Модельные оценки изменений запасов органического вещества в почвах лесных территорий Европейской России при разных режимах лесопользования
- Авторы: Припутина И.В.1, Шанин В.Н.1,2, Фролов П.В.1, Чумаченко С.И.2,3, Тебенькова Д.Н.2
-
Учреждения:
- Институт физико-химических и биологических проблем почвоведения Российской академии наук
- Центр по проблемам экологии и продуктивности лесов Российской академии наук
- Мытищинский филиал Московского государственного технического университета им. Н.Э. Баумана
- Выпуск: № 11 (2024)
- Страницы: 1639-1654
- Раздел: ПРИМЕНЕНИЕ МОДЕЛИРОВАНИЯ ДЛЯ ОЦЕНКИ И ПРОГНОЗА ИЗМЕНЕНИЙ ЗАПАСОВ УГЛЕРОДА ПОЧВ
- URL: https://ogarev-online.ru/0032-180X/article/view/280563
- DOI: https://doi.org/10.31857/S0032180X24110156
- EDN: https://elibrary.ru/JMYGSQ
- ID: 280563
Цитировать
Полный текст
Аннотация
Результаты моделирования динамики запасов органического вещества в лесных почвах обсуждаются с позиций прогнозной оценки стока углерода в зависимости от лесорастительных условий и режимов лесопользования. Биологический круговорот в системе почва–древостой моделировали с использованием отечественных имитационных моделей FORRUS-S, Romul_Hum, SCLISS. Вычислительные эксперименты выполняли на примере территорий трех лесничеств и природного заповедника, расположенных в Республике Карелия, Нижегородской, Московской и Брянской областях, что соответствует градиенту зональных условий от средней тайги до подзоны широколиственных лесов. Для моделирования долговременной (100 лет) динамики лесов использовали имеющиеся для всех объектов исследования данные лесной таксации по выделам. Расчеты почвенных пулов Сорг выполняли отдельно для каждого таксационного выдела, используя в качестве начальных данных соответствующие ему характеристики древостоя (средняя высота, диаметр, полнота, запас) и почвы (содержание С и N в лесной подстилке и органо-минеральных горизонтах), что позволило учесть пространственную вариабельность лесорастительных условий и сукцессионную смену видов в результирующих территориальных оценках почвенного стока углерода. В условиях заповедного режима для всех территорий прогнозируется рост почвенных запасов органического вещества в среднем за 100 лет на 35–80 т С/га от первоначальных значений. Проведение рубок разной интенсивности снижает возможный сток Сорг в почвах в среднем на 30–50 т/га по сравнению с заповедным режимом. Региональные особенности динамики органического вещества проявляются в разном соотношении накопления пулов углерода в органогенных и органо-минеральных горизонтах почв.
Ключевые слова
Полный текст
ВВЕДЕНИЕ
Роль органического вещества лесных почв в связывании атмосферного углерода, поддержании продукционного потенциала древостоев и обеспечении других экосистемных функций лесов является общепризнанной [41, 47]. Секвестрация углерода в результате реализации стратегии устойчивого лесопользования рассматривается как один из предпочтительных вариантов смягчения последствий выбросов парниковых газов и их компенсации для национальных углеродных бюджетов [39, 54, 58]. Для разномасштабных оценок пулов углерода лесных почв используют различные подходы [16, 31, 53], включая математическое моделирование [49, 51].
Основным источником образования почвенного органического вещества (ПОВ) является наземная растительность, которая формирует видоспецифичные фракции (когорты) поверхностных и внутрипочвенных опадов, а также корневые экссудаты и другие органические соединения, выделяемые в ризосферу [23, 45, 50, 59]. Результаты многих исследований демонстрируют, что растительность влияет на накопление, стойкость и высвобождение ПОВ посредством различных механизмов. Исследование стабильности ПОВ, образуемого под мелколиственными или хвойными древостоями, показало, что почвенные запасы Сорг зависят от типа насаждений [52], хотя в работе [16] воздействие породы на запасы ПОВ не было статистически значимым, в отличие от типа почвы. Помимо этого, растительный покров оказывает влияние на температуру и влажность почвы, активность почвенной биоты и другие свойства почв, регулирующие процессы трансформации ПОВ [6, 12, 36, 57].
Соответственно, изменения в составе растительности в результате естественных сукцессий, хозяйственных и других воздействий оказывают заметное влияние на динамику ПОВ и связанные с ним условия функционирования почв и фитоценозов [4, 24, 28, 40, 42]. Прямое воздействие смены растительности и формируемого растительного опада на эффективность использования субстрата и включение углерода в микробную биомассу изучалось в исследовании [46] с использованием 13C, показавшем, что переход от ели (Picea mariana) к осине (Populus tremula) может сопровождаться потерями углерода в подстилке в результате более активного микробного дыхания, тогда как на включение Cорг в микробную биомассу и, далее, в более стабильный пул углерода почвы смена видов может не повлиять. Согласно [32], присутствие пихты (Abies balsamea) и бука (Fagus grandifolia) в лесах с преобладанием клена (Аcer sаccharum) влияет на дыхание почвы в противоположных направлениях из-за их различий в экофизиологической активности этих видов, улавливании света и качестве формируемых подстилок. Таким образом, создание лесных насаждений, более активно связывающих углерод и формирующих более стойкое ПОВ, может быть способом повышения стока углерода [33, 45].
Следует отметить, что процессы трансформации лесных биогеоценозов в результате смены видов древесного яруса имеют нелинейный характер [56], что важно учитывать при разработке технологий лесовыращивания, направленных на смягчение последствий глобального изменения климата или получение других экосистемных услуг. В этой связи возрастает роль имитационных моделей, позволяющих моделировать процессы биогенного круговорота углерода с учетом прямых и обратных связей между основными компонентами экосистем [43]. Подобная задача решается на основе интеграции нескольких моделей в соответствии с компонентной структурой лесов [3, 27, 51]. Именно этот подход использован в настоящей работе для оценки изменений запасов ПОВ в лесах нескольких регионов Европейской России, соответствующих градиенту зональных условий от средней тайги до подзоны широколиственных лесов.
Цель исследования – анализ долговременной динамики запасов органического вещества в почвах в зависимости от лесорастительных условий и режимов лесопользования. Вычислительные эксперименты выполнены для четырех лесных территорий уровня лесничеств и заповедника. В расчетах использованы данные лесной таксации, включающие повыдельную детальную информацию о составе насаждений и соответствующих им биотопах, что позволило учесть пространственную вариабельность почвенных условий и характеристик древесного яруса в результирующих территориальных оценках динамики ПОВ и нетто-поглощения углерода.
ОБЪЕКТЫ И МЕТОДЫ
Краткая характеристика объектов исследования. В качестве объектов исследования (рис. 1) рассмотрены территории трех лесничеств – Пряжинского (Республика Карелия), Воскресенского (Нижегородская область) и Данковского (Московская область), а также заповедника “Брянский лес” (Брянская область), что отражает широкий спектр почвенно-растительных условий лесной зоны Европейской России. Пространство каждого из этих объектов разделено на таксационные выделы (порядка нескольких тысяч; площадью от 0.1 до 20 га каждый), которые представляют собой участки леса, относительно однородные по видовому составу, возрастной структуре и эдафическим условиям.
Рис. 1. Географическое положение объектов исследования и соотношение количества таксационных выделов разных ТЛУ на территориях лесничеств.
Пряжинское центральное лесничество расположено в Республике Карелия в подзоне средней тайги; координаты географического центра – 61.603° N, 33.368° E; общая площадь лесопокрытых земель – 16825 га, соответствующее ей число лесотаксационных выделов – 3464. Климат района относительно мягкий, умеренно-континентальный, близкий к морскому, с обилием осадков. Среднегодовая температура воздуха (Тв) составляет 2.7 ± 0.9°С, среднее количество осадков – 721.2 ± 94.4 мм в год. В почвенном покрове доминируют подзолы (Carbic Podzols) и дерново-подзолы (Albic Podzols (Histic)), сформированные на песчаных отложениях и супесчаной морене [17]. Зональная растительность представлена еловыми (Picea abies) и сосновыми (Pinus sylvestris) лесами с преобладанием зеленомошных, чернично-зеленомошных и черничных типов леса. В результате естественного возобновления древесной растительности после рубок значительные площади заняты средневозрастными мелколиственными лесами с доминированием березы (Betula spp.).
Воскресенское лесничество расположено в северной части Нижегородской области, в подзоне южной тайги; географические координаты центра – 56.984° N, 45.370° E; площадь лесопокрытых земель – 8169 га, соответствующее количество таксационных выделов – 1865. Район характеризуется более теплым климатом (Тв = 4.6 ± 0.9°С) и чуть бóльшим количеством осадков (в среднем 749.9 ± 117.0 мм в год). Преобладающий тип почв – дерново-подзолы (Albic Podzols (Rustic, Folic)) супесчаного и суглинистого гранулометрического состава [9]. Леса преимущественно средневозрастные хвойно-мелколиственные из Pinus sylvestris, Betula spp. и осины (Populus tremula).
Данковское участковое лесничество (филиал “Русский лес” ГКУ МО “Мособллес”) расположено на юге Московской области в подзоне хвойно-широколиственных лесов; координаты географического центра 54.928° N, 37.558° E; площадь лесопокрытых земель – 6838 га, соответствующее количество выделов – 2302. Условия Южного Подмосковья характеризуются умеренно континентальным климатом (Тв = 5.3 ± 1.0°С; среднее количество осадков 630.5 ± 104.9 мм/год). В условиях преобладания песчаных отложений наибольшее распространение имеют дерново-подбуры (Entic Podzols (Carbic)), дерново-подзолы (Albic Podzols), торфяно-подзолы иллювиально-гумусовые (Histic Podzols (Rustic)), а также глееземы (Gleysols) [14]. Зональный тип растительности – полидоминантные хвойно-широколиственные леса; на территории лесничества преобладают преимущественно средневозрастные древостои из пионерных видов (Pinus sylvestris, Betula spp. и Populus tremula).
Заповедник “Брянский лес” расположен в юго-западной части Брянской области, в подзоне широколиственных лесов; координаты географического центра 52.503° N, 33.999° E; площадь лесопокрытых земель – 11271 га, соответствующее количество таксационных выделов – 3449. Территория характеризуется умеренно теплым и относительно влажным климатом (Тв = 6.1 ± 1.1°С; среднее количество осадков 667.6 ± 77.8 мм в год). Почвы заповедника представлены разными вариантами дерново-подзолов (Albic Podzols (Rustic, Folic)), преимущественно песчаного и супесчаного гранулометрического состава [10]. В лесном фонде преобладают средневозрастные леса, образованные Pinus sylvestris, Betula pendula Roth и Betula pubescens Ehrh. Включение заповедника в число объектов исследования объясняется наличием для его территории репрезентативных данных о лесорастительных условиях подзоны широколиственных лесов, что расширило рассматриваемый зональный градиент. Дополнительная информация обо всех объектах исследования представлена в табл. S1.
Имитационные модели. В вычислительных экспериментах использовали комплекс имитационных моделей, созданных в разные годы российскими исследователями с учетом специфики имеющихся для лесов РФ почвенных и лесотаксационных данных. Моделирование продукционной ветви биогенного круговорота углерода в лесных экосистемах выполнено с использованием динамической модели многовидового разновозрастного древостоя FORRUS-S (FORest of RUSsia-Stand) [35]. Модель относится к классу эколого-физиологических, пространственно-ориентированных моделей древостоя и предназначена для прогнозирования динамики таксационных характеристик многовидовых разновозрастных насаждений. В качестве видоспецифичных параметров модель использует биоэкологические данные (темпы роста разных видов деревьев в разных онтогенетических состояниях, отношение к свету, семенная и порослевая продуктивность и др.). Входными данными модели являются стандартные таксационные описания выделов (видовой состав древостоя, средние возраст, диаметр и высота, ТЛУ и др.), планы лесных насаждений. Временной шаг модели – 5 лет. В ходе моделирования прогнозируются изменения средних таксационных показателей (высоты, диаметра, полноты, запаса и др.) для разных когорт (одновозрастных групп одного вида) деревьев, а также изменение видового (породного) и возрастного состава каждого выдела. Вычисление приростов основано на расчете световых условий в трехмерном моделируемом пространстве с учетом положения когорты в лесном пологе и потенциальных темпов роста, определяемых ТЛУ. Рост древостоя корректируется по условиям освещенности для одновозрастных групп древесных пород с учетом условий их развития в многовидовых разновозрастных древостоях на квадратных участках размером около 300 м2 по пространственной решетке. Подобная корректировка соответствует процессным моделям экофизиологического отклика на условия дефицита ресурса.
Для моделирования динамики ПОВ использована модель Romul_Hum [34, 44], которая позволяет вычислять скорости минерализации и гумификации различных когорт наземного и подземного опада с оценкой пулов C и N в лесной подстилке и в органо-минеральных горизонтах почвы. Факторами, определяющими динамику ПОВ в модели Romul_Hum, служат качество опада (отношение C : N, зольность, содержание лигнина), а также гидротермические (температура и влажность подстилки, температура и влажность верхнего (0–30 см) корнеобитаемого слоя) и физико-химические (гранулометрический состав, рН) характеристики почвенных горизонтов. В отличии от большинства других почвенных моделей Romul_Hum позволяет дополнительно вычислять вклад почвенной фауны в процессы минерализации и гумификации. Верификация Romul_Hum по данным длительных полевых измерений почвенного дыхания двух вариантов лесных почв (дерново-подбура и серой лесной) показала хорошую сопоставимость натурных и расчетных оценок потоков СО2 из почв разных типов леса [18, 19]. Для определения средних месячных значений температуры и влажности лесной подстилки и органо-минеральной части почвенного профиля модель Romul_Hum дополнена статистическим генератором данных о гидротермических условиях почвы SCLISS (Soil CLImate Spatial Simulator) [1]. Для выполнения необходимых расчетов SCLISS использует стандартную метеорологическую информацию (длительные ряды данных о температуре воздуха и количестве осадков или их средние многолетние значения и стандартное отклонение).
Проведенная ранее интеграция моделей (рис. 2) позволила реализовать обмен данными между ними [3]. FORRUS-S передает в Romul_Hum данные о количестве растительного опада (отдельно по каждому древесному виду и фракции фитомассы – стволов с корой, ветвей, листвы или хвои, скелетных и тонких корней), а в SCLISS – данные о составе древесного яруса (его видовой состав и общая сомкнутость крон). SCLISS использует данные о видовом составе и сомкнутости древостоя для конверсии метеорологических данных в показатели гидротермических условий почвенных горизонтов, влияющих на коэффициенты скоростей трансформации растительных опадов в модели Romul_Hum. SCLISS передает в Romul_Hum данные о температуре органогенного (лесная подстилка) и органо-минеральных горизонтов, данные об объемной влажности тех же горизонтов, а также расчетные значения влажности завядания, наименьшей полевой влагоемкости и полной влагоемкости органо-минеральных горизонтов. В свою очередь, Romul_Hum передает в SCLISS данные о содержании углерода в подстилке, что используется для расчета объемной плотности подстилки. Таким образом, комплекс моделей FORRUS-S – Romul_Hum – SCLISS позволяет динамически оценивать влияние изменений в структуре древесной растительности (вследствие естественного развития древостоев или лесохозяйственной деятельности) на условия под пологом леса, динамику запасов и распределение органического вещества в лесных почвах.
Рис. 2. Схема интеграции имитационных моделей FORRUS-S (моделирует динамику древостоя), Romul_Hum (моделирует динамику ПОВ) и SCLISS (моделирует гидротермический режим почв): пунктирные стрелки – входные данные моделей; сплошные стрелки – обменные данные.
Входные данные для вычислительных экспериментов. Пространственное разнообразие почвенно-растительных условий в пределах каждой из рассматриваемых территорий определено по данным лесной таксации. Для характеристики эдафических условий биотопов в российском лесоведении традиционно используется классификация ТЛУ по системе Крюденера–Алексеева–Погребняка [2, 25]. В соответствии с этой классификацией, разнообразие условий произрастания лесов европейской части России по богатству почв элементами питания подразделяют на 4 градации: бедные (условное обозначение А), относительно бедные (B), относительно богатые (С), богатые (D). По степени увлажнения выделяют сухие (1), свежие (2), влажные (3), сырые (4), мокрые (5). Соответственно, варианты ТЛУ имеют буквенно-численные обозначения, например, А2, В3, С2 и т.п. (табл. S2). Соотношение количества таксационных выделов разных ТЛУ для объектов исследования представлено на рис. 1.
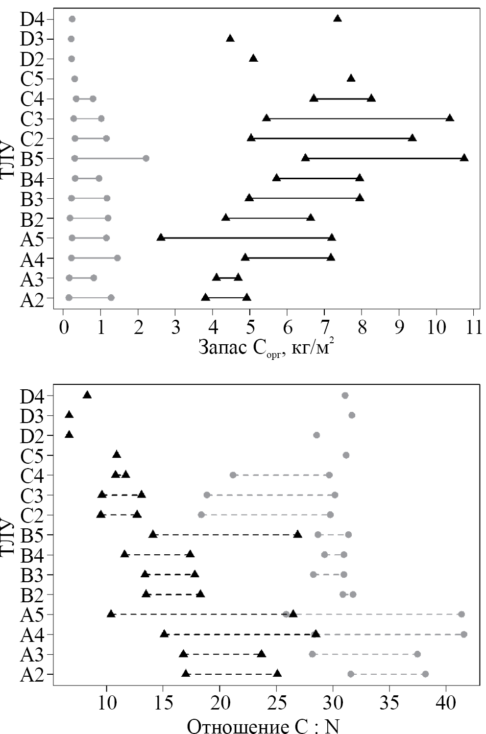
Необходимые для моделирования начальные характеристики пулов углерода и азота в лесной подстилке и органо-минеральной части почвенного профиля для зональных типов почв и вариантов ТЛУ были оценены по обобщенным литературным данным [13] с корректировкой по Единому государственному реестру почвенных ресурсов России [6]. Для калибровки начальных величин использована процедура инициализации модели “spin-up”. Это предварительный запуск модели Romul_Hum, который проводили до стабилизации (достижения состояния количественного равновесия) в поступающих опадах и запасах углерода и азота в почве. Период “spin-up” составил 120 шагов модели (или 10 лет), а отклонения полученных после этой процедуры значений запасов Сорг и Nобщ для всех выделов не превышали 15% от начальных величин. Вычисленные значения запасов углерода и азота в лесной подстилке и органо-минеральной части почв были осреднены по группам ТЛУ–доминант древостоя и использованы в качестве начальных параметров в основных модельных прогонах. Рассчитанные значения запасов ПОВ (в пересчете на углерод) и показатели C : N в органогенных и органо-минеральных горизонтах почв разных ТЛУ представлены на рис. 3.
Рис. 3. Диапазон запасов ПОВ и C : N в почвах разных ТЛУ (серый цвет – данные для лесной подстилки, черный – для органо-минеральной части профиля почв).
Количество опада, формируемого древесным ярусом (включая отпад тонких и скелетных корней), рассчитывали в модели FORRUS-S с 5-летним шагом с последующим перераспределением по месяцам. Видоспецифичное содержание азота в разных фракциях опада взято из работы [27]. Поступление соединений азота с атмосферными осадками определяли по литературным данным [15]: для заповедника “Брянский лес” и Пряжинского лесничества оно составило 4.8 кг/га в год (в пересчете на азот), для Данковского лесничества – 6.0, для Воскресенского лесничества – 7.2 кг/га в год.
Климатический и лесохозяйственные сценарии. В расчетах использовали стационарный климатический сценарий; в качестве базового выбран период 1981–2011 гг. По данным за этот период для каждого объекта исследования были вычислены статистические параметры, на основе которых в SCLISS были сгенерированы региональные климатические сценарии продолжительностью 100 лет. Величины видоспецифичных коэффициентов модели SCLISS, описывающих влияние неоднородности полога леса на гидротермические условия почвы, были оценены ранее [27].
Краткая характеристика сценариев лесопользования дана в табл. 1. Сценарий “Заповедание” (NAT), реализованный для всех объектов, соответствовал условиям естественного развития древостоев (начиная с возраста, указанного в данных таксации), что предполагало не только поступление в почву всей фитомассы, формируемой древостоями в ходе развития, но и возможную смену их видового состава в результате сукцессий. Лесохозяйственный сценарий, предусматривающий рубки и, соответственно, изъятие части продукции фитомассы, различался для разных объектов, что связано с объектной спецификой практики лесопользования. Для Данковского лесничества и заповедника “Брянский лес” рассмотрен сценарий “Выборочные рубки” (STH), для Пряжинского и Воскресенского лесничеств – “Интенсивное лесопользование” (IFM), предусматривающее, в том числе, сплошные рубки.
Таблица 1. Сценарии лесопользования (по данным [22])
Объект | Имитационный сценарий | Лесохозяйственные мероприятия | |||
рубка спелых и перестойных лесных насаждений | рубки ухода | лесовосстановление | уборка порубочных остатков | ||
Пряжинское лесничество | Заповедание (NAT) | – | – | – | – |
Интенсивное лесопользование (IFM) | Сплошные рубки в эксплуатационных лесах; добровольно-выборочная рубка в 2 приема в защитных; освоение расчетной лесосеки – 90% | Выполнение рубок ухода – 70%, целевые породы – сосна, ель | Искусственное заращивание – 50%, естественное – 50% | Убираются с лесосеки | |
Воскресенское лесничество | Заповедание (NAT) | – | – | – | – |
Интенсивное лесопользование (IFM) | Сплошные рубки в эксплуатационных лесах; добровольно-выборочная рубка в 2 приема в защитных; освоение расчетной лесосеки – 100%. | Выполнение рубок ухода – 100%, целевые породы – сосна, ель | Искусственное заращивание в эксплуатационных лесах, естественное – в защитных | Убираются с лесосеки | |
Данковское лесничество | Заповедание (NAT) | – | – | – | – |
Заповедник “Брянский лес” | Выборочные рубки (STH) | Добровольно-выборочная рубка в 2 приема | Полный цикл рубок ухода с ориентированием на выращивание хвойной секции | Естественное заращивание | Убираются с лесосеки |
Обработка данных. Расчеты запасов ПОВ для временного отрезка 100 лет с шагом 1 год выполняли для каждого таксационного выдела с учетом соответствующих ему начальных характеристик древостоя (видовой состав, возраст и другие таксационные показатели) и почвенных данных (запасы Сорг и Nобщ в органогенных горизонтах лесной подстилки и органо-минеральной части профиля, гранулометрический состав и др.). В качестве средней оценки динамики показателей для разных вариантов ТЛУ на каждом из объектов исследования использовали медианные значения. Проведены расчеты стока углерода в почвах за 100 лет для территорий объектов исследования на основе суммирования данных всех таксационных выделов с учетом занимаемой ими площади. Также для территорий исследования оценивали накопление углерода в древостоях и других компонентах лесных экосистем, что позволило определить вклад почв в нетто-поглощение углерода.
РЕЗУЛЬТАТЫ
Запасы органического вещества в почвах разных типов лесорастительных условий. Анализ начальных данных распределения запасов ПОВ в органогенных и органо-минеральных горизонтах почв разных ТЛУ показывает их заметное варьирование (рис. 3). В лесной подстилке углеродный пул изменяется от 0.15 до 2 кг/м2, что соответствует 1.5–20 т/га. Наиболее высокие запасы подстилки могут формироваться в более бедных и переувлажненных почвах, соответствующих ТЛУ А4, В5. Варьирование в органическом веществе лесных подстилок величин С : N, влияющих на интенсивность минерализации растительных опадов, соответствует диапазону от 18 до 44, медианное значение – около 30.
Запасы ПОВ в органо-минеральных горизонтах почв рассматриваемых лесных территорий оцениваются в диапазоне 2.5–10.6 кг/м2 (или 25–106 т/га) в пересчете на Сорг. Прослеживается закономерное увеличение запасов ПОВ для ТЛУ, характеризующихся бóльшим богатством почв (С2–С4). Повышенные запасы ПОВ обратно коррелируют с изменением величин С : N в органо-минеральной части профиля почв; минимальные показатели (С : N<10) соответствуют ТЛУ D2–D4, максимальные (С : N>20) – ТЛУ А2–А5 и В5.
Изменение запасов ПОВ в условиях заповедного режима. Сценарий “Заповедание” для всех рассматриваемых территорий предполагает рост запасов подстилки (рис. 4). Для Данковского и Пряжинского лесничеств прогнозные оценки показывают увеличение пула углерода в лесной подстилке практически всех таксационных выделов в среднем в 2.5–3.0 раза за 100 лет. Для Воскресенского лесничества и заповедника “Брянский лес” результаты расчетов прогнозируют 1.5–2-кратное повышение запасов подстилки в первые 30–40 лет с последующим сохранением накопленного углеродного пула (Воскресенское лесничество) или его снижением до близких к первоначальным значениям (заповедник “Брянский лес”). Для некоторых таксационных выделов на территории заповедника “Брянский лес” расчеты показывают небольшое снижение запасов подстилки, что может иметь место в древостоях, которые по данным лесной таксации (т.е. на начальных шагах моделирования) уже достигли старших групп возраста.
Рис. 4. Изменение запасов органического вещества в органогенных горизонтах лесной подстилки (серым – данные для таксационных выделов, цветные линии – средняя оценка для ТЛУ).
Изменение запасов ПОВ в органо-минеральных горизонтах отличается бóльшей контрастностью (рис. 5). Согласно расчетам, на всех объектах исследования присутствуют таксационные выделы, в почвах которых дополнительного накопления ПОВ не происходит даже в условиях заповедного режима. Однако для значительно бóльшего числа выделов, на всех объектах показан 1.5–3-кратный рост углеродного пула почв за 100 лет – до величин 20–30 кг/м2 (или 200–300 т/га) в пересчете на Сорг, что на уровне средних значений определяет для объектов исследования накопление органического вещества в почвенном покрове. Контрастность лесорастительных условий в оценках запасов ПОВ наиболее заметна на территории Воскресенского лесничества.
Рис. 5. Изменение запасов органического вещества в органо-минеральных горизонтах почв (серым – данные для таксационных выделов, цветные линии – средние оценки для разных ТЛУ).
Территориальные оценки изменений запасов ПОВ при разных вариантах лесопользования. Для сравнительного анализа использованы средние показатели динамики углеродного пула почв, рассчитанные для каждого из объектов исследования (рис. 6). Согласно оценкам, в условиях заповедного режима (сценарий NAT) почвенный покров всех территорий накапливает органическое вещество, увеличивая его запасы и в мортмассе лесной подстилки и в органо-минеральной части почвенного профиля. В горизонтах постилки максимальный рост запасов (в среднем с 5 до 19 т/га за 100 лет) прогнозируется в почвах лесов средней тайги, входящих в состав Пряжинского лесничества. В почвах подзоны хвойно-широколиственных лесов Данковского лесничества запасы подстилки увеличиваются примерно вдвое – в среднем с 8 до 16–17 т/га за 70 лет с последующей стабилизацией соответствующего углеродного пула на этом уровне. Для почвенного покрова Воскресенского лесничества, расположенного в подзоне южной тайги, модельные оценки показывают рост запасов подстилки только в первые 40 лет после начала режима заповедения, когда соответствующий углеродный пул увеличился в среднем с 2–3 до 13–14 т/га. Схожая начальная динамика запасов подстилки показана для почв заповедника “Брянский лес”, расположенного в подзоне широколиственных лесов, но в отличии от других территорий, для данного объекта прогнозируется снижение средних показателей накопленного пула (примерно до 9 т/га), начиная с 60 лет периода моделирования.
Рис. 6. Изменение углеродного пула в органогенных горизонтах лесной подстилки и органо-минеральных горизонтах почв при разных вариантах лесопользования (по результатам усредненной оценки для территорий объектов исследования). Сценарии лесопользования: NAT – заповедание, STH – выборочные рубки, IFM – интенсивное лесопользование.
Динамика запасов ПОВ в органо-минеральных горизонтах имеет другие региональные особенности. Максимальный рост пула Сорг в условиях заповедного режима прогнозируется для почв заповедника “Брянский лес” (в среднем для территории с 70 до 140 т/га за 100 лет) и Воскресенского лесничества (с 90 до примерно 160 т/га). Минимальные показатели рассчитаны для Данковского лесничества (в среднем с 55 до 80 т/га), а для Пряжинского лесничества прогнозируемый рост соответствует увеличению средних показателей запасов Сорг с 60 до 115 т/га.
Сценарии выборочных рубок (STH) для заповедника “Брянский лес” и интенсивного лесопользования с применением сплошных рубок (IFM) для Воскресенского лесничества, несмотря на изъятие части древесной биомассы и удаление порубочных остатков, предполагают увеличение почвенных запасов Сорг в органо-минеральной части почв, но рассчитанные результирующие значения за 100 лет ниже примерно на 35–40 т/га, чем в сценарии естественного развития лесов при заповедном режиме. Запасы подстилки для этих объектов возрастают примерно на 5–6 т/га в течение первых 40 лет модельного периода, после чего динамика показателей повторяет изменение запасов в сценарии заповедания, но на более низком уровне. Для Пряжинского лесничества модельные оценки в сценарии IFM показывают сохранение углеродного пула подстилки и органо-минеральных горизонтов почв, близкое к первоначальным запасам. Для территории Данковского лесничества динамика запасов углерода в сценарии STH свидетельствует о сокращении пула ПОВ в органо-минеральной части профиля примерно на 20 т/га за 100 лет, не компенсируемое небольшим ростом запасов углеродного пула подстилки, которое оценивается в 2–5 т/га.
Вклад почвенного стока в нетто-поглощение углерода. Согласно оценкам, сохранение заповедного режима на территории заповедника “Брянский лес” ведет к дополнительному нетто-поглощению около 75 т/га за 100 лет (табл. 2). Повышение экосистемных запасов органического вещества связано, прежде всего, с накоплением Сорг в почвах. В сценарии выборочных рубок (STH) экосистемный сток углерода для лесов данной территории снижается в 1.5–2.0 раза, а его сокращение связано с более низкими показателями накопления как в почве, так и в древостоях.
Таблица 2. Оценка динамики стока углерода для лесных территорий (значения ± стандартная ошибка)
Имитационный сценарий | Изменение запасов органического вещества в компонентах экосистем | |||||
т С/га за 100 лет | Относительно начальных запасов, % | |||||
древостой | мортмасса | почва | древостой | мортмасса | почва | |
Пряжинское лесничество | ||||||
NAT | 29.49 ± 0.56 | 44.12 ± 0.16 | 51.52 ± 0.51 | 70 ± 4 | 266 ± 7 | 90 ± 2 |
IFM | −2.22 ± 0.44 | 6.80 ± 0.09 | 7.08 ± 0.39 | −5 ± 1 | 41 ± 1 | 12 ± 1 |
Воскресенское лесничество | ||||||
NAT | 29.84 ± 0.82 | 12.50 ± 0.09 | 57.39 ± 0.64 | 41 ± 2 | 63 ± 1 | 65 ± 1 |
IFM | 7.25 ± 0.81 | 2.00 ± 0.12 | 26.69 ± 0.55 | 9 ± 1 | 10 ± 1 | 30 ± 1 |
Данковское лесничество | ||||||
NAT | 31.23 ± 0.53 | 24.131 ± 0.18 | 20.09 ± 0.33 | 32 ± 5 | 81 ± 1 | 38 ± 1 |
STH | 13.60 ± 0.61 | −2.913 ± 0.14 | −16.10 ± 0.21 | 14 ± 2 | −10 ± 1 | −31 ± 0 |
Заповедник “Брянский лес” | ||||||
NAT | −1.27 ± 0.60 | 9.10 ± 0.11 | 58.71 ± 0.65 | −1 ± 1 | 46 ± 1 | 84 ± 1 |
STH | −14.45 ± 0.61 | 0.37 ± 0.13 | 32.75 ± 0.59 | −17 ± 1 | 2 ± 1 | 47 ± 1 |
Примечание. Сценарии лесопользования: NAT – заповедание, STH – выборочные рубки, IFM – интенсивное лесопользование.
Дополнительное нетто-поглощение углерода для территории Данковского лесничества при введении режима заповедания прогнозируется на уровне, близком к заповеднику “Брянский лес”, но вклад биомассы древостоев в положительные оценки территориального баланса выше, чем почвенный сток Сорг. Сценарий выборочных рубок (STH) заметно сокращает нетто-поглощение углерода, и прежде всего, за счет снижения углеродного пула ПОВ. Эти потери не компенсируются стоком в фитомассу древостоев, и общий баланс оценивается как отрицательный.
Территория Воскресенского лесничества в сценарии заповедного режима, согласно расчетам, выступает стоком углерода; его нетто-поглощение составляет около 100 т/га за 100 лет, и более половины этого накопления определяется депонированием Сорг в почвенном покрове. Для сценария интенсивного лесопользования с применением сплошных рубок (IFM) модельные оценки показывают снижение нетто-поглощения углерода почти на 40 т/га при сохранении ведущей роли почв в накоплении органического вещества.
На территории Пряжинского лесничества сценарий заповедания предполагает максимальное нетто-поглощение углерода – до 125 т/га за 100 лет. Расчеты показывают примерно равный вклад пулов древостоя, почвы и мортмассы в суммарный сток. Сплошные и выборочные рубки в соответствии со сценарием IFM затрагивают процессы формирования всех пулов органического вещества, включая ПОВ, что определяет почти 10-кратное снижение нетто-поглощения углерода – до уровня 10–12 т/га за 100 лет.
ОБСУЖДЕНИЕ
Представленные результаты – пример использования имитационного моделирования при оценке долгосрочной динамики стока углерода в почвах лесных территорий масштаба десятков и сотен км2, что для европейской части России соответствует площади, занимаемой лесничествами и заповедниками, т.е. субъектами лесопользования локального уровня [22]. Ранее для территории РФ были выполнены оценки текущих запасов ПОВ на национальном и региональном уровнях по данным содержания Сорг в разных типах почв [16, 29–31], а прогноз динамики запасов ПОВ был сделан для сельскохозяйственных почв Европейской России с использованием динамической модели RothC [20]. Натурные исследования сравнительной динамики ПОВ в связи с влиянием факторов окружающей среды и изменений хозяйственного использования являются дорогостоящими и трудоемкими [8, 37, 53, 55], требуют согласованных методик определения фракций ПОВ [7], тогда как почвенные динамические модели, интегрированные с моделями растительности, предоставляют альтернативу для анализа возможностей по регулированию запасов ПОВ с помощью различных методов управления [38, 48, 49].
Результаты оценок, полученные в данной работе, учитывают существующее пространственное варьирование почвенно-растительных условий в пределах каждого из четырех объектов исследования, которое отражено в характеристиках выделяемых на их территориях лесотаксационных выделов. Что особенно важно, расчеты долговременной динамики ПОВ выполнены на основе интеграции почвенной модели Romul_Hum и модели FORRUS-S, позволяющей моделировать развитие многовидовых древостоев с характерной для них сменой видов и видоспецифичного опада в ходе сукцессий. Подобный долгосрочный прогноз потенциала поглощения углерода лесными экосистемами на основе мониторинговых данных серьезно затруднен в силу того, что оценки многолетнего тренда изменения Cорг в почвах требуют проведения мониторинга на временных интервалах более 15 лет [26]. Кроме того, пространственное варьирование запасов углерода, как правило, выше определяемых в полевых исследованиях изменений содержания Cорг в почвенных горизонтах тех же самых участков, варьирование которого, в свою очередь, может достигать 49–68% от общей дисперсии [21, 26].
Согласно расчетам, характерные для всех объектов различия в запасах и динамике ПОВ таксационных выделов с разными лесорастительными условиями, по-видимому, “нивелировали” возможное влияние на запасы ПОВ зонально-климатических факторов – температуры и осадков, от которых во многом зависит интенсивность процессов минерализации растительных опадов и скорость накопления ПОВ. Региональные различия для рассмотренных объектов проявились на уровне оценок средних значений распределения запасов Сорг в органогенных и органо-минеральных горизонтах, свидетельствующих о снижении доли органического вещества лесных подстилок в общем пуле ПОВ по мере перехода от среднетаежных к широколиственным лесам, что наиболее заметно в сценарии заповедного режима. Рассчитанные в данной работе средние показатели изменения запасов ПОВ для лесных почв примерно на порядок выше аналогичных данных, полученных для сельскохозяйственных почв в работе [20].
Результирующие потери углерода почвами Данковского лесничества в сценарии выборочных рубок (STH) выше, чем при более интенсивном лесопользовании, включающем применение сплошных рубок в эксплуатационных лесах (IFM), которое моделировалось для территорий Пряжинского и Воскресенского лесничеств. Подобное кажущееся несоответствие объясняется тем, что объемы заготовки древесины при выборочных рубках могут быть выше, чем при сплошных, из-за разной возрастной структуры участков (это подтверждается расчетами биомассы древесины, удаляемой при рубках). Другая причина – различия в видовом составе древостоев, формирующихся после рубок. Сценарий STH предполагал естественное заращивание, при котором высока доля возобновления березы и осины с легкоразлагающимся листовым опадом, тогда как в сценарии IFM моделировались посадки хвойных культур, опад которых минерализуется дольше [11].
Несмотря на многочисленные исследования, знания об управлении процессами связывания углерода в органическом веществе лесных почв посредством управления лесами остаются ограниченными. Исследованиями разных авторов показано, что для некоторых почв подбор пород деревьев на основе качества подстилки может привести к увеличению запасов и стабильности ПОВ, тогда как в других местах аналогичные меры приводят к незначительным или даже противоположным эффектам [40, 45]. Как показывают результаты выполненных расчетов, разнообразие типов лесорастительных условий наряду с начальным видовым и возрастным разнообразием насаждений определило значительные различия в количестве и качестве поступающего в почву растительного опада, повлияв на результирующие оценки динамики ПОВ и нетто-поглощение углерода. На всех объектах исследования небольшое число таксационных выделов характеризовалось потерями ПОВ в органо-минеральных горизонтах даже в условиях заповедного режима, что требует более детального рассмотрения.
ЗАКЛЮЧЕНИЕ
Использованная система имитационных моделей позволяет прогнозировать динамику биогенного круговорота углерода, включая оценку запасов почвенного органического вещества в лесах сложной видовой и разновозрастной структуры, преобладающих в лесной зоне Европейской России. Полученные данные изменений углеродного пула почв для четырех лесных территорий, характеризующихся пространственным разнообразием почвенно-растительных условий в зональном градиенте от средней тайги до подзоны широколиственных лесов, адекватно отражают роль биогенных и абиогенных факторов в накоплении и долговременной динамике ПОВ в лесных экосистемах.
Согласно расчетам, в условиях заповедного режима рост запасов органического вещества в почвах рассмотренных территорий прогнозируется в среднем в диапазоне от 35 до 70–80 т/га за 100 лет. Минимальные оценки получены для территории Данковского лесничества в подзоне хвойно-широколиственных лесов, где преобладание почв легкого гранулометрического состава определяет наименьшее разнообразие лесорастительных условий. Максимальные оценки прогнозируются для Воскресенского лесничества в подзоне южной тайги и заповедника “Брянский лес” в подзоне широколиственных лесов, территории которых характеризуются высоким разнообразием почвенных и лесорастительных условий – от А2 до D4. Общее повышение запасов ПОВ, отмечаемое для всех объектов, имеет заметные различия между их территориями в динамике накопления углеродного пула как во временном аспекте, так и в соотношении запасов Cорг в органогенных и органо-минеральных горизонтах почв, что может объясняться региональными особенностями образования ПОВ. Выборочные рубки и интенсивное лесопользование, включающее сплошные рубки, определяют для исследуемых территорий снижение запасов ПОВ в среднем на уровне 30–50 т/га за 100 лет по сравнению с заповедным режимом.
ФИНАНСИРОВАНИЕ РАБОТЫ
Работа выполнена в рамках реализации важнейшего инновационного проекта государственного значения “Разработка системы наземного и дистанционного мониторинга пулов углерода и потоков парниковых газов на территории Российской Федерации, обеспечение создания системы учета данных о потоках климатически активных веществ и бюджете углерода в лесах и других наземных экологических системах” (рег. № 123030300031-6).
КОНФЛИКТ ИНТЕРЕСОВ
Авторы заявляют об отсутствии конфликта интересов.
СОБЛЮДЕНИЕ ЭТИЧЕСКИХ СТАНДАРТОВ
В данной работе отсутствуют исследования человека или животных.
ДОПОЛНИТЕЛЬНАЯ ИНФОРМАЦИЯ
Онлайн-версия содержит дополнительные материалы, доступные по адресу https://doi.org/10.31857/S0032180X24110156.
Об авторах
И. В. Припутина
Институт физико-химических и биологических проблем почвоведения Российской академии наук
Автор, ответственный за переписку.
Email: priputina@pbcras.ru
Россия, ул. Институтская, 2, корп. 2, Пущино, Московская область, 142290
В. Н. Шанин
Институт физико-химических и биологических проблем почвоведения Российской академии наук; Центр по проблемам экологии и продуктивности лесов Российской академии наук
Email: priputina@pbcras.ru
Россия, ул. Институтская, 2, корп. 2, Пущино, Московская область, 142290; ул. Профсоюзная, 84/32, Москва, 117997
П. В. Фролов
Институт физико-химических и биологических проблем почвоведения Российской академии наук
Email: priputina@pbcras.ru
Россия, ул. Институтская, 2, корп. 2, Пущино, Московская область, 142290
С. И. Чумаченко
Центр по проблемам экологии и продуктивности лесов Российской академии наук; Мытищинский филиал Московского государственного технического университета им. Н.Э. Баумана
Email: priputina@pbcras.ru
Россия, ул. Профсоюзная, 84/32, Москва, 117997; ул. 1-я Институтская, 1, Мытищи, 141005
Д. Н. Тебенькова
Центр по проблемам экологии и продуктивности лесов Российской академии наук
Email: priputina@pbcras.ru
Россия, ул. Профсоюзная, 84/32, Москва, 117997
Список литературы
- Быховец С.С., Комаров А.С. Простой статистический имитатор климата почвы с месячным шагом // Почвоведение. 2002. № 4. С. 443–452.
- Воробьев Д.В. Типы лесов Европейской части СССР. Киев: Изд-во АН УССР, 1953. 452 с.
- Грабарник П.Я., Чертов О.Г., Чумаченко С.И., Шанин В.Н., Ханина Л.Г., Бобровский М.В., Быховец С.С., Фролов П.В. Интеграция имитационных моделей для комплексной оценки экосистемных услуг лесов: методические подходы // Математическая биология и биоинформатика. 2019. Т. 14. № 2. С. 488–499. https://doi.org/10.17537/2019.14.488
- Дымов А.А. Влияние сплошных рубок в бореальных лесах России на почвы (обзор) // Почвоведение. 2017. № 7. С. 787–798. https://doi.org/10.7868/S0032180X17070024
- Дымов А.А., Старцев В.В. Изменение температурного режима подзолистых почв в процессе естественного лесовозобновления после сплошнолесосечных рубок // Почвоведение. 2016. № 5. С. 599–608. https://doi.org/10.7868/S0032180X16050038
- Единый государственный реестр почвенных ресурсов России (http://egrpr.soil.msu.ru/index.php)
- Заварзина А.Г., Данченко Н.Н., Демин В.В., Артемьева З.И., Когут Б.М. Гуминовые вещества – гипотезы и реальность (обзор) // Почвоведение. 2021. № 12. С. 1449–1480. https://doi.org/10.31857/S0032180X21120169
- Каганов В.В., Замолодчиков Д.Г., Мостовая А.С. Влияние климата на запасы углерода фитомассы и подстилки в лесных насаждениях юга Европейской России // Лесоведение. 2023. № 5. С. 486–501. https://doi.org/10.31857/S0024114823050030
- Классификация и диагностика почв России. Смоленск: Ойкумена, 2004. 342 с.
- Кузнецова А.И., Лукина Н.В., Горнов А.В., Горнова М.В., Тихонова Е.В., Смирнов В.Э., Данилова М.А., Тебенькова Д.Н., Браславская Т.Ю., Кузнецов В.А., Ткаченко Ю.Н., Геникова Н.В. Запасы углерода в песчаных почвах на Западе России // Почвоведение. 2020. № 8. С. 959–969. https://doi.org/10.31857/S0032180X20080109
- Ларионова А.А., Квиткина А.К., Быховец С.С., Лопес де Гереню В.О., Калягин Ю.Г., Каганов В.В. Влияние азота на минерализацию и гумификацию лесных опадов в модельном эксперименте // Лесоведение. 2017. № 2. С. 128–139.
- Лукина Н.В., Орлова М.А., Бахмет О.Н., Тихонова Е.В., Тебенькова Д.Н., Казакова А.И., Крышень А.М., Горнов А.В., Смирнов В.Э., Шашков М.П., Ершов В.В., Князева С.В. Влияние растительности на характеристики лесных почв Республики Карелия // Почвоведение. 2019. № 7. С. 827–842. https://doi.org/10.1134/S0032180X19050071
- Моделирование динамики органического вещества в лесных экосистемах / Под ред. Кудеярова В.Н. М.: Наука, 2007. 380 с.
- Надпорожская М.А., Зубкова Е.В., Фролов П.В., Быховец С.С., Чертов О.Г. Соподчиненность почвенных условий и растительных сообществ в сосняках как следствие действия комплекса факторов // Вестн. ТвГУ. Сер. Биология и экология. 2018. № 2. С. 122–138.
- Обзор состояния и загрязнения окружающей среды в Российской Федерации за 2016 год. М.: Росгидромет, 2017. 216 с.
- Осипов А.Ф., Старцев В.В., Прокушкин А.С., Дымов А.А. Запасы углерода в почвах лесов Красноярского края: анализ роли типа почвы и древесной породы // Теоретическая и прикладная экология. 2023. № 1. С. 67–74. https://doi.org/10.25750/1995-4301-2023-1-067-074
- Почвы Карелии и пути повышения их плодородия. Петрозаводск: Карелия, 1971. 280 с.
- Припутина И.В., Быховец С.С., Фролов П.В., Чертов О.Г., Кургановa И.Н., Лопес де Гереню В.О., Сапронов Д.В., Мякшина Т.Н. Применение математических моделей ROMUL и Romul_Hum для оценки эмиссии CO2 и динамики органического вещества в серой лесной почве под лиственным лесом в южном Подмосковье // Почвоведение. 2020. № 10. С. 1262–1275. https://doi.org/10.31857/S0032180X20100159
- Припутина И.В., Фролов П.В., Шанин В.Н., Быховец С.С., Кургановa И.Н., Лопес де Гереню В.О., Сапронов Д.В., Мякшина Т.Н., Хорошаев Д.А. Имитационное моделирование почвенной эмиссии СО2 на примере дерново-подбура хвойно-широколиственного леса в Южном Подмосковье // Почвоведение. 2023. № 9. С. 1128–1142. https://doi.org/10.31857/S0032180X23600439
- Романенков В.А., Мешалкина Ю.Л., Горбачева А.Ю., Добровольская В.А., Кренке А.Н. Прогноз динамики запасов углерода в почвах возделываемых земель Европейской России в контексте стратегии низкоуглеродного развития // Известия Р АН. Сер. Географическая. 2023. Т. 87. № 4. С. 1–13. https://doi.org/10.31857/S2587556623040106
- Самсонова В.П., Мешалкина Ю.Л., Добровольская В.А., Кондрашкина М.И., Дядькина С.Е., Филиппова О.И., Кротов Д.Г., Морозова Т.М., Красильников П.В. Исследование неопределенности оценок запасов органического углерода в масштабах угодий // Почвоведение. 2023. № 11. С. 1437–1449. https://doi.org/10.31857/S0032180X23600725
- Тебенькова Д.Н., Лукина Н.В., Катаев А.Д., Чумаченко С.И., Киселева В.В., Колычева А.А., Шанин В.Н., Гагарин Ю.Н., Кузнецова А.И. Разработка сценариев для имитационного моделирования экосистемных услуг лесов // Вопросы лесной науки. 2022. Т. 5. № 2. C. 104. https://doi.org/10.31509/2658-607x-202252-104
- Титлянова А.А. Универсальность процессов биотического круговорота // Почвоведение. 2014. № 7. С. 771–780. https://doi.org/10.7868/S0032180X14050220
- Титлянова А.А., Шибарева С.В. Изменение чистой первичной продукции и восстановление запасов углерода в почвах залежей // Почвоведение. 2022. № 4. С. 500–510. https://doi.org/10.31857/S0032180X2204013X
- Ханина Л.Г. Классификация типов лесорастительных условий по индикаторным видам Воробьева-Погребняка база данных и опыт анализа лесотаксационных данных // Вопросы лесной науки. 2019. Т. 2(4). С. 1–30.
- Хитров Н.Б., Никитин Д.А., Иванова Е.А., Семенов М.В. Пространственно-временная изменчивость содержания и запаса органического вещества почвы: аналитический обзор // Почвоведение. 2023. № 12. С. 1493–1521. https://doi.org/10.31857/S0032180X23600841
- Шанин В.Н., Фролов П.В., Припутина И.В., Чертов О.Г., Быховец С.С., Зубкова Е.В., Портнов А.М., Фролова Г.Г., Стаменов М.Н., Грабарник П.Я. Моделирование динамики лесных экосистем с учетом их структурной неоднородности на разных функциональных и пространственных уровнях // Вопросы лесной науки. 2022. Т. 5. № 3. https://doi.org/10.31509/2658-607x-202252-112
- Шевченко Н.Е., Кузнецова Н.А., Тебенькова Д.Н., Смирнов В.Э., Гераськина А.П., Горнов А.В., Грабенко Е.А., Тихонова Е.В., Лукина Н.В. Сукцессионная динамика растительности и запасы почвенного углерода в хвойно-широколиственных лесах Северо-Западного Кавказа // Лесоведение. 2019. № 3. С. 163–176. https://doi.org/10.1134/S0024114819030082
- Щепащенко Д.Г., Мухортова Л.В., Швиденко А.З., Ведрова Э.Ф. Запасы органического углерода в почвах России // Почвоведение. 2013. № 2. С. 123–132. https://doi.org/10.7868/S0032180X13020123
- Чернова О.В., Рыжова И.М., Подвезенная М.А. Оценка запасов органического углерода лесных почв в региональном масштабе // Почвоведение. 2020. № 3. С. 340–350. https://doi.org/ 10.31857/S0032180X20030028
- Честных О.В., Грабовский В.И., Замолодчиков Д.Г. Оценка запасов почвенного углерода лесных районов России с использованием баз данных почвенных характеристик // Лесоведение. 2022. № 3. С. 227–238. https://doi.org/10.31857/S0024114822030056
- Bélanger N., Collin A., Khlifa R., Lebel-Desrosiers S. Balsam Fir and American Beech Influence Soil Respiration Rates in Opposite Directions in a Sugar Maple Forest Near Its Northern Range Limit // Front. For. Glob. Change. 2021. V. 4. https://doi.org/10.3389/ffgc.2021.664584
- Binkley D., Giardina C. Why do tree species affect soils? The warp and woof of tree-soil interactions // Biogeochemistry. 1998. V. 42. P. 89–106. https://doi.org/10.1023/A:1005948126251
- Chertov O., Komarov A., Shaw C., Bykhovets S., Frolov P., Shanin V., Grabarnik P., Priputina I., Zubkova E., Shashkov M. Romul_Hum—A model of soil organic matter formation coupling with soil biota activity. II. Parameterisation of the soil food web biota activity // Ecol Modell. 2017. V. 345. P. 125–139. https://doi.org/10.1016/j.ecolmodel.2016.10.024
- Chumachenko S.I., Korotkov V.N., Palenova M.M., Politov D.V. Simulation modeling of long-term stand dynamics at different scenarios of forest management for coniferous-broad-leaved forests // Ecol Modell. 2003. V. 170(2–3). P. 345–362. https://doi.org/10.1016/S0304-3800(03)00238-2
- Cools N., Vesterdal L., De Vos B., Vanguelova E., Hansen K. Tree species is the major factor explaining C:N ratios in European forest soils // For. Ecol. Manag. 2014. V. 311. P. 3–16. http://dx.doi.org/10.1016/j.foreco.2013.06.047
- Erkan N., Güner Ş.T., Aydın A.C. Thinning effects on stand growth, carbon stocks, and soil properties in Brutia pine plantations // Carbon Balance and Management. 2023. V. 18. P. 6. https://doi.org/10.1186/s13021-023-00226-0
- Falloon P., Smith P. Modelling soil carbon dynamics. In: Kutsch WL, Bahn M, Heinemeyer A, eds. Soil Carbon Dynamics: An Integrated Methodology. Cambridge University Press; 2010/ V. 221–244. https://doi.org/10.1017/CBO9780511711794.013
- Hulvey K., Hobbs R., Standish R., Lach L., Perring M.P. Benefits of tree mixes in carbon plantings // Nat. Clim. Change. 2013. V. 3. P. 869–874. https://doi.org/10.1038/nclimate1862
- Guo X., Meng M., Zhang J., Chen H.Y.H. Vegetation change impacts on soil organic carbon chemical composition in subtropical forests // Sci Rep. 2016. V. 6. P. 29607. https://doi.org/10.1038/srep29607
- Jandl R., Rodeghiero M., Martinez C., Cotrufo M.F., Bampa F., van Wesemael B., Harrison R.B., Guerrini I.A., Richter D., Rustad L., Lorenz K., Chabbi A., Miglietta F. Current status, uncertainty and future needs in soil organic carbon monitoring // Sci. Total Environ. 2014. V. 468–469. P. 376–383. https://doi.org/10.1016/j.scitotenv.2013.08.026
- Janisch J.E., Harmon M.E. Successional changes in live and dead wood carbon stores: Implications for net ecosystem productivity // Tree Physiol. 2002. V. 22(2–3). P. 77–89. https://doi.org/10.1093/treephys/22.2-3.77
- Komarov A.S. Use of Mathematical models for assessing the pool and dynamics of carbon in forest soils // Eurasian Soil Sci. 2008. V. 41(13). P. 1387–1397. https://doi.org/10.1134/S1064229308130061
- Кomarov A., Chertov O., Bykhovets S., Shaw C., Nadporozhskaya M., Frolov P., Shashkov M., Shanin V., Grabarnik P., Priputina I., Zubkova E. Romul_Hum model of soil organic matter formation coupled with soil biota activity. I. Problem formulation, model description, and testing // Ecol Modell. 2017. V. 345. P. 113–124. https://doi.org/10.1016/j.ecolmodel.2016.08.007
- Laganière J., Augusto L., Hatten J.A., Spielvogel S. Editorial: vegetation effects on soil organic matter in forested ecosystems // Front. For. Glob. Change. 2022. V. 4. https://doi.org/10.3389/ffgc.2021.828701
- Laganière J., Boča A., Van Miegroet H., Paré D. A tree species effect on soil that is consistent across the species’ range: The case of aspen and soil carbon in North America // Forests. 2017. V. 8. P. 113. https://doi.org/10.3390/f8040113
- Lal R. Forest soils and carbon sequestration // For. Ecol. Manag. 2005. V. 220(1–3). P. 242–258. https://doi.org/10.1016/j.foreco.2005.08.015
- Lindeskog M., Smith B., Lagergren F., Sycheva E., Ficko A., Pretzsch H., Rammig A. Accounting for forest management in the estimation of forest carbon balance using the dynamic vegetation model LPJ-GUESS (v4.0, r9710): implementation and evaluation of simulations for Europe // GMD. 2021. V. 14(10). P. 6071–6112. https://doi.org/10.5194/gmd-14-6071-2021
- Martin M.P., Orton T.G., Lacarce E., Meersmans J., Saby N.P.A., Paroissien J.B., Jolivet C., Boulonne L., Arrouays D. Evaluation of modelling approaches for predicting the spatial distribution of soil organic carbon stocks at the national scale // Geoderma. 2014. V. 223–225. P. 97–107. https://doi.org/10.1016/j.geoderma.2014.01.005
- Mueller K.E., Hobbie S.E., Chorover J., Reich P.B., Eisenhauer N., Castellano M.J. Effects of litter traits, soil biota, and soil chemistry on soil carbon stocks at a common garden with 14 tree species // Biogeochemistry. 2015. V. 123. P. 313-327. https://doi.org/10.1007/s10533-015-0083-6
- Nadporozhskaya M.A., Mohren G.M.J., Chertov O.G., Komarov A.S., Mikhailov A.V. Soil organic matter dynamics at primary and secondary forest succession on sandy soils in The Netherlands: an application of soil organic matter model ROMUL // Ecol Modell. 2006. V. 190(3). P. 399–418. http://dx.doi.org/10.1016/j.ecolmodel.2005.03.025
- Nickels M.C.L., Prescott C. Soil Carbon Stabilization Under Coniferous, Deciduous and Grass Vegetation in Post-mining Reclaimed Ecosystems // Front. For. Glob. Change. 2021. https://doi.org/10.3389/ffgc.2021.689594
- Panov A.V., Onuchin A.A., Zrazhevskaya G.K., Shibistova O.B. Structure and Dynamics of Organic Matter Pools in Clearings in the Lichen Pine Forests of Middle Taiga Subzone of Yenisei Siberia // Biol. Bull. 2013. V. 40(1). P. 95–10. https://doi.org/10.1134/S1062359012060088
- Rehschuh S., Jonard M., Wiesmeier M., Rennenberg H., Dannenmann M. Impact of European beech forest diversification on soil organic carbon and total nitrogen stocks–a meta-analysis // Front. For. Glob. Change. 2021. V. 4. https://doi.org/10.3389/ffgc.2021.606669
- Saby N.P.A., Bellamy P.H., Morvan X., Arrouays D., Jones R.J.A., Verheijen F.G.A., Kibblewhite M.G., Verdoodt A., Üveges J.B., Freudenschuß A., Simota C. Will European soil-monitoring networks be able to detect changes in topsoil organic carbon content? // Glob Chang Biol. 2008(14). P. 2432–2442. https://doi.org/10.1111/j.1365-2486.2008.01658.x
- Scheffer M., Carpenter S., Foley J.A., Folke C., Walkerk B. Catastrophic shifts in ecosystems // Nature. 2001. V. 413. P. 591-596.
- Schelfhout S., Mertens J., Verheyen K., Vesterdal L., Baeten L., Muys B., De Schrijver A. Tree Species Identity Shapes Earthworm Communities // Forests. 2017. V. 8. P. 85. https://doi.org/10.3390/f8030085
- Stockmann U., Adams M.A., Crawford J.W., Field D.J., Henakaarchchi N., Jenkins M., Minasny B., McBratney A.B. et al. The knowns, known unknowns and unknowns of sequestration of soil organic carbon // Agric. Ecosyst. Environ. 2013. V. 164. P. 80–99. https://doi.org/10.1016/j.agee.2012.10.001
- Vesterdal L., Schmidt I.K., Callesen I., Nilsson L.O., Gundersen P. Carbon and nitrogen in forest floor and mineral soil under six common European tree species // For. Ecol. Manag. 2008. V. 255. P. 35–48. https://doi.org/10.1016/j.foreco.2007.08.015
Дополнительные файлы








