт по землеустройству СевКавНИИгипрозем, 1984. 201 с.
- Пузаченко Ю.Г. Математические методы в экологических и географических исследованиях. М.: ACADEMA, 2004. 416 c.
- Разумов В.В., Курданов Х.А., Разумова Л.А., Крохмаль А.Г., Батырбекова Л.М. Экосистемы гор Центрального Кавказа и здоровье человека. Ставрополь: Илекса, Ставропольсервисшкола, 2003. 448 с.
- Русакова И.В. Изучение экологического состояния микробного сообщества дерново-подзолистой почвы при длительном применении соломы и минеральных удобрений // Международный журнал прикладных и фундаментальных исследований. 2018. № 6. С. 120–124.
- Селезнева А.Е., Иващенко К.В., Сушко С.В., Журавлева А.И., Ананьева Н.Д., Благодатский С.А. Дыхательная активность микробного сообщества почвы и его функциональное разнообразие при смещении верхней границы леса в горах Северо-Западного Кавказа // Вестник Российского университета дружбы народов. Сер. Агрономия и животноводство. 2021. Т. 16. № 3. C. 226–237. https://doi.org/10.22363/2312-797X-2021-16-3-226-237
- Соколов В.Е., Темботов А.К. Позвоночные Кавказа. Млекопитающие. Насекомоядные. М.: Наука, 1989. 547 с.
- Солдатов А.С. Почвы горных пастбищ Гунибского и Лакского районов Дагестанской АССР // Тр. отд. почвовед. Махачкала: Даг. Фил. АН СССР, 1956. Т. 3. С. 30–78.
- Темботов А.К. География млекопитающих Северного Кавказа. Нальчик: Эльбрус, 1972. 245 с.
- Темботов А.К., Темботова Ф.А. Фундаментальная экология горных территорий и ее социальные аспекты // Мат-лы Всеросс. науч.-пр. конф. “Северный Кавказ в условиях глобализации”. Майкоп, 2001. С. 277–280.
- Темботов Р.Х., Горобцова О.Н. Эколого-биологическая оценка состояния почвенного покрова Центрального Кавказа: (в границах терского и эльбрусского вариантов поясности). Нальчик: Изд-во М. и В. Котляровых, 2018. 136 с.
- Титлянова А.А., Вишнякова Е.К. Изменение продуктивности болотных и травяных экосистем по широтному градиенту // Почвы и окружающая среда. 2022. № 2. С. 1–19. https://doi.org/10.31251/pos.v5i2.176
- Тиунов А.В. Метабиоз в почвенной системе: влияние дождевых червей на структуру и функционирование почвенной биоты. Дис. … докт. биол. наук. М., 2007. 284 с.
- Фиапшев Б.Х. Высокогорные почвы центральной части Северного Кавказа. Нальчик: Изд-во КБГСХА, 1996. 137 с.
- Anderson J.P.E., Domsch K.H. A physiological method for the quantitative measurement of microbial biomass in soils // Soil Biol. 1978. V. 10. № 3. P. 215-221.
- Anderson T.H., Domsch K.H. Rations of microbial biomass to total organic carbon in arable soils // Soil Biol. Biochem. 1989. V. 21. № 4. P. 471–479.
- Anderson T.H., Domsch K.H. The metabolic quotient for CO2 (qCO2) as a specific activity parameter to assess the effect of environmental conditions, such as pH, on the microbial biomass of forest soils // Soil Biol. Biochem. 1993. V. 25. P. 393–395.
- Bardel T., Gómez-Brandón M., Ascher-Jenull J., Fornasier F., Arfaioli P., Francioli D., Egli M., Sartori G., Insam H., Pietramellara G. Effects of slope exposure on soil physico-chemical and microbiological properties along an altitudinal climosequence in the Italian Alps // Sci. Total Environ. 2017. V. 575. P. 1041–1055. https://doi.org/10.1016/j.scitotenv.2016.09.176
- DIN ISO 14240-1. Soil quality – determination of soil microbial biomass. Part 1: substrate-induced respiration method. Berlin-Wien-Zürich: Beuth, 1997.
- Gedgafova F.V., Gorobtsova O.N., Uligova T.S., Tsepkova N.L., Tembotov R.Kh., Khakunova E.M. Assessment of biological activity in mountain chernozems and mountain-meadow chernozemic soils of natural biogeocenoses in the Central Caucasus, Russia // Eurasian J. Soil Sci. 2022.V. 11. Р. 77–85. https://doi.org/10.18393/EJSS.996603
- He X., Hou E., Veen G.F., Ellwood M., Dijkstra P., Sui X., Zhang S., Wen D., Chu C. Soil microbial biomass increases along elevational gradients in the tropics and subtropics but not elsewhere // Global Ecology and Biogeography. 2020. V. 29. P. 345–354. https://doi.org/10.1111/geb.13017
- Insam H., Domsch K.H. Relation between soil organic carbon and microbial biomass on chronosequences of reclamation sites // Microbial Ecology. 1988. V. 15. № 2. P. 177–188.
- Insam H., Haselwandter K. Metabolic quotient of the soil microflora in relation to plant succession // Ecology. 1989. V. 79. № 1. P. 174–178.
- Ivashchenko K.V., Sushko S.V., Selezneva A. E., Ananyeva N.D., Zhuravleva A.I., Kudeyarov V.N., Makarov M.I., Blagodatsky S.A. Soil microbial activity along an altitudinal gradient: Vegetation as a main driver beyond topographic and edaphic factors // Appl. Soil Ecology. 2021. V. 168. P. 104197. https://doi.org/10.1016/j.apsoil.2021.104197
- Karger D.N., Conrad O., Böhner J., Kawohl T., Kreft H., Soria-Auza R.W., Zimmermann N.E., Linder P., Kessler M. Climatologies at high resolution for the Earth land surface areas // Scientific Data. 2017. P. 170122. https://doi.org/10.1038/sdata.2017.122
- Kozun Y.S., KazeevK.Sh., Kolesnikov S.I. Climatic gradients of biological properties of zonal soils of natural lands // Geoderma. 2022. V. 425. P. 116031. https://doi.org/10.1016/j.geoderma.2022.116031
- Li D.Q., Zhang F.P., Cao Z.J., Zhou W., Phoon K.K., Zhou C.B. Efficient reliability updating of slope stability by reweighting failure samples generated by Monte Carlo simulation // Comput. Geotech. 2015. V. 69. P. 588–600. https://doi.org/10.1016/j.compgeo.2015.06.017
- Margesin R., Jud M., Tscherko D., Schinner F. Microbial communities and activities in alpine and subalpine soils // FEMS Microbiology Ecology. 2009. V. 67. P. 208–218. https://doi.org/10.1111/j.1574-6941.2008.00620.x
- Shen R.C., Xu M., Li R.Q., Zhao F.X., Sheng Q.K. Spatial variability of soil microbial biomass and its relationships with edaphic, vegetational and climatic factors in the Three-River Headwaters region on Qinghai-Tibetan Plateau // Appl. Soil Ecol. 2015. V. 95. P. 191–203. https://doi.org/10.1016/j.apsoil.2015.06.011
- Rezaei S.A., GilkesR.J. The effects of landscape attributes and plant community on soil chemical properties in rangelands // Geoderma. 2005. V. 125. P. 167–176. https://doi.org/10.1016/j.geoderma.2004.07.010
- Siles J.A., Margesin R. Abundance and Diversity of Bacterial, Archaeal, and Fungal Communities Along an Altitudinal Gradient in Alpine Forest Soils: What Are the Driving Factors? // Microb. Ecol. 2016. V. 72. P. 207–220. https://doi.org/10.1007/s00248-016-0748-2
- World Reference Base for Soil Resources. International soil classification system for naming soils and creating legends for soil maps. World Soil Resources Reports No. 106. FAO, Rome. 2014. 181 p.
- Yang L., Meng X., Zhang X. SRTM DEM and its application advances // International Journal of Remote Sensing. 2011. V. 32. P. 3875–3896. https://doi.org/10.1080/01431161003786016
- https://ru.climate-data.org/
Supplementary files






