Температурная чувствительность дыхания торфяных почв разных природных зон
- Авторы: Тархов М.О.1, Матышак Г.В.1, Рыжова И.М.1, Гончарова О.Ю.1, Чуванов С.В.1,2, Тимофеева М.В.1,2
-
Учреждения:
- МГУ им. М.В. Ломоносова
- Почвенный институт им. В.В. Докучаева
- Выпуск: № 10 (2024)
- Страницы: 1361-1373
- Раздел: ФИЗИКА ПОЧВ
- URL: https://ogarev-online.ru/0032-180X/article/view/280978
- DOI: https://doi.org/10.31857/S0032180X24100064
- EDN: https://elibrary.ru/JXXEOH
- ID: 280978
Цитировать
Полный текст
Аннотация
Проведена серия лабораторных экспериментов с использованием методов последовательного увеличения температур (ПУТ) и равных времен (РВ) с целью изучения температурной чувствительности дыхания торфяных почв разных природных зон: южной тундры, северной тайги и подзоны хвойно-широколиственных лесов. Коэффициент температурной чувствительности Q10 варьировал в широких пределах (1.3–4.8) и в случае применения метода РВ характеризовался ярко выраженной зональностью, снижаясь от северных широт к умеренным. В холодном интервале температур (5–15°С) Q10 возрастал от южной тундры (3.5) к северной тайге (4.8) и далее резко снижался для подзоны хвойно-широколиственных лесов (2.5). В теплом интервале (15–25°С) было отмечено плавное уменьшение Q10 в зональном ряду южная тундра (2.6) > северная тайга (1.6) > подзона хвойно-широколиственных лесов (1.3). Оценки, полученные методом ПУТ, напротив, показали слабую изменчивость Q10. Результаты исследования демонстрируют бóльшую температурную чувствительность дыхания почв северных широт по сравнению с таковой для умеренных. Полученные закономерности изменений величин Q10 могут быть использованы для улучшения региональных климатических моделей, учитывающих вклад торфяных почв в углеродный баланс и эмиссию СО2 с почвенной поверхности.
Ключевые слова
Полный текст
ВВЕДЕНИЕ
Торфяники и торфяные почвы играют важную роль в глобальном цикле углерода. Несмотря на небольшую долю от общей площади суши (не более 4%) [62], торфяники ежегодно секвестрируют до 0.37 Гт СО2, а торфяные почвы суммарно содержат до 600 Гт углерода, или 44% от его общего объема в почвах Земли [37], что делает их одной из ключевых модельных экосистем для изучения и прогнозирования последствий изменения климата [23, 33]. В исследованиях, оценивающих отклик торфяных почв на изменение климата, особое внимание уделяется торфяным почвам бореальных широт, так как на их долю по разным оценкам приходится до 62–85% от общей величины углеродного стока в торфяниках Земли [30, 35, 72], а наиболее резкий рост температуры воздуха отмечается как раз в высоких широтах [22, 53]. Торфяные почвы других широт (умеренных и тропических) являются важным объектом исследований из-за более высокого уровня хозяйственного освоения и связанных с этим рисков дополнительной эмиссии парниковых газов в атмосферу в результате деградации и дренирования почв [36, 56, 62].
Общепризнанным показателем оценки отклика почв на изменение температуры является температурная чувствительность, в большинстве исследований определяемая как скорость изменения отклика дыхания почв [5, 48] или минерализации органического вещества по отношению к изменению температуры [8, 63]. Для количественной оценки температурной чувствительности почв принято использовать коэффициент Q10, отражающий скорость изменения оцениваемых показателей при увеличении температуры на 10°С [49]. Активно ведутся исследования температурной чувствительности торфяных почв, учитывая их важность для регуляции глобального цикла углерода и смягчения последствий изменения климата. Большинство исследований сфокусировано на оценке температурной чувствительности торфяных почв с применением полевых или лабораторных методов в рамках конкретной географической зоны [29, 59, 60]; зональный аспект рассматривается реже и преимущественно в отношении минеральных почв [21, 51, 64]. В России, несмотря на широкую представленность торфяников, составляющих более 20% территории страны (с учетом территорий с неглубоким залеганием торфа <30 см) [2, 57], количество публикаций по данной теме невелико, что дополнительно обусловливает актуальность исследования.
С учетом анализа имеющихся литературных данных, а также результатов предыдущего исследования [14], сформулированы следующие рабочие гипотезы: 1) температурная чувствительность дыхания почвы (коэффициент Q10) будет выше для торфяных почв северных широт по сравнению с умеренными; 2) температурная чувствительность дыхания торфяных почв будет характеризоваться выраженной зональностью; 3) используемые лабораторные методы оценки температурной чувствительности обусловят разную интенсивность отклика дыхания торфяных почв.
Цель работы – оценка температурной чувствительности дыхания торфяных почв разных природных зон (южная тундра, северная тайга, подзона хвойно-широколиственных лесов). Задачами исследования были: 1) количественная оценка температурной чувствительности дыхания торфяных почв разных природных зон с использованием различных лабораторных методов; 2) выявление зональных особенностей отклика дыхания торфяных почв; 3) оценка влияния используемых лабораторных методов исследования температурной чувствительности на отклик дыхания торфяных почв разных природных зон.
ОБЪЕКТЫ И МЕТОДЫ
Район и объект исследования. Исследование проводили в 2020 г. в природных зонах: южная тундра, северная тайга и подзона хвойно-широколиственных лесов. В качестве объектов выбрали торфяные олиготрофные почвы, приуроченные к характерным экосистемам изученных территорий. В каждой из природных зон отбирались схожие по морфологическим свойствам образцы олиготрофного торфа для обеспечения однородности субстрата.
Южная тундра. В южной тундре исследования проводили на территории Северо-Восточной части Пур-Тазовского междуречья (67°21′ N, 78°42′ E). Она представляет собой плоскую, слаборасчлененную поверхность со сплошным распространением многолетнемерзлых пород, с сильной заозеренностью и заболоченностью и характеризуется широким распространением полигональных и бугристых торфяников [16, 18]. В качестве объекта исследований выбрали торфяную олиготрофную мерзлотную почву (Cryic Fibric Histosol (Turbic)), приуроченную к полигональному торфянику, расположенному в 200 м от дороги Тазовский-Новозаполярный в 30 км на запад от с. Газ-Сале.
Северная тайга. В северной тайге исследования проводили на территории Надымского стационара, расположенного в краевой части III озерно-аллювиальной равнины р. Надым, междуречье р. Хейгияха–Левая Хетта (65°20′ N, 72°55′ E). Для района характерно преобладание гидроморфных и полугидроморфных ландшафтов, представленных как современными болотными экосистемами (термокарстовые депрессии, ложбины стоков, мочажины), так и бугристыми торфяниками, приуроченными к участкам островного распространения многолетнемерзлых пород [11]. В качестве объекта исследований выбрана торфяная олиготрофная типичная мерзлотная почва как типичная почва распространенных здесь бугристых торфяников [9].
Подзона хвойно-широколиственных лесов. Район исследований в подзоне хвойно-широколиственных лесов относился к Волковскому верховому болоту, находящемуся на территории государственного природного заказника областного значения “Звенигородская биостанция МГУ и карьер Сима” (55°67′ N, 36°71′ E) [12]. В качестве объекта исследований выбрана торфяная олиготрофная типичная почва (Fibric Histosol), характерная для сосново-кустарничково-пушицево-сфагнового сообщества верховых болот центральной части России.
Методы исследования. Полевой этап. Измерение параметров функционирования почв. В августе 2020 г. на типичных участках полигонального и бугристого торфяников южной тундры и северной тайги, а в октябре 2020 г. на фоновом участке Волковского верхового болота подзоны хвойно-широколиственных лесов проводили измерения основных параметров функционирования (температурного режима, объемной влажности и глубины протаивания) и показателей биологической активности почв (эмиссии СО2). Участки для измерений в пятикратной повторности выбирали таким образом, чтобы обеспечить наилучшую репрезентативность изучаемых экосистем (характерный состав растительных сообществ, особенности рельефа и геокриологических условий). Далее на участках измерений отбирали объединенные образцы олиготрофного торфа. Образцы олиготрофного торфа в подзоне хвойно-широколиственных лесов отбирали в октябре при температурных условиях, аналогичных отбору образцов в южной тундре и северной тайге.
Измерения проводили в пятикратной повторности в течение двух недель. Эмиссию СО2 с поверхности почв измеряли методом закрытых камер [13]. В качестве закрытых камер использовали стальные камеры объемом 850 мл с герметичным клапаном для отбора проб воздуха с помощью шприца (20 мл). Подробно примененная методика описана ранее [3, 10]. Концентрацию СО2 в пробах определяли с помощью газоанализатора с инфракрасным датчиком LI-830 (LI-COR, США) после 10 мин экспозиции (точность 3%). Температурный режим изучали с использованием термозондов Hanna Instruments (HI 98509, Германия, точность ±0.2°С) и логгеров Thermochron iButtonTM (США, точность ±1°С). Термозондами в августе и октябре 2020 г. измеряли температуру почвы в слое 0–10 см. Логгеры использовали для оценки годовой (август 2019–июль 2020 гг.) динамики температур в почвах на глубине 10 см в двукратной повторности. Объемную влажность почв (W, %) определяли потенциометрически с использованием полевого влагомера FieldScout TDR 100 (Spectrum, США) в слое 0–20 см. Глубину протаивания исследовали методом зондирования щупом по ГОСТ 26262-2014.
Полевой этап. Отбор образцов. Образцы торфяных олиготрофных почв отбирали в точках измерения параметров функционирования с глубины 5–15 см, при отборе удаляли сфагновый/мохово-ягелевый очес. Отдельно отбирали образцы нарушенного и ненарушенного сложения. Образцы ненарушенного сложения сразу после отбора помещали в поливинилхлоридные кюветы диаметром и высотой 10 см (микрокосмы). Далее обе группы образцов транспортировали в лабораторию, где хранили при температуре 5°C до начала лабораторных исследований. Образцы ненарушенного сложения хранили в нативном виде в микрокосмах, накрыв герметизирующей пленкой (парафильм, Aptaca, Италия) для предотвращения потери влаги; образцы нарушенного сложения хранили в полиэтиленовых емкостях, закрытых парафильмом.
Лабораторный этап. Температурную чувствительность дыхания торфяных почв разных природных зон изучали с использованием двух различных методов: последовательного увеличения температур (ПУТ) и равных времен (РВ) [32]. Метод ПУТ предполагает воздействие последовательного увеличения температуры на один и тот же почвенный образец, который чаще всего является образцом ненарушенного сложения достаточно большой массы (20–40 г в пересчете на сухую почву). Напротив, метод РВ заключается в одновременной инкубации почвенных образцов (как правило, гомогенизированных и достаточно небольшой массы: не более 1 г в пересчете на сухую почву) при разных температурах. В исследовании изучали воздействие широкого диапазона температур (5–25°C), в рамках которого отдельно выделялись холодный (5–15°C) и теплый (15–25°C) интервалы. В ходе экспериментов в почвенных образцах поддерживался естественный уровень влажности, который составлял 34–70% от их полной влагоемкости. Данный диапазон уровня влажности является приемлемым для определения показателей биологической активности и гетеротрофного дыхания торфяных почв [11, 23].
Метод ПУТ. Методом ПУТ проводили оценку отклика скорости минерализации органического вещества почв [4] на увеличение температуры. Для унификации терминологии отклик скорости минерализации органического вещества почв будет далее наименоваться как микробное дыхание, определенное методом ПУТ (МДПУТ). Для метода ПУТ использовали образцы ненарушенного сложения, помещенные в микрокосмы. Высота образцов почв в микрокосмах составляла 8 см, а их масса в среднем составляла для торфяно-криозема южной тундры – 37 ± 2 г, торфяно-криозема северной тайги – 27 ± 6 г, торфяной олиготрофной типичной почвы подзоны хвойно-широколиственных лесов – 19 ± 3 г сухой почвы. Особенности метода ПУТ и необходимость использования образцов ненарушенного сложения подробно рассмотрены в ранее [14]. Каждый из анализируемых образцов представлен в восьмикратной повторности (n = 8).
Микрокосмы предварительно инкубировали при 5°C в течение недели для стабилизации фонового выделения СО2 [58]. Далее в инкубаторе микрокосмы подвергали последовательному увеличению температуры с 5 до 25°C с шагом в 5°C раз в 3 сут. Измерение МДПУТ проводили каждый день и оценивали по приросту выделения СО2 за 10–30 мин инкубации в зависимости от экспериментальной температуры методом закрытых камер [13, 14]. В качестве закрытых камер использовали конструктивно аналогичные камеры, применявшиеся для измерения эмиссии СО2 в рамках полевых исследований. Камеры устанавливали в пластиковый желоб микрокосма, заполненный водой (водяной замок) для уменьшения диффузии и возможных газообразных потерь, и отбирали исходную пробу СО2. Через 10–30 мин извлекали результирующую пробу СО2. Концентрацию СО2 измеряли на портативном инфракрасном газоанализаторе LI-830. В микрокосмах ежедневно контролировали влажность образцов почв путем взвешивания, при необходимости добавляя воду до исходного уровня весовой влажности, определенного в начале эксперимента. МДПУТ выражали в мкг С–СО2/(г ч) и рассчитывали по формуле [4]:
МДПУТ = (dC 12 V 1000) (m 22.4 t 100), (1)
где dC – прирост выделения СО2 за время инкубации, %; V – объем камеры или флакона, мл; m – масса образца почвы, г; t – время инкубации, ч; 12 – молярная масса углерода; 22.4 – объем моля газа; 100 и 1000 – коэффициенты, необходимые для приведения единиц к подобию (%, мл и л).
Метод РВ. Методом РВ проводили оценку отклика микробного дыхания (МДРВ) при разных температурах: 5, 15 и 25°C. Для метода РВ использовали почвенные образцы нарушенного сложения – гомогенизированные образцы при естественной влажности (свежие образцы). Особенности метода РВ подробно рассмотрены в ранее [14]. МДРВ отражает катаболическую активность гетеротрофных микроорганизмов почв в естественных условиях и в классическом варианте определяется по скорости выделения СО2 почвой за 24 ч инкубации при комнатной температуре (базальное дыхание) [19, 20]. Каждый из анализируемых образцов был представлен в шестикратной повторности (n = 6).
Торфяные образцы из горизонтов ТО измельчали ножницами и далее пропускали через сито с диаметром ячеек 3 мм. До начала эксперимента торфяные образцы, эквивалентные 1 г сухой почвы, предварительно инкубировали в течение 5 сут при температурах, соответствующих экспериментальным: 5, 15, 25°C [55]. После этого проводили измерение МДРВ в герметично закрывающихся флаконах объемом 125 мл: отбирали исходную пробу СО2 объемом 10 мл из флакона с помощью шприца через герметичный клапан. Далее образы инкубировали в течение 12 ч в закрытых флаконах. После отбирали результирующую пробу СО2. Концентрацию СО2 измеряли на портативном инфракрасном газоанализаторе LI-830. Результат выражали в мкг С–СО2/(г ч), расчет вели по формуле (1).
Количественная оценка температурной чувствительности. Температурную чувствительность дыхания торфяных почв оценивали с помощью коэффициента Q10, характеризующего изменение скорости дыхания почвы при увеличении ее температуры на 10°С. Величину Q10 для эксперимента, проведенного методом ПУТ (отклик МДПУТ), рассчитывали в интервалах температур 5–15, 10–20 и 15–25°С; для эксперимента, проведенного методом РВ (отклик МДРВ) – в интервалах температур 5–15 и 15–25°С. Интервалы температур выбрали в соответствии с общепринятыми в литературе [32]. Расчеты вели по формуле:
Q10 = c2/c1[10/(t2 – t1)], (2)
где c1/с2 – величины измеряемых показателей при температурах, отличающихся друг от друга на 10°С (t1/t2) [34], а также с использованием уравнения экспоненциальной зависимости МДПУТ/МДРВ от температуры:
Rдыхания (T) = aebT, Q10 = e10b, (3)
где Rдыхания – скорость гетеротрофного дыхания образцов почв; Т – температура, °С; a > 0 и b > 0 – параметры [41].
Методы определения химических характеристик почвы. Степень разложения образцов торфяных почв определяли в полевых условиях по методике фон Поста: результаты представлены в процентах на основе соотношения классификации фон Поста со степенью разложения, определенной в лабораторных условиях [6]. Зольность (содержание сырой золы) и рHH2O (соотношение торф : дистиллированная вода 1 : 25) оценивали по стандартным методикам [15]. Массовую влажность определяли термогравиметрически на приборе Ohaus MB 35 (США), полную влагоемкость оценивали методом цилиндров [1]. Общее содержание углерода (Собщ) и азота (Nобщ) определяли на элементном CNHS-анализаторе Element Analyzer Vario EL III фирмы Elementar (Германия). Содержание лабильных фракций органического углерода (Слаб) определяли в вытяжке 0.05 М K2SO4 [7] на автоматическом анализаторе ТОС-VCPN (Shimadzu, Япония). Все исследования проводили в трехкратной повторности для каждого из образцов.
Статистическая обработка данных. Для анализа данных использованы следующие методы математической статистики: описательная статистика, сравнение средних по параметрическому критерию Стьюдента (t-критерий) и регрессионный анализ. Поправка Бонферрони или иные поправки на множественную проверку гипотез не использовались. Выбранный уровень значимости p = 0.05. Для статистической обработки данных использовали программные пакеты Statistica 10 и Microsoft Excel 2021. Данные в таблицах приведены с указанием среднего ± стандартная ошибка среднего (SE). Планки погрешностей на столбчатых диаграммах и графиках означают стандартную ошибку среднего.
РЕЗУЛЬТАТЫ И ОБСУЖДЕНИЕ
Гидротермические параметры функционирования и показатели биологической активности почв. Исследованные торфяные почвы значимо отличаются по ряду параметров функционирования (табл. 1).
Таблица 1. Гидротермические параметры функционирования и биологическая активность почв (эмиссия СО2) (среднее за период измерений ± SE, n = 5, здесь и далее жирным шрифтом выделены значимые различия)
Природная зона | Почва | Глубина протаивания, см | Среднесуточная температура в слое 0–10 см, °С | Среднегодовая температура на глубине 10 см, °С | Объемная влажность почв в слое 0–20 см, % | Эмиссия СО2, мг СО2 /(м2 ч) |
Южная тундра | Торфяная олиготрофная мерзлотная | 43 ± 1 | 5.5 ± 0.2 | Не опр. | 51.3 ± 1.5 | 213 ± 25 |
Северная тайга | Торфяная олиготрофная мерзлотная | 55 ± 2 | 6.5 ± 0.2 | 1.5 | 35.8 ± 0.7 | 175 ± 13 |
Xвойно-широколиственные леса | Торфяная олиготрофная типичная | Нет | 7.8 ± 0.4 | 6.2 | 52.3 ± 1.4 | 133 ± 13 |
Торфяная олиготрофная мерзлотная почва южной тундры характеризуется наименьшей глубиной сезонного протаивания (43 см), которая несколько увеличивается для северной тайги (55 см). В период измерений изученные почвы значимо различались по среднесуточной температуре в слое 0–10 см, возрастающей от 5.5 до 7.8°С. Среднегодовая температура торфяной олиготрофной мерзлотной почвы северной тайги на глубине 10 см в среднем на 4.7°С ниже по сравнению с торфяной олиготрофной типичной почвой подзоны хвойно-широколиственных лесов. Для торфяных олиготрофных почв южной тундры и подзоны хвойно-широколиственных лесов отмечены схожие значения объемной влажности в слое 0–20 см в интервале 51–52%. Объемная влажность торфяной олиготрофной почвы северной тайги была значимо меньшей (35.8%), что может быть связано с локальными особенностями микрорельефа и сезонной динамикой данного показателя. Величины эмиссии СО2 с поверхности почв южной тундры и северной тайги в период измерений в августе 2022 г. значимо не различались, тогда как для торфяной олиготрофной типичной почвы подзоны хвойно-широколиственных лесов в октябре 2022 г. эмиссия была значимо ниже, подтверждая влияние фактора сезонности на этот процесс и возможные зональные особенности его отклика.
Физические и химические свойства почв. За исключением отдельных показателей, изученные торфяные почвы в целом характеризовались схожими физическими и химическими свойствами (табл. 2).
Таблица 2. Физические и химические свойства образцов почв (среднее ± SE, n = 3)
Природная зона | Почва | Горизонт | Степень разложения, % | Влажность | рНН2О | Сырая зола | Собщ | Nобщ | Слаб, мг/кг | |
% от массы* | % от ПВ** | % | ||||||||
Южная тундра | Торфяная олиготрофная мерзлотная | ТО | 15–25 | 867 | 70 | 3.5 ± 0.0 | 7.8 ± 1.0 | 42.7 ± 1.4 | 0.8 ± 0.2 | 581 ± 13 |
Северная тайга | Торфяная олиготрофная мерзлотная | ТО | 15–25 | 853 | 34 | 4.3 ± 0.2 | 8.1 ± 2.7 | 43.6 ± 1.9 | 1.0 ± 0.3 | 1006 ± 49 |
Хвойно-широколиственные леса | Торфяная олиготрофная типичная | ТО | 5–15 | 1373 | 44 | 3.5 ± 0.2 | 2.0 ± 0.0 | 44.4 ± 1.1 | 0.8 ± 0.2 | 1237 ± 84 |
* Весовая влажность, %.
** Доля весовой влажности от полной влагоемкости (ПВ), %.
Все горизонты ТО исследованных почв характеризуются слабым разложением растительного материала (5–25%). Значения массовой влажности практически идентичны для образцов южной тундры и северной тайги, но существенно (в 1.6 раза) выше для образцов торфяной олиготрофной типичной почвы подзоны хвойно-широколиственных лесов. Влажность торфяных образцов изменяется в широком диапазоне: 34–70% от полной влагоемкости. Все торфяные образцы характеризуются кислой реакцией: значения рНН2О не превышают 4.3. Для образца подзоны хвойно-широколиственных лесов была отмечена характерная низкая зольность (2.0%); повышенные значения зольности для южной тундры и северной тайги (7.8 и 8.1%) могут быть связаны с привносом минеральных примесей в результате активно идущих криотурбационных процессов [9]. Содержание общего углерода и азота в большинстве случаев значимо не различается между изученными торфяными образцами (p < 0.05); единственным исключением является значимое различие в содержании Собщ между южной тундрой и подзоной хвойно-широколиственных лесов. Содержание Слаб устойчиво возрастает в зональном ряду, значимо увеличиваясь в 1.7 раза при переходе от южной тундры к северной тайге, что может быть связано с увеличением содержания Собщ и зональными особенностями содержания лабильного органического вещества.
Скорость минерализации органического вещества (МДПУТ). Отклик МДПУТ для всех изученных образцов последовательно увеличивался с ростом температуры (рис. 1).
Рис. 1 Экспоненциальная зависимость скорости минерализации органического вещества (МДПУТ) от температуры для образцов торфяных олиготрофных почв южной тундры (a), северной тайги (b) и подзоны хвойно-широколиственных лесов (c).
Значения МДПУТ для образца южной тундры изменялись от 1.6 ± 0.2 до 12.0 ± 0.7 мкг С–СО2/ (г ч), в холодном интервале температур (5–15°С) увеличиваясь в среднем в 2 раза, а в теплом интервале (15–25°С) – в среднем в 1.4 раза при каждом температурном шаге, который составлял 5°С. Значения МДПУТ значимо отличались при каждой из температур.
Для образца северной тайги значения МДПУТ находились в пределах 1.6 ± 0.2…9.4 ± 0.8 мкг С–СО2/(г ч). Отклик МДПУТ равномерно возрастал в холодном и теплом интервале температур, в среднем увеличиваясь в 1.6 раза при каждом температурном шаге 5°С. Для образца северной тайги также отмечены значимые различия МДПУТ при каждой из температур, при этом в интервале 10–25°С средние значения отклика были значимо ниже в сравнении с образцом южной тундры.
Отклик МДПУТ для образца подзоны хвойно-широколиственных лесов варьировал от 2.6 ± 0.3 до 16.0 ± 1.0 мкг С–СО2/(г ч) и при увеличении температуры возрастал равномерно, в среднем в 1.4–1.7 раза в зависимости от холодного или теплого интервала температур. Значения МДПУТ при каждой из температур значимо отличались, средние значения отклика образца были значимо выше в сравнении с образцами южной тундры и северной тайги.
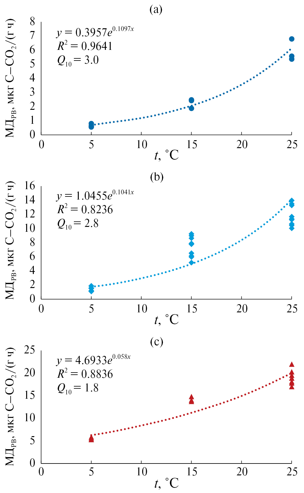
Микробное дыхание (МДРВ). Отклик МДРВ в исследуемых почвах также увеличивался с ростом температуры и характеризовался большей изменчивостью по сравнению с откликом МДПУТ (рис. 2).
Рис. 2 Экспоненциальная зависимость скорости микробного дыхания (МДРВ) от температуры для образцов торфяных олиготрофных почв южной тундры (a), северной тайги (b) и подзоны хвойно-широколиственных лесов (c).
Величины МДРВ для образца южной тундры изменялись с 0.7 до 5.9 мкг С–СО2/(г ч). С увеличением температуры наблюдался плавный рост значений МДРВ: в холодном интервале температур скорость возросла в среднем в 3.3 раза, в теплом – в 2.6 раза. Средние значения отклика МДРВ при каждой из температур значимо различались.
Значения МДРВ для почвы из северной тайги варьировали в пределах 1.5–11.8 мкг С–СО2/(г ч). Для данного образца, в отличие от образца южной тундры, был характерен более контрастный рост значений МДРВ при увеличении температуры: в холодном интервале скорость возросла в среднем 4.9 раза, в теплом – только в 1.6 раза. Различия отклика МДРВ при каждой из температур статистически значимы. В целом скорость МДРВ в образце северной тайги была в 2–3 раза выше, чем в образце южной тундры.
Отклик МДРВ для образца подзоны хвойно-широколиственных лесов находился в диапазоне 5.6–19.1 мкг С–СО2/(г ч) и также характеризовался различной изменчивостью при увеличении температуры: в холодном интервале температур скорость МДРВ в среднем возросла в 2.5 раза, в теплом – только в 1.3 раза. Средние значения скорости МДРВ статистически значимо различались при каждой из температур. Для образца подзоны хвойно-широколиственных лесов выявлена наибольшая скорость МДРВ, превышающая скорость отклика образцов южной тундры и северной тайги. В целом отклик скорости МДРВ показал четкий зональный тренд к увеличению в ряду южная тундра < северная тайга < подзона хвойно-широколиственных лесов.
Оценка коэффициента Q10 с использованием уравнения экспоненциальной зависимости. Для количественной оценки температурной чувствительности и модельного расчета коэффициента Q10 в усредненном интервале температур чаще всего используется экспоненциальная функция [61]. Экспоненциальная модель хорошо описывала отклик показателей МДПУТ/РВ на увеличение температуры. Для показателя МДПУТ модель объясняет 76–81% изменчивости его значений в зависимости от температуры. Значения коэффициента Q10, оцененные с использованием модели, слабо изменяются в зональном аспекте и варьируют в пределах 2.3–2.6.
В отношении показателя МДРВ экспоненциальная модель лучше аппроксимирует данные и объясняет 82–96% изменчивости его значений в зависимости от температуры. Значения Q10, полученные с использованием модели, характеризуются большей контрастностью и снижаются от 3.0 до 1.8 в зональном ряду южная тундра > северная тайга > подзона хвойно-широколиственных лесов. Несмотря на высокий уровень аппроксимации данных, экспоненциальная модель не отражает зависимость Q10 от температуры, вопреки общеизвестному факту об уменьшении значений данного коэффициента с увеличением температуры [42, 47], и в некоторых статьях трактуется как модель, недостаточно полно объясняющая изменения в скорости минерализации органического вещества почв [68].
Закономерности отклика температурной чувствительности в разных интервалах температур. Значения Q10, полученные расчетным методом, находились в широком диапазоне 1.3–4.8 (табл. 3), что соответствует возможным значениям данного коэффициента для торфяных почв разных климатических зон [32, 39, 65, 67].
Таблица 3. Значения коэффициента Q10 (расчетный метод, среднее ± SE)
Природная зона | Метод ПУТ (МДПУТ) | Метод РВ (МДРВ) | |||
5–15°С | 10–20°С | 15–25°С | 5–15°С | 15–25°С | |
Южная тундра | 3.6 ± 0.4 | 2.7 ± 0.4 | 2.9 ± 0.3 | 3.5 ± 0.4 | 2.6 ± 0.2 |
Северная тайга | 2.7 ± 0.3 | 2.7 ± 0.2 | 2.6 ± 0.2 | 4.8 ± 0.4 | 1.6 ± 0.2 |
Хвойно-широколиственные леса | 2.9 ± 0.3 | 2.4 ± 0.1 | 2.4 ± 0.1 | 2.5 ± 0.02 | 1.3 ± 0.04 |
Значения Q10 для образцов торфяных почв разных природных зон, полученные в результате изучения отклика МДПУТ/РВ, в целом характеризуются известной закономерностью, отмеченной в литературе: более высокие значения в холодном интервале температур (5–15°С) по сравнению с теплым (15–25°С) [24, 65, 66]. Для образцов южной тундры Q10 незначительно варьировал в холодном интервале температур (3.5–3.6), а в теплом – снижался (2.6–2.9). Для образцов северной тайги были отмечены более широкие колебания Q10 при переходе от холодного (2.7–4.8) к теплому интервалу (1.6–2.6). С ростом температуры значения Q10 cснижались и для образцов подзоны хвойно-широколиственных лесов, изменяясь от 2.5–2.9 в холодном до 1.3–2.4 в теплом интервале температур. Данная интервальная закономерность является универсальной и, предположительно, связана c более высокой энергией активации, необходимой для стимулирования отклика гетеротрофного дыхания почв при низких температурах [27, 28]. Для торфяных почв северных широт более высокая температурная чувствительность дыхания в низких интервалах температур также ранее была отмечена в литературе [23, 69]. Важно отметить, что в проведенных экспериментах интервальная зависимость Q10 более ярко выражена для показателя МДРВ по сравнению с показателем МДПУТ.
Зональные особенности температурной чувствительности образцов торфяных почв. Зональные особенности значений Q10 в наибольшей степени выражены в результатах отклика скорости МДРВ, тогда как анализ отклика МДПУТ не выявил статистически значимой разницы значений Q10 для большинства интервалов температур (p < 0.05). Значения Q10 для МДРВ имели ярко выраженные зональные тренды и снижались в ряду южная тундра > северная тайга > подзона хвойно-широколиственных лесов. В холодном интервале температур величина Q10 увеличивалась для северной тайги (4.8) по сравнению с южной тундрой (3.5), а потом резко снижалась для подзоны хвойно-широколиственных лесов (2.5), различия значимы. В теплом интервале температур значения Q10 демонстрировали более четкий зональный тренд, планомерно снижаясь от южной тундры (2.6) к северной тайге (1.6) и далее к подзоне хвойно-широколиственных лесов (1.3), различия значимы. Изменчивость значений Q10 в разных природных зонах и зональность его отклика неоднократно отмечались в литературе [24, 39, 45, 65]. Согласно результатам последних исследований, более высокие значения Q10 характерны для почв бореальных широт по сравнению с почвами умеренных и тропических широт [43, 54, 67]. Данная закономерность подтверждена и в отношении торфяных почв разных широт [23], что согласуется с настоящими результатами. Зональность значений Q10 связана с рядом факторов: различиями в характеристиках органического вещества почв (в том числе соотношение лабильной и стабильной фракций [44, 50], отношение С : N [31, 46]), изменчивостью величины чистой первичной продукции (NPP) в зависимости от климатической зоны [54], а также физиолого-биохимическими и структурно-функциональными особенностями микробных сообществ почв разных природных зон и их откликом на увеличение температуры [17, 40, 52]. Преобладание какого-либо из перечисленных факторов или, что более вероятно, их комбинация в сочетании с влиянием сезонности отбора образцов [71] чаще всего определяет зональные особенности значений Q10 для почв разных природных зон.
Влияние применяемых лабораторных методов на оценку температурной чувствительности. В настоящем исследовании изменчивость и контрастность значений Q10 напрямую определялись выбором лабораторного метода оценки температурной чувствительности. Методы ПУТ и РВ показали разную чувствительность отклика значений Q10, что согласуется с результатами предыдущего исследования [14] и данными других авторов [32]. Использование метода ПУТ выявило слабую изменчивость Q10 для большинства образцов почв разных природных зон: значения коэффициента для южной тундры снижались от 3.6 до 2.7, для северной тайги слабо изменялись в интервале 2.6–2.7 (различия во всех интервалах температур незначимы), для подзоны хвойно-широколиственных лесов плавно уменьшались от 2.9 до 2.4 (различия в интервале 10–25°С незначимы). Напротив, в результате использования метода РВ получены статистически значимые отличия значений Q10 для образцов почв всех природных зон: c увеличением температуры Q10 значимо снижался для южной тундры (с 3.5 до 2.6), северной тайги (с 4.8 до 1.6) и подзоны хвойно-широколиственных лесов (с 2.5 до 1.3).
Наблюдаемые различия в значениях Q10 могут быть объяснены субстратной особенностью метода ПУТ, связанной с большой массой образца в микрокосмах [32]. При последовательном увеличении температуры в рамках длительной инкубации первоначальный отклик быстроразлагающихся и легкодоступных фракций органического вещества замещается на отклик более труднодоступных и стабильных фракций, разложение которых характеризуется более высокой энергией активации и температурной чувствительностью, что, как следствие, поддерживает стабильность значений Q10 [26, 38]. Метод РВ предполагает использование небольшой массы образца наряду с более коротким сроком инкубации, что приводит к экспрессному отклику дыхания почвы и большей контрастности значений Q10 в различных интервалах температур. Важность вклада стабильных фракций органического вещества в дыхание почв и его значимое влияние на температурную чувствительность данного процесса неоднократно упоминались в литературе [44, 50]. Вместе с тем ряд методических исследований выявил разную зависимость значений Q10 от массы образцов почв и размера почвенных агрегатов [25, 70], что указывает на необходимость проведения дополнительных методологических исследований. Тем не менее, для лабораторных исследований температурной чувствительности дыхания торфяных олиготрофных почв и получения статистически значимых отличий в значениях Q10 более применимым является метод РВ [14].
ЗАКЛЮЧЕНИЕ
Температурная чувствительность дыхания торфяных почв характеризуется различными закономерностями отклика в зависимости от интервала температур, зональной принадлежности и выбранного лабораторного метода исследований. В холодном интервале температур (5–15°С) для всех изученных образцов почв отмечены более высокие значения коэффициента Q10 (2.5–4.8) по сравнению с теплым интервалом (1.3–2.9) (15–25°С), что хорошо согласуется с известной интервальной закономерностью отклика Q10, описанной в литературе. Полученный диапазон значений Q10 (1.3–4.8) также соответствует его возможной вариабельности для торфяных почв разных климатических зон.
В отношении межзональных трендов значения Q10 снижались от торфяных почв северных широт к умеренным. Данная закономерность наиболее четко выражена в отклике МДРВ: величина Q10 для торфяных образцов южной тундры и северной тайги в среднем в 1.5–2 раза превышала значения образцов подзоны хвойно-широколиственных лесов, что соответствует зональному распределению значений Q10, описанному в литературных источниках.
Использование метода РВ приводит к получению более контрастных оценок отклика Q10 и позволяет зафиксировать статистически значимые различия коэффициента для разных интервалов температур и природных зон, что свидетельствует о его большей чувствительности и, следовательно, применимости в лабораторных исследованиях. Напротив, применение метода ПУТ обусловливает слабую изменчивость значений Q10, что может быть связано с “субстратной” особенностью данного метода (существенным влиянием вклада стабильных фракций органического вещества в дыхание почв).
Таким образом, исследование подтверждает положение о более высокой температурной чувствительности дыхания почв северных широт по сравнению с умеренными. В случае реализации сценариев дальнейшего потепления климата торфяные почвы северных широт, с учетом их высокой температурной чувствительности и распространенности, могут являться значимым дополнительным источником эмиссии углеродсодержащих парниковых газов в атмосферу. Полученные значения Q10, принимая во внимание их интервальную и зональную принадлежность, а также изменчивость в зависимости от применяемого лабораторного метода исследований, могут быть использованы для улучшения региональных климатических моделей, учитывающих вклад торфяных почв в углеродный баланс. Для более детального прогнозирования необходимы дальнейшие исследования механизмов зонального отклика Q10, а также степени влияния применяемых лабораторных методов.
ФИНАНСИРОВАНИЕ РАБОТЫ
Работа выполнена при финансовой поддержке Российского научного фонда (проект № 23-24-00020).
СОБЛЮДЕНИЕ ЭТИЧЕСКИХ СТАНДАРТОВ
В данной работе отсутствуют исследования человека или животных.
КОНФЛИКТ ИНТЕРЕСОВ
Авторы заявляют, что у них нет конфликта интересов.
Об авторах
М. О. Тархов
МГУ им. М.В. Ломоносова
Автор, ответственный за переписку.
Email: tarkhov.mo@gmail.com
Факультет почвоведения
Россия, Ленинские горы, 1, Москва, 119991Г. В. Матышак
МГУ им. М.В. Ломоносова
Email: tarkhov.mo@gmail.com
Факультет почвоведения
Россия, Ленинские горы, 1, Москва, 119991И. М. Рыжова
МГУ им. М.В. Ломоносова
Email: tarkhov.mo@gmail.com
Факультет почвоведения
Россия, Ленинские горы, 1, Москва, 119991О. Ю. Гончарова
МГУ им. М.В. Ломоносова
Email: tarkhov.mo@gmail.com
Факультет почвоведения
Россия, Ленинские горы, 1, Москва, 119991С. В. Чуванов
МГУ им. М.В. Ломоносова; Почвенный институт им. В.В. Докучаева
Email: tarkhov.mo@gmail.com
Россия, Ленинские горы, 1, Москва, 119991; Пыжевский пер., 7, стр. 2, Москва, 119017
М. В. Тимофеева
МГУ им. М.В. Ломоносова; Почвенный институт им. В.В. Докучаева
Email: tarkhov.mo@gmail.com
Россия, Ленинские горы, 1, Москва, 119991; Пыжевский пер., 7, стр. 2, Москва, 119017
Список литературы
- Вадюнина А.Ф., Корчагина З.А. Методы исследования физических свойств почв. М.: Агропромиздат, 1986. 416 с.
- Вомперский С.Э., Сирин А.А., Цыганова О.П., Валяева Н.А., Майков Д.А. Болота и заболоченные земли России: попытка анализа пространственного распределения и разнообразия // Известия РАН. Сер. географическая. 2005. № 5. С. 39–50.
- Гончарова О.Ю., Матышак Г.В., Тимофеева М.В., Чуванов С.В., Тархов М. О., Исаева А.И. Эмиссия СО2 почвами экотонной зоны севера Западной Сибири // Почвоведение. 2023. № 9. С. 1034–1048.
- Курганова И.Н., Лопес де Гереню В.О., Галлардо Ланчо Х.Ф., Ем К.Т. Оценка скорости минерализации органического вещества почв в лесных экосистемах внутриконтинентального умеренного, средиземноморского и тропического муссонного климата // Почвоведение. 2012. № 1. С. 82–94.
- Курганова И.Н., Лопес де Гереню В.О., Мякшина Т.Н., Сапронов Д.В., Хорошаев Д.А., Аблеева В.А. Температурная чувствительность дыхания почв луговых ценозов в зоне умеренно-континентального климата: анализ данных 25-летнего мониторинга // Почвоведение. 2023. № 9. С. 1059–1076.
- Ларгин И.Ф., Корчунов С.С., Малков Л.М. Справочник по торфу. М.: Недра, 1982, 760 с.
- Макаров М.И., Шулева М.С., Малышева Т.И., Меняйло О.В. Растворимость лабильных форм углерода и азота почв в К2SO4 разной концентрации // Почвоведение. 2013. № 4. С. 408–413.
- Матвиенко А.И., Громова М.С., Меняйло О.В. Влияние внесения минерального азота и глюкозы на температурную чувствительность (Q10) минерализации органического вещества почв // Почвоведение. 2023. № 5. С. 579–585.
- Матышак Г.В., Богатырев Л.Г., Гончарова О.Ю., Бобрик А.А. Особенности развития почв гидроморфных экосистем северной тайги Западной Сибири в условиях криогенеза // Почвоведение. 2017. № 10. С. 1155–1164.
- Матышак Г.В., Тархов М.О., Рыжова И.М., Гончарова О.Ю., Сефилян А.Р., Чуванов С.В., Петров Д.Г. Оценка температурной чувствительности эмиссии СО2 с поверхности торфяных почв севера Западной Сибири методом трансплантации почвенных монолитов // Почвоведение. 2021. № 7. С. 815–826.
- Матышак Г.В., Чуванов С.В., Гончарова О.Ю., Трифонова В.А., Тимофеева М.В., Исаева А.В., Тархов М.О. Влияние влажности на эмиссию СО2 из почв бугристых торфяников севера Западной Сибири // Почвоведение. 2023. № 4. С. 450–463.
- Руководство по летней учебной практике студентов-биологов на Звенигородской биостанции им. С.Н. Скадовского / Под. ред. Гаврилова В.М. М.: Изд-во Моск. ун-та. 2011. 432 с.
- Смагин А.В. Газовая фаза почв. М.: Изд-во Моск. ун-та. 2005. 301 с.
- Тархов М.О., Матышак Г.В., Рыжова И.М., Гончарова О.Ю., Бобрик А.А., Петров Д.Г., Петржик Н.М. Температурная чувствительность дыхания почв бугристых торфяников севера Западной Сибири // Почвоведение. 2019. № 8. С. 946–955.
- Теория и практика химического анализа почв / Под ред. Воробьевой Л.А. М.: ГЕОС, 2006. 400 с.
- Трофимов В.Т., Баду Ю.Б., Васильчук Ю.К., Кашпернюк П.И., Кудряшов В.Г, Фирсов Н.Г. Геокриологическое районирование Западно-Сибирской плиты. М.: Наука, 1987. 224 с.
- Хатит Р.Ю., Сушко С.В., Иващенко К.В., Ананьева Н.Д., Бочко ТФ. Температурная чувствительность минерализации органического вещества и функциональное разнообразие микробного сообщества почв городских парков вдоль широтного градиента // Вестник Моск. ун-та. 2021. Сер. 17, почвоведение. № 4. С. 47–55.
- Хомутов А.В., Бабкин Е.М., Тихонравова Я.В., Хайрулин Р.Р., Дворников Ю.Н., Бабкина Е.А., Каверин Д.А. и соавт. Комплексные исследования криолитозоны северо-восточной части Пур-Тазовского междуречья // Научный вестник Ямало-Ненецкого автономного округа. 2019. https://doi.org/10.26110/ARCTIC.2019.102.1.008
- Ananyeva N.D., Susyan E.A., Chernova O.V., Wirth S. Microbial respiration activities of soils from different climatic regions of European Russia // Eur. J. Soil Biol. 2008. V. 44. P. 147–157.
- Anderson J.P.E., Domsch K.H. A physiological method for the quantitative measurement of microbial biomass in soils // Soil Biol. Biochem. 1978. V. 10. P. 215–221.
- Bekku Y.S., Nakatsubo T., Kume A., Adachi M., Koizumi H. Effect of warming on the temperature dependence of soil respiration rate in arctic, temperate and tropical soils // Appl. Soil Ecology. 2003. V. 22. P. 205–210.
- Biskaborn B., Smith S., Noetzli J., Matthes H., Vieira G., Streletskiy D., Schoeneich P. et al. Permafrost is warming at a global scale // Nature Communication. 2019. V. 10. P. 264. https://doi.org/10.1038/s41467-018-08240-4
- Byun E., Rezanezhad F., Fairbairn L., Slowinski S., Basiliko N., Price J., Ouinton W. et al. Temperature, moisture and freeze–thaw controls on CO2 production in soil incubations from northern peatlands // Scientific Reports. 2021. V. 11. P. 23219. https://doi.org/10.1038/s41598-021-02606-3
- Chen S., Wang J., Zhang T., Hu Z. Climatic, soil, and vegetation controls of the temperature sensitivity (Q10) of soil respiration across terrestrial biomes // Global Ecology and Conservation. 2020. V. 22. https://doi.org/10.1016/j.gecco.2020.e00955
- Chen X., Tang J., Jiang L., Li B., Chen J., Fang C. Evaluating the impacts of incubation procedures on estimated Q10 values of soil respiration // Soil Biol. Biochem. 2010. V. 42. P. 2282–2288.
- Conant R., Drijber R., Haddix M.L., Parton W.J., Paul E., Plante A.F., Six J. et al. Sensitivity of organic matter decomposition to warming varies with its quality // Global Change Biology. 2008. V. 14. P. 868–877.
- Conant R., Ryan M., Agren G., Birge H.E., Davidson E.A., Eliasson P.E., Evans S.E. et al. Temperature and soil organic matter decomposition rates–synthesis of current knowledge and a way forward // Global Change Biology. 2011. V. 17(11). P. 3392–3404.
- Davidson E.A., Janssens I.A Temperature sensitivity of soil carbon decomposition and feedbacks to climate change // Nature. 2006. V. 440. P. 165–173.
- Girkin N.T., Dhandapani S., Evers S., Ostle N., Turner B.L., Sjogersten S. Interactions between labile carbon, temperature and land use regulate carbon dioxide and methane production in tropical peat // Biogeochemistry. 2020. V. 147. P. 87–97.
- Gorham E. Northern Peatlands: Role in the Carbon Cycle and Probable Responses to Climatic Warming // Ecological Applications. 1991. V. 1. P. 182–195.
- Haddix M. L., Plante A. F., Conant R. T., Six J., Steinweg J. M., Magrini‐Bair K., Paul E. A The role of soil characteristics on temperature sensitivity of soil organic matter // Soil Sci. Soc. Am. J. 2011. V. 75. P. 56–68. https://doi.org/10.2136/sssaj2010.0118
- Hamdi S., Moyano F., Sall S., Bernoux M., Chevallier T. Synthesis analysis of the temperature sensitivity of soil respiration from laboratory studies in relation to incubation methods and soil conditions // Soil Biol. Biochem. 2013. V. 58. P. 115–126.
- Helbig M., Humphreys E.R., Todd A. Contrasting Temperature Sensitivity of CO2 Exchange in Peatlands of the Hudson Bay Lowlands, Canada // J. Geophys. Res.: Biogeosciences. 2019. V. 124. P. 2126–2143.
- Hilasvuori E., Akujärvi A., Fritze H., Karhu K., Laiho R., P. Mäkiranta, Oinonen M. et al. Temperature sensitivity of decomposition in a peat profile // Soil Biol. Biochem. 2013. V. 67. P. 47–54.
- Hugelius G., Loisel J., Chadburn S., Yu Z. Large stocks of peatland carbon and nitrogen are vulnerable to permafrost thaw // Proceedings of the National Academy of Sciences. 2020. V. 117(34). P. 20438–20446.
- IPS 2008. Peatlands and Climate Change. International Peat Society, Finland.
- IUCN 2021. Issues Brief November 2021. Peatlands and Climate change. International Union for Conservation of Nature. Gland, Switzerland.
- Jia Y., Kuzyakov Y., Wang G., Tan W., Zhu B., Feng X. Temperature sensitivity of decomposition of soil organic matter fractions increases with their turnover time // Land Degradation Development. 2020. V. 31. P. 632–645. https://doi.org/10.1002/ldr.3477
- Johnston A.S.A., Sibly R.M. The influence of soil communities on the temperature sensitivity of soil respiration // Nature Ecology Evolution. 2018. V. 2. P. 1597–1602.
- Karhu K., Auffret M D., Dungait J.A., Hopkins D.W., Prosser J.I., Singh B.K., Subke J.-A. et al. Temperature sensitivity of soil respiration rates enhanced by microbial community response // 2014. Nature. V. 513. P. 81–84. https://doi.org/10.1038/nature13604
- Kirschbaum M.U.F. The temperature dependence of organic matter decomposition–still a topic of debate // Soil Biol. Biochem. 2006. V. 38. P. 2510–2518.
- Kirschbaum M.U.F. The temperature dependence of soil organic matter decomposition and the effect of global warming on soil organic C storage // Soil Biol. Biochem. 1995. V. 27. P. 753–760.
- Koven C.D., Hugelius G., Lawrence D.M., Wieder W.R. Higher climatological temperature sensitivity of soil carbon in cold than warm climates // Nature Climate Change. 2017. https://doi.org/10.1038/NCLIMATE3421
- Laub M., Ali R.S., Demyan M.S., Nkwain Y.F., Poll C., Hogy P., Poyda A. et al. Modelling temperature sensitivity of soil organic matter decomposition: Splitting the pools // Soil Biol. Biochem. 2021. V. 153. https://doi.org/10.1016/j.soilbio.2020.108108
- Li J., Pei J., Pendall E., Fang C., Nie M. Spatial heterogeneity of temperature sensitivity of soil respiration: A global analysis of field observations // Soil Biol. Biochem. 2020. V. 141. https://doi.org/10.1016/j.soilbio.2019.107675
- Liu Y., He N., Zhu J., Xu L., Yu G., Niu S., Sun X. et al. Regional variation in the temperature sensitivity of soil organic matter decomposition in China’s forests and grasslands // Global Change Biology. 2017. V. 23. P. 3393–3402. https://doi.org/10.1111/gcb.13613
- Lloyd J., Taylor J.A. On the temperature dependence of soil respiration // Functional Ecology. 1994. V. 8. P. 315–323.
- Meyer N., Welp G., Amelung W. The Temperature Sensitivity (Q10) of Soil Respiration: Controlling Factors and Spatial Prediction at Regional Scale Based on Environmental Soil Classes // Global Biogeochemical Cycles. 2018. V. 32. P. 306–323. https://doi.org/10.1002/2017GB005644
- Mundim K.C., Baraldi S., Machado H.G., Vieira F.M.C. Temperature coefficient (Q10) and its applications in biological systems: Beyond the Arrhenius theory // Ecological Modelling. 2020. V. 431. https://doi.org/10.1016/j.ecolmodel.2020.109127
- Numa K.B., Robinson J.M., Arcus V.L. Schipper L.A. Separating the temperature response of soil respiration derived from soil organic matter and added labile carbon compounds // Geoderma. 2021. V. 400. https://doi.org/10.1016/j.geoderma.2021.115128
- Peng S., Piao S., Wang T., Sun J., Shen Z. Temperature sensitivity of soil respiration in different ecosystems in China // Soil Biolo. Biochem. 2009. V. 41. P. 1008–1014.
- Qin S., Chen L., Fang K., Zhang Q., Wang. J., Liu F., Yu J., Yang Y. Temperature sensitivity of SOM decomposition governed by aggregate protection and microbial communities // Sci. Adv. 2019. V. 5. https://doi.org/10.1126/sciadv.aau121
- Rantanen M., Karpechko A.Y., Lipponen A., Nordling K., Hyvärinen O., Ruosteenoja K., Vihma T., Laaksonen A. The Arctic has warmed nearly four times faster than the Globe since 1979 // Commun. Earth Environ. 2022. V. 3(168).
- Ren S., Ding Z., Yan Z., Cao Y., Li J., Wang Y., Liu D. et al. Higher Temperature Sensitivity of Soil C Release to Atmosphere from Northern Permafrost Soils as Indicated by a Meta‐Analysis // Global Biogeochemical Cycles. 2020. V. 34. https://doi.org/10.1029/2020GB006688
- Rey A., Petsikos C., Jarvis P.G., Grace J. Effect of temperature and moisture on rates of carbon mineralization in a Mediterranean oak forest soil under controlled and field conditions // Eur. J. Soil Sci. 2005. V. 56. P. 589–599.
- Ribeiro K., Pacheco F.S., Ferreira J.W., Rodrigues de Sousa-Neto E., Hastie A., Krieger Filho G.C., Alvala P.C. et al. Tropical peatlands and their contribution to the global carbon cycle and climate change // Global Change Biology. 2021. V. 27(3). P. 489–505.
- Sirin A., Medvedeva M., Korotkov V., Itkin V., Minayeva T., Ilyasov., Suvorov G., Joosten H. Addressing Peatland Rewetting in Russian Federation Climate Reporting // Land 2021. V. 10. https://doi.org/10.3390/land10111200
- Smith V.R. Moisture, carbon and inorganic nutrient controls of soil respiration at a sub-Antarctic Island // Soil Biol. Biochem. 2005. V. 37. P. 81–91.
- Song Y., Liu C., Song C., Wang X., Ma X., Gao J., Gao S., Wang L. Linking soil organic carbon mineralization with soil microbial and substrate properties under warming in permafrost peatlands of Northeastern China // Catena. 2021. V. 203. https://doi.org/10.1016/j.catena.2021.105348
- Swails E.E., Ardon M., Krauss K.W., Peralta A.L., Emanuel R.E., Helton A.M., Morse J.L. et al. Response of soil respiration to changes in soil temperature and water table level in drained and restored peatlands of the south-eastern United States // Carbon Balance and Management. 2022. V. 17. P. 18. https://doi.org/10.1186/s13021-022-00219-5
- Tuomi M., Vanhala P., Karhu K., Fritze H., Liski J. Heterotrophic soil respiration–comparison of different models describing its temperature dependence // Ecological Modelling. 2008. V. 211. P. 182–190.
- UNEP 2022. Global Peatlands Assessment – The State of the World’s Peatlands: Evidence for action toward the conservation, restoration, and sustainable management of peatlands. Main Report. Global Peatlands Initiative. United Nations Environment Programme, Nairobi.
- von Lützow M., Kögel-Knabner I. Temperature sensitivity of soil organic matter decomposition – what do we know? // Biology and Fertility of Soils. 2009. V. 46. P. 1–15.
- Wang G., Zhou Y., Xu X., Ruan H., Wang J. Temperature Sensitivity of Soil Organic Carbon Mineralization along an Elevation Gradient in the Wuyi Mountains, China // PLoS ONE. 2013. V. 8(1). https://doi.org/10.1371/journal.pone.0053914.
- Wang Q., Zhao X., Chen L., Yang Q., Chen S., Zhang W. Global synthesis of temperature sensitivity of soil organic carbon decomposition: Latitudinal patterns and mechanisms // Functional Ecology. 2019. V. 33. P. 514–523.
- Wang X., Piao S., Ciais P., Janssens I.A., Reichstein M., Peng S., Wang T. Are ecological gradients in seasonal Q10 of soil respiration explained by climate or by vegetation seasonality? // Soil Biol. Biochem. 2010. V. 42. P. 1728–1734.
- Wu D., Liu S., Wu X., Yang X., Xu T., Xu Z., Shi H. Diagnosing the Temperature Sensitivity of Ecosystem Respiration in Northern High-Latitude Regions // J. Geophys. Res.: Biogeosciences. 2021. V. 126. https://doi.org/10.1029/2020JG005998
- Wu Q., Ye R., Bridgham S.D., Jin Q. Limitations of the Q10 Coefficient for Quantifying Temperature Sensitivity of Anaerobic Organic Matter Decomposition: A Modelling Based Assessment // J. Geophys. Res.: Biogeosciences. 2021. V. 126. https://doi.org/10.1029/2021JG006264
- Xiang W., Freeman C. Annual variation of temperature sensitivity of soil organic carbon decomposition in North peatlands: implications for thermal responses of carbon cycling to global warming // Environ. Geology. 2009. V. 58. P. 499–508.
- Yang C., Liu N., Zhang Y. Effects of aggregates size and glucose addition on soil organic carbon mineralization and Q10 values under wide temperature change conditions // Eur. J. Soil Biol. 2017. V. 80. P. 77–84.
- Yang S., Wu H., Wang Z., Semenov M.V., Ye J., Yin L., Wang X. et al. Linkages between the temperature sensitivity of soil respiration and microbial life strategy are dependent on sampling season // Soil Biol. Biochem. 2022. V. 172. https://doi.org/10.1016/j.soilbio.2022.108758
- Yu Z., Loisel J., Brosseau D.P., Beilman D.W., Hunt S.J. Global peatland dynamics since the Last Glacial Maximum // Geophys. Res. Lett. 2010. V. 37(13). P. 4071–4085. https://doi.org/10.1029/2010GL043584
Дополнительные файлы




