Использование вариаций δ13С органического вещества палеопочв Западного Забайкалья для реконструкции динамики атмосферного увлажнения позднеледниковья и голоцена
- Авторы: Голубцов В.А.1, Рыжов Ю.В.1,2, Черкашина А.А.1
-
Учреждения:
- Институт географии им. В.Б. Сочавы СО РАН
- Институт земной коры СО РАН
- Выпуск: № 7 (2024)
- Страницы: 950-967
- Раздел: ХИМИЯ ПОЧВ
- URL: https://ogarev-online.ru/0032-180X/article/view/273725
- DOI: https://doi.org/10.31857/S0032180X24070036
- EDN: https://elibrary.ru/XVHQSW
- ID: 273725
Цитировать
Полный текст
Аннотация
Анализ состава стабильных изотопов углерода (δ13С) органического вещества разновозрастных почв играет важную роль в оценке климатических изменений прошлого и отклика на них компонентов ландшафта. Объектом исследования послужили почвы девяти почвенно-седиментационных серий, сформированных в различных ландшафтных и геоморфологических условиях Западного Забайкалья. Время формирования большинства исследуемых толщ охватывает последние 15 тыс. лет. Фазы педогенеза протекали довольно синхронно в пределах генетически различных форм рельефа, что позволяет рассматривать их в качестве обусловленных региональными ландшафтно-климатическими изменениями, оказавшими влияние и на δ13С органического вещества почв. Наблюдается широкий диапазон варьирования значений δ13С (от –20.99 до –27.00‰). Наиболее контрастные изменения значений δ13С во времени отмечены для разрезов, формировавшихся в наиболее сухих степных условиях, наименьшая амплитуда значений δ13С характерна для разрезов, сформированных под таежными ландшафтами с наибольшим увлажнением. Однако в целом тенденции изменений значений δ13С во времени в пределах различных ландшафтных зон сходны: наименьшие значения δ13С характерны для органического вещества почв позднеледниковья, формировавшихся 14–15 и 12 тыс. кал. л.н., а также почв позднего голоцена (3.5–2.0 и 1.0–0.3 тыс. кал. л.н.). Обогащено 13С органическое вещество почв среднего голоцена (9.0–4.0 тыс. кал. л.н.) и временного интервала 13–14 тыс. кал. л.н. Основываясь на выявленной зависимости значений δ13С органического вещества современных почв региона от количества осадков, выполнена количественная реконструкция осадков вегетационного периода. Полученные данные позволяют оценивать временные интервалы 11.7–10.0 и 4.0–1.5 тыс. кал. л.н. в качестве оптимальных для формирования почв на территории Западного Забайкалья. Рост температур и снижение атмосферного увлажнения в среднем голоцене, характерные как для Забайкалья, так и для прилегающих территорий, негативно отразились на развитии почв.
Полный текст
Введение
На протяжении последних десятилетий применение методов геохимии стабильных изотопов углерода вносит существенный вклад в понимание ландшафтно-климатических изменений прошлого [46, 47, 61, 62, 69, 71]. Одним из основных архивов таких изменений является органическое вещество (ОВ) почв. Главным источником для формирования почвенного ОВ является биомасса растений, которые в зависимости от условий произрастания и типа фотосинтеза могут характеризоваться различным составом стабильных изотопов углерода (δ13C).
Значения δ13C С3 растений варьируют от −20 до −32‰. С4 растения характеризуются δ13C от −10 до −17‰ [43, 59]. Соотношение С3/С4 растений в составе растительных сообществ рассматривается в качестве ведущего фактора изотопной неоднородности почв в пространстве и времени [42, 59]. δ13C ОВ почв в целом тесно коррелирует с δ13C биомассы продуцирующих его растений, несмотря на фракционирование изотопов в ходе разложения органических остатков [37, 38, 69, 73]. Таким образом, факторы, влияющие на δ13C растений, отражаются и в δ13C ОВ почв.
Одним из важных факторов, влияющих на δ13C растений, является температура. Однако ее воздействие довольно неоднозначно [75] и оценивается как незначительное для растений с С3 фотосинтезом [50, 63]. В то же время именно температура во многом определяет распределение С3 и С4 растений на земной поверхности [42, 50, 63]. Наибольший вклад в вариации значений δ13C С3 растений вносит влагообеспеченность, что проявляется как в глобальном [41, 55, 63], так и в региональном масштабе [10, 44, 56, 78]. Основной реакцией растений на водный стресс является сокращение устьиц [59, 67], ведущее к снижению диффузии СО2 в ткани растений, что приводит к выраженному (до 4–5‰) росту значений δ13C [41, 55, 67]. По сравнению с С3 растениями, С4 растения менее чувствительны к доступности влаги [63], что связано с особенностями ассимиляции углерода и высокой эффективностью С4 фотосинтеза [42, 66].
Зависимость δ13C С3 растений и почв, формирующихся под фитоценозами с доминированием С3 растений, от уровня увлажнения позволяет считать δ13C ОВ палеопочв важным показателем, позволяющим реконструировать динамику увлажнения в прошлом [63]. Подобные реконструкции были выполнены для Европы [47], центральной Азии [56, 74], лессового плато Китая [62, 76].
Исследования, проведенные ранее на территории Байкальской Сибири, показали, что С3 растения преобладают в данном регионе как в настоящее время [48], так и в геологическом прошлом, начиная с последнего оледенения [37] и даже МИС (морской изотопной стадии) 3 [9, 15]. В настоящее время регион характеризуется существенной ландшафтно-климатической неоднородностью, проистекающей, в частности, из неоднородности атмосферного увлажнения. Динамика увлажнения в позднем плейстоцене и голоцене также существенно различается в различных районах Байкальской Сибири и по-разному трактуется в зависимости от источника палеоклиматической информации [11, 52, 53].
Основными источниками информации о региональных палеоклиматических изменениях и отклике на них различных компонентов ландшафтов представляются озерные архивы [2, 23, 34, 40, 54, 70] и рыхлые отложения различных генетических типов [13, 14, 18, 21, 28, 68]. Почвы, являющиеся важнейшим архивом природных изменений, исследованы в значительно меньшей степени [7, 11, 15, 17].
Исходя из вышеперечисленного, изучение δ13C ОВ разновозрастных почв региона представляется актуальной задачей, решение которой будет способствовать углублению знаний об истории развития природной среды Байкальской Сибири. Подобные работы в регионе до настоящего времени единичны [9, 12].
Цель работы – количественная реконструкция увлажнения в Селенгинском среднегорье в позднеледниковье и голоцене на основании анализа δ13C ОВ разновозрастных почв и сопоставление полученных данных с другими источниками палеоклиматической информации.
Объекты и методы
Территория исследования относится к области древней складчатости, расположенной на юге Восточной Сибири (рис. 1). Рельеф представлен средневысотными горными хребтами северо-восточного простирания и межгорными котловинами. Абсолютные высоты колеблются от 500–700 до 800–1500 м [3].
Рис. 1. Положение исследуемых почвенно-седиментационных серий в пределах Западного Забайкалья. I – тайга; II – лесостепь; III – степь; IV – водные объекты; V – разрезы (1 – Надеино; 2 – Нижняя Буланка; 3 – Большой Куналей-1; 4 – Тарбагатайка-1; 5 – Тарбагатайка-2; 6 – Никольск; 7 – Номохоново-1; 8 – Усть-Менза-1; 9 – Студеное-1).
Рельеф и неоднородное геологическое строение обусловливают значительное многообразие материнских пород. Преобладающими породами в горных районах являются гнейсы, граниты, амфиболиты, сланцы, известняки, кварциты. Породы часто сменяют друг друга в пространстве и во многих местах выходят на дневную поверхность в виде скальных массивов или крупноглыбистых каменистых россыпей [16]. Относительно мощные покровы мелкоземистых наносов встречаются только на территориях межгорных котловин и представлены преимущественно песками, супесями и в меньшей степени лессовидными суглинками. Широко распространены делювиальные и делювиально-пролювиальные отложения, покрывающие склоны, слагающие предгорные шлейфы и конусы выноса [3, 16].
Климат резко континентальный с большими суточными и годовыми (до 30–45°С) колебаниями температур. Средние годовые температуры повсеместно отрицательные [25]. Температура наиболее холодного месяца (январь) от –21°С до –24°С, с абсолютным минимумом до –50°С, наиболее теплого (июль) 14–17°С, с абсолютным максимумом до 38°С.
Отмечается неоднородное внутригодовое распределение осадков. Основная масса осадков (75%) выпадает летом. При этом первая половина вегетационного периода (май–июнь) отличается засушливостью, для июля–августа – увлажнение оптимально. Однако последнее справедливо в большей степени для таежных и лесостепных ландшафтов, где годовая сумма осадков может достигать 400 мм [25]. Степные ландшафты с годовой суммой осадков 200–250 мм испытывают дефицит увлажнения [19].
Рельеф оказывает существенное влияние на формирование климата исследуемой территории, обуславливая, в частности, значительную неоднородность по атмосферному увлажнению [31]. Преимущественно северо-восточное простирание хребтов и межгорных котловин при господствующем северо-западном переносе воздушных масс способствует процессам конденсации и осадкообразования на наветренных склонах. Подветренные склоны и межгорные котловины, в связи с проявлением барьерного и котловинного эффектов, оказываются значительно менее увлажненными [19].
Регион характеризуется значительным ландшафтным разнообразием. Здесь представлены горно-тундровые, таежные, лесостепные, луговые и степные геосистемы. Основной ландшафтный фон составляет тайга, включающая в пределах горных территорий незначительные по площади изолированные ареалы горно-тундровых ландшафтов. Здесь распространены буроземы, торфянистые, подзолистые почвы, глееземы, различные типы органо-аккумулятивных почв и криоземы. В южной части среднегорья в пределах котловин большую роль в составе растительного покрова начинают играть лесостепные и степные ассоциации с преобладанием черноземов, каштановых и криоаридных почв [32].
Исследуемые разрезы сложены рыхлыми делювиальными, эоловыми и аллювиальными отложениями, сменяющими друг друга в вертикальном профиле и включающими многочисленные профили погребенных почв. Почвенно-седиментационные серии сформированы в различных ландшафтных условиях (табл. S1), характеризующих исследуемую территорию, и расположены в высотном градиенте 575–825 м, вскрывая строение различных форм рельефа (заполнения древних эрозионных форм, конусы выноса, предгорные делювиальные шлейфы, низкие речные террасы) (табл. S2). Детальное описание строения разрезов, хронологии их формирования, мест заложения, а также строения погребенных почв опубликовано ранее [11, 12, 26, 28, 49].
В ходе полевых работ основное внимание уделялось фациальному анализу отложений и морфогенетическому анализу современных и погребенных почв. Различные пачки отложений выделены на основании вариаций текстуры, цвета и гранулометрического состава отложений, а также строения погребенных почв. Для дальнейших исследований отобрано 94 образца преимущественно из гумусовых горизонтов погребенных и современных почв (табл. S3).
При изучении физико-химических свойств почв руководствовались общепринятыми методами исследования [6, 8]. В лабораторных условиях образцы высушены до воздушно-сухого состояния, растерты и просеяны через сито, диаметром 1 мм, с последующим удалением тонких корней. Содержание карбонатов (СаСО3) определено ацидиметрическим методом. В дальнейшем образцы были обработаны 10% HCl при комнатной температуре для удаления карбонатов, промыты дистиллированной водой и высушены при температуре 40°C. Определение гранулометрического состава выполнено по средней пробе в стоячей воде пирофосфатным методом. Изучение группового состава гумуса почв проводили согласно [22].
Общее содержание органического углерода и азота ОВ почв определено методом пиролиза проб на элементарном анализаторе CHNS Vario Isotope Cube (Elementar, Германия). Состав стабильных изотопов углерода (δ13С) измерен на комплексе оборудования СHNS-анализатор Vario Isotope Cube – масс-спектрометр Isoprime precisION IRMS (Elementar, Великобритания), соединенных в режиме непрерывного потока. Измерения проводили в ЦКП “Лаборатория радиоуглеродного датирования и электронной микроскопии” Института географии РАН. Изотопный состав углерода (δ13С) выражен в промилле (‰) относительно международного стандарта белемнита Vienna Pee Dee (VPDB, США):
где Х – это элемент (С), а R – отношение тяжелого изотопа к более легкому. Стандартные отклонения для измерения концентраций δ13С составили <0.1‰.
Хронология формирования исследуемых толщ контролируется более чем 50 14С датами (табл. S2). Возраст погребенных почв определен радиоуглеродным методом со сцинтилляционным измерением активности 14C по углероду гуминовых кислот в Санкт-Петербургском государственном университете [1]. При дальнейшем обсуждении в тексте используется калиброванный возраст. Калибровка выполнена с помощью кривой IntCal13 [64].
Результаты исследования
Хронология формирования почвенно-седиментационных серий, состав отложений и морфология погребенных почв. Одним из наиболее существенных отличий исследуемых разрезов является различная хронология их формирования (рис. 2, 3). Так, формирование конуса выноса, вскрытого разрезом Номохоново-1, охватывало наиболее длительный временной промежуток (последние 21 тыс. лет), тогда как заполнение древнего оврага (разрез Надеино) происходило относительно непрерывно, начиная с позднеледниковья (12–14 тыс. л.н.). С этого периода берет свое начало и аккумуляция отложений в днищах древних эрозионных форм рельефа, вскрытых разрезами Нижняя Буланка и Никольск [11], а также формирование террас рек Тарбагатайка (разрез Тарбагатайка-2) [28] и Менза (разрез Усть-Менза-1) [26]. Тем не менее их активное формирование прерывается преимущественно в среднем голоцене. Причиной для этого стала динамика развития овражной (в случае с Н. Буланкой и Никольском) и речной сети (в случае с Тарбагатайкой-2 и Усть-Мензой-1), обусловившая выход рассматриваемых форм рельефа из сферы деятельности активных экзогенных процессов рельефообразования. Еще раньше (в раннем голоцене) зафиксирован длительный перерыв в осадконакоплении для низкой террасы р. Чикой (разрез Студеное-1) [49]. С раннего голоцена (11.7–11.5 тыс. кал. л.н.) начинается активное формирование кровли делювиального шлейфа, вскрывающегося разрезом Большой Куналей-1. Наиболее молодой из исследуемых форм рельефа является низкая терраса р. Тарбагатайка, формирование которой началось около 6.5 тыс. кал. л.н.
Рис. 2. Строение почвенно-седиментационных серий и возраст погребенных почв: 1 – гумусовые горизонты; 2 – пески; 3 – суглинки; 4 – супеси; 5 – криогенные клинья; 6 – криотурбации; 7 – признаки переменного окислительно-восстановительного режима; 8 – включения углей; 9 – места отбора образцов для проведения 14С-датирования и календарный возраст. * – согласно [49]; ** – согласно [26].
Рис. 3. Проявление периодов педогенеза в пределах различных звеньев флювиальной сети и вариации значений δ13C в разновозрастных почвах: 1 – степь; 2 – лесостепь; 3 – тайга; 4 – граница верхнего плейстоцена и голоцена; 5 – периоды почвообразования.
Наличие палеопочв, а вместе с ними и изотопных данных, четко привязано к определенным хронологическим интервалам. К ним можно отнести позднеледниковье (15.0–11.7 тыс. кал. л.н.), первую половину раннего голоцена (11.7–10.1 тыс. кал. л.н.), границу ранне-среднего голоцена (9.6–7.8 тыс. кал. л.н.), вторую половину среднего голоцена (7.0–6.0 и 5.2–4.2 тыс. кал. л.н.), а также последние 3.2 тыс. л. За пределами перечисленных временных промежутков мы сталкиваемся с неполнотой почвенной летописи и этапами активного осадконакопления. Причем хронологически такие этапы проявляются довольно синхронно на различных формах рельефа и охватывают временные промежутки 10.1–9.6, 7.8–7.0, 6.0–5.2 и 4.2–3.2 тыс. кал. л.н. В разрезах они фиксируются пачками отложений, лишенными признаков педогенеза, либо имеющих единичные профили слаборазвитых почв, формирование которых хронологически точно не определено (отсутствуют 14С-даты).
Наиболее полноразвитые почвы, гумусовые горизонты которых богаты органическим веществом, а профили часто дифференцированы на генетические горизонты, фиксируются в пределах таких форм рельефа, формирование которых происходило при менее интенсивном протекании экзогенных процессов рельефообразования (разрезы Надеино, Н. Буланка, Большой Куналей-1 и Никольск). Этому способствовало сочетание таких факторов, как геоморфологическое положение (средние звенья эрозионной сети, овражно-балочная сеть), относительно большая влажность климата (лесостепные условия) и более тяжелый гранулометрический состав отложений (лессовидные суглинки, и в меньшей степени, супеси). Менее развитые почвы характерны преимущественно для флювиальных форм рельефа (поймы, низкие террасы), формировавшихся в более активных обстановках осадконакопления (разрезы Тарбагатайка-1, Тарбагатайка-2, Студеное-1, Усть-Менза-1), чему способствовал засушливый климат (разрез Номохоново-1).
Отложения и почвы, формировавшиеся в различных звеньях флювиальной сети, заметно различаются по гранулометрическому составу в силу различий обстановок седиментации. Для пойм и низких террас, формирующихся в нижних звеньях (поймы, низкие речные террасы), характерен относительно более грубый состав отложений, связанный с их выпадением из активных постоянных водотоков. Отложения в данном случае представлены преимущественно чередованием супесей и легких суглинков (Усть-Менза-1, Студеное-1, Тарбагатайка-1). В большей степени песчаные толщи с маломощными прослоями супесей характерны для более высоких террасовых уровней (Тарбагатайка-2). Преимущественно песчаные отложения слагают высокие речные террасы и перекрывающие их конусы выноса (разрез Номохоново-1). Здесь прослои супесей четко соотносятся с профилями погребенных почв.
В средних звеньях флювиальной сети, где седиментация обусловлена деятельностью временных водотоков, а также плоскостным смывом (разрезы Надеино, Н.Буланка, Большой Куналей и Никольск), отложения представлены лёссовидными суглинками с супесчаными прослоями. Какие-либо закономерности по этому признаку трудно выделить для разновозрастных отложений и почв в силу высокой изменчивости гранулометрического состава в вертикальном профиле разрезов.
Наибольшее содержание карбонатов в мелкоземе и в виде карбонатных новообразований отмечается в отложениях и почвах, характеризующихся более суглинистым составом и формирующихся в более засушливых условиях степи-лесостепи (разрезы Надеино, Н.Буланка, Большой Куналей-1, Тарбагатайка-1, Тарбагатайка-2, Никольск, Номохоново-1). Отложения террас рек Чикой и Менза (разрезы Усть-Менза-1, Студеное-1), ныне формирующиеся под таежными ландшафтами с высоким увлажнением, практически бескарбонатны. В исследуемых разрезах более карбонатны отложения и почвы, формировавшиеся ~2–3, 8.8–10.9 и 11.5–12.9 тыс. кал. л.н. Исключение составляют разрезы под тайгой, где изменения в содержании карбонатов в разновозрастных отложениях и почвах не выражены.
Несмотря на обозначенные различия, существует ряд общих черт в морфологии разновозрастных почв:
1) Почвы позднеледниковья, современными аналогами которых могут служить Mollic Stagnic Fluvisols, Phaeozems (Calcaric), Stagnic Relictiturbic Cryosols, характеризуются многочисленными признаками переменного окислительно-восстановительного режима в виде чередования охристых и голубовато-сизых морфонов, обильных Fe–Mn-новообразований, криогенными нарушениями в виде неглубоких грунтовых жил, заполненных материалом гумусовых горизонтов и криотурбаций [11, 28]. На микроуровне фиксируется криогенная сортировка материала песчаной размерности среди более тонкозернистого (пылеватого), обломки-обрывки карбонатной плазмы [15]. Эти признаки отмечаются для позднеледниковых пачек исследуемых разрезов и не характерны для почв и отложений голоцена.
2) Большинство почв раннего голоцена, по-видимому, формировалось в течение относительно непродолжительных фаз педогенеза. Они характеризуются, как правило, недифференцированным почвенным профилем, его малой мощностью и наиболее сопоставимы с темногумусовыми. На этом фоне выделяются почвы, формировавшиеся в первой половине пребореала, дифференцированные на генетические горизонты, отличающиеся повышенной мощностью гумусово-аккумулятивных горизонтов, их обогащенностью органическим веществом. Современными их аналогами могут служить Luvic Chernozems.
3) В средне-позднем голоцене отмечаются наиболее продолжительные интервалы почвообразования, на протяжении которых формировались почвы близкие к современным Calcic Chernozems и Mollic Phaeozems. Фиксируются аккумуляции вторичных карбонатов и повышенное содержание карбонатов в мелкоземе.
4) На протяжении последней тысячи лет формировались педоседименты с маломощными Calcaric Phaeozems, Mollic Phaeozems. На участках меньшего влияния экзогенных процессов продолжалось формирование полноразвитых Calcic Chernozems.
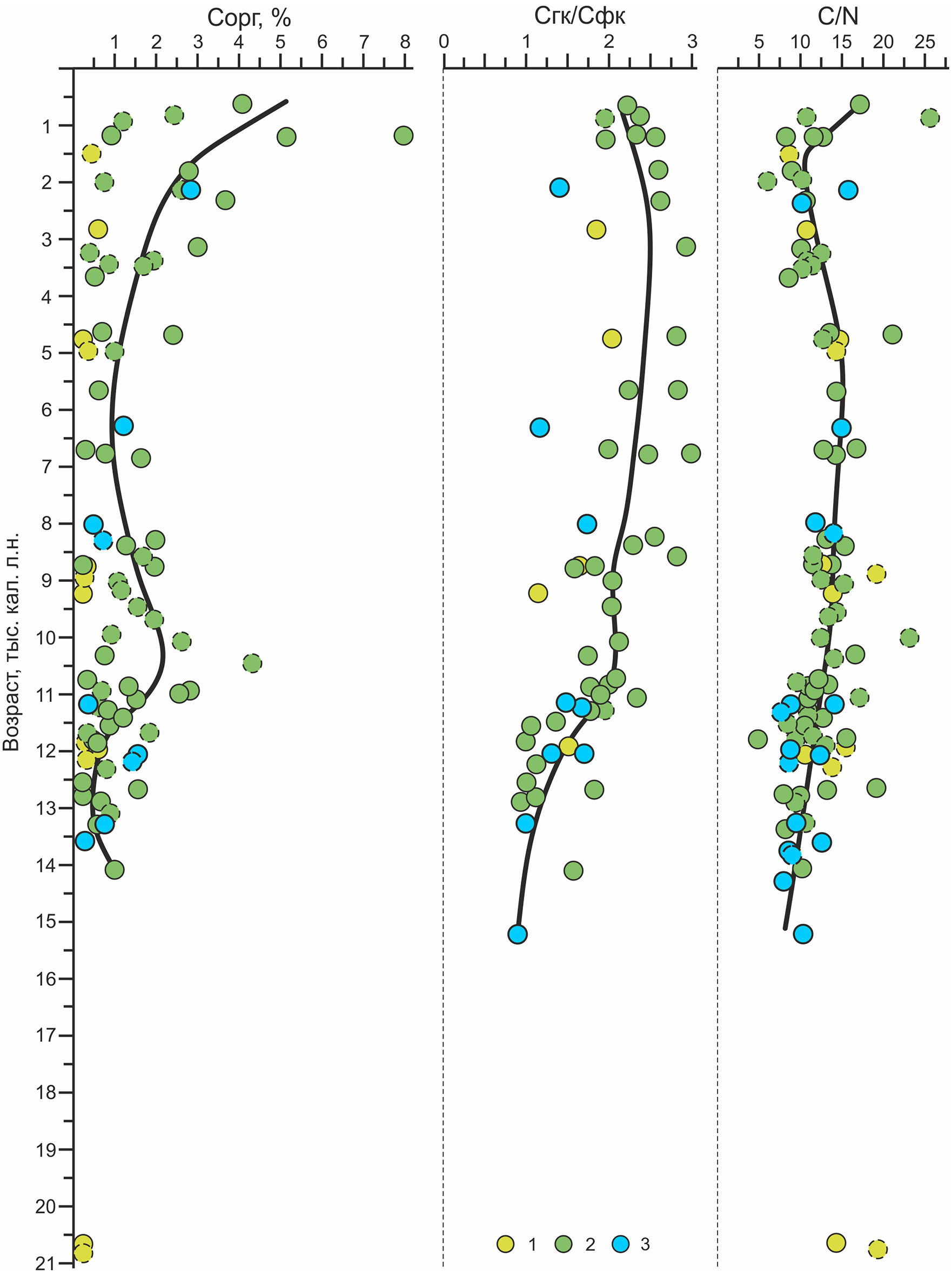
Органическое вещество погребенных почв: содержание Сорг, N, соотношения C : N и Cгк : Сфк, состав стабильных изотопов углерода. Распределение органического углерода (Сорг) и общего азота (Nобщ) в профилях исследуемых почв демонстрирует сходные закономерности. Их количество резко убывает за пределами гумусовых горизонтов современных почв, с дальнейшим плавным снижением вниз по профилю. Отмечаются относительные максимумы содержания Сорг и Nобщ в гумусовых горизонтах погребенных почв. Отношение С/N также в целом снижается вниз по профилю отдельно взятых почв [11].
Наименьшим содержанием Сорг (менее 1%) характеризуются гумусовые горизонты почв в разрезах, ныне находящихся под степными ландшафтами. Для почв под лесостепями и тайгой отмечаются значительные колебания данного показателя (от 0.3 до 5.8%). Наименьшим содержанием органического углерода характеризуются почвы финально-плейстоценового времени (12.5–11.7 тыс. кал. л.н.) и среднего голоцена (7.5–5.0 тыс. кал. л.н.). Относительные пики данного показателя фиксируются в раннеголоценовых почвах и почвах возрастом 14.0–14.5 тыс. кал. л.н. (рис. 4).
Рис. 4. Динамика изменения некоторых свойств органического вещества почв во времени: 1 – степь; 2 – лесостепь; 3 – тайга.
Отношение С/N в целом снижается от современных почв к почвам позднеледниковья. Однако на фоне низких значений C/N (10–12), характерных для позднеголоценовых почв (1.5–2.0 тыс. лет), выделяются почвы среднего голоцена, органическое вещество которых обеднено азотом, что фиксируется по расширению отношения C/N до 17–20.
Почвы позднеледниковья характеризуются наибольшей долей фульвокислот в составе органического вещества в соответствии с более низкими значениями отношения Сгк : Сфк (1.0–1.5). Органическое вещество почв голоцена, за исключением ряда таежных и степных почв среднего и позднего голоцена, обогащено гуминовыми кислотами и имеет повышенные значения отношения Сгк : Сфк (1.5–3.0).
Значения δ13С органического вещества исследуемых палеопочв колеблются от –20.99 до –27.00‰ и не демонстрируют каких-либо различий в зависимости от форм рельефа. При этом максимальные значения фиксируются под степями, тогда как органическое вещество лесостепных и таежных почв обеднено 13С (рис. 5). Не наблюдается тенденции к утяжелению изотопного состава углерода с увеличением радиоуглеродного возраста органического вещества почв. Наиболее низкие значения δ13С отмечаются для органического вещества позднеледниковых почв, формировавшихся 14–15 и 12 тыс. кал. л.н., а также почв позднего голоцена (3.5–2.0 и 1.0–0.3 тыс. кал. л.н.). Обогащено 13С органическое вещество почв среднего голоцена (9.0–4.0 тыс. кал. л.н.) и временного интервала 13–14 тыс. кал. л.н.
Рис. 5. Вариации значений δ13C во времени в зависимости от ландшафтно-климатических условий. Желтые маркеры – степные ландшафты; зеленые – лесостепь; голубые – тайга.
Обсуждение
Вариации δ13С ОВ погребенных почв в свете специфики формирования почвенно-седиментационных толщ. Минерализация органического вещества со временем приводит к утяжелению его изотопного состава, что особенно характерно для полноразвитых автоморфных почв [33]. В исследуемых разрезах состав стабильных изотопов часто обеднен 13С в более древних почвах по сравнению с более молодыми. В отличие от полноразвитых почв, длительное время экспонированных на дневную поверхность, рассматриваемые почвы формируются по синседиментационной модели [30] с меньшим временем формирования и быстрым погребением. Относительная кратковременность пребывания таких почв в условиях дневной поверхности и активного оборота углерода могла ограничивать интенсивность процессов трансформации органического вещества. Учитывая тесную корреляцию изотопного состава углерода ОВ почв с δ13C биомассы продуцирующих его растений [37, 38, 69, 73] и допуская подчиненное значение внутрипочвенного фракционирования изотопов углерода, можно предполагать, что наибольшее влияние на δ13C ОВ почв в рассматриваемом случае оказывали климатические условия, реализующиеся через фотосинтетические эффекты растений, формирующих органическое вещество. Такое предположение вполне согласуется с представлениями о том, что изотопный состав углерода является достаточно стабильным маркером и в основном отражает фотосинтетические эффекты [37].
Привлекая климат в качестве ведущего фактора изотопной неоднородности, стоит еще раз обратиться к специфике аккумуляции исследуемых толщ, в значительной степени отражающих морфолитогенный отклик ландшафтов на изменения климата. Почвы в таких условиях служат маркером стабилизации экзогенных процессов рельефообразования, которая происходит, в частности, благодаря развитию устойчивого плотного растительного покрова [12]. Учитывая современные условия территории исследования, характеризующиеся дефицитом атмосферного увлажнения, такое развитие возможно преимущественно вследствие роста количества осадков и равномерности их выпадения. Привязка этапов почвообразования в пределах генетически различных форм рельефа к определенным временным интервалам (рис. 3) позволяет считать данные периоды не локальными проявлениями развития индивидуальных форм рельефа, а рассматривать их в качестве обусловленных региональными ландшафтно-климатическими изменениями.
Вариации δ13С ОВ почв в контексте региональных палеоклиматических изменений. Региональный масштаб отклика исследуемых почв на ландшафтно-климатические изменения последних 15 тыс. лет подчеркивается сходным распределением значений δ13С во времени в пределах разных ландшафтных зон. При этом амплитуда колебаний во времени различна. Наиболее контрастные изменения значений δ13С отмечены в степи, наименьшая амплитуда значений δ13С характерна для таежных почв. Промежуточный вариант характерен для лесостепных условий. Подобная неоднородность отклика почв в разных ландшафтных зонах может дополнительно указывать на динамику увлажнения как один из основных факторов изменения состава стабильных изотопов углерода во времени, так как лимитированная по осадкам степь будет демонстрировать максимальный отклик на изменения условий увлажнения, тайга – наименьший. Данное предположение правомерно с учетом доминирования С3 растений, демонстрирующих максимальный отклик на условия увлажнения [62, 63] в фитоценозах региона [9, 36, 48].
При этом динамика временных изменении значений δ13С в лесостепных условиях может служить индикатором периодов, когда этот экотон приобретал более таежные черты (позднеледниковье (около 14.0 тыс. кал. л.н.), ранний и поздний голоцен), а когда остепнялся (финальные стадии позднего плейстоцена и средний голоцен). Данные изменения в составе стабильных изотопов углерода хорошо укладываются в контекст региональных ландшафтно-климатических изменений.
Позднеледниковье рассматривается как время нестабильной ландшафтно-климатической обстановки, характеризующейся чередованием кратковременных потеплений и похолоданий [29, 34, 52, 54]. Фазы потепления совпадали с расширением ареала таежных ландшафтов [34, 54] и совпадают с ростом атмосферного увлажнения [39, 54]. Одна из них фиксируется около 13.5–14.0 тыс. кал. л.н. В фазы похолоданий широкое распространение имели заболоченные и луговые ландшафты. Однако основной растительный покров составляли тундры и степи, обычно произрастающие в холодном климате при низком атмосферном увлажнении, но высокой влажности почв, обусловленной сезонным протаиванием мерзлоты. Такой взгляд согласуется с результатами палинологического исследования отложений и почв разреза Надеино [27], указывающими на распространение в это время холодных полынных степей с заболоченными низменностями и широким распространением многолетней мерзлоты.
Относительно низкое содержание гуминовых кислот в ОВ исследуемых почв позднеледниковья, заметная доля негидролизуемых форм в составе гумуса также может указывать на формирование этих почв в относительно гумидных холодных условиях [20]. Учитывая строение профиля почв позднеледниковья, повсеместное наличие хорошо выраженных признаков переменного окислительно-восстановительного режима, наиболее близким их современным аналогом являются тундрово-глеевые.
Многие из почв этого времени сформированы в разрезах, в настоящее время расположенных в средних звеньях флювиальной сети, где более молодые почвы (начиная с голоцена) лишены признаков гидроморфизма и криогенеза. Поэтому можно предположить слабую расчлененность рельефа в позднеледниковое время и его последующее активное расчленение в голоцене, обусловленное деградацией многолетней мерзлоты [52, 65].
Ранний голоцен широко задокументирован в Сибири, Монголии и, в целом, Внутренней Азии как период роста температур и увлажнения [52, 53, 72]. В исследуемом регионе рост уровня увлажнения фиксируется по снижению эоловой активности [14], росту водности рек и повышению флювиальной активности [57], интенсивному протеканию селевых процессов в горах [24], трансгрессивным фазам развития озер Забайкалья [2]. Отмечается рост температур и увлажнения в Байкальском регионе, приведший к экспансии тайги после 11.5 тыс. кал. л.н. [54].
Предполагается, что доля мезоксерофитных травяных ассоциаций в сочетании с мелколиственными березовыми лесами была наиболее значительна в Забайкалье в раннем голоцене [34, 52]. На формирование почв этого времени в относительно теплых и влажных условиях лесостепи указывает существенное повышение доли гуминовых кислот в органическом веществе в сочетании со снижением негидролизуемых форм, более полное развитие профилей с дифференциацией на генетические горизонты.
Максимальное расширение таежных ландшафтов отмечается в районе 9–7 тыс. кал. л.н. [29, 34, 54], что указывает на продолжающийся рост атмосферного увлажнения. Тем не менее в среднем голоцене рост количества осадков происходил совместно с существенным ростом летних температур и испаряемости [54]. Рост летних температур, особенно выраженный в исследуемом регионе во второй половине среднего голоцена, фиксируется по повышенному содержанию диатомовых в донных отложениях озера Байкал [54] и малых озер севера Монголии [45], снижению стока рек бассейна р. Селенга 8.6–7.0 тыс. кал. л.н. [57], снижению уровня озер севера Монгольского плато [60, 77], фазам активного протекания эоловых процессов в Забайкалье [2]. Авторы [39], на основании исследования геохимии озерных отложений Внутренней Монголии, указывают на временной отрезок 8.0–4.3 тыс. кал. л.н. как наиболее засушливый в голоцене, что подтверждается по данным исследования биомаркеров [35] и характерно также для Байкальского региона [40], однако, возможно, с меньшей продолжительностью. Палинологические исследования показывают рост доли Pinus sylvestris в составе лесов, что, несмотря на наиболее широкое распространение таежных ландшафтов в Прибайкалье, может указывать на расширение теплых и засушливых местообитаний за счет более длительного и теплого вегетационного периода [29].
На этом фоне выделяется среднеголоценовый интервал с минимальной интенсивностью аккумуляции гумуса и его наиболее низкой обогащенностью азотом, а также с повышением доли нерастворимого остатка в составе гумуса, что может указывать на снижение биологической активности в это время, обусловленное аридизацией. Предположение о выраженной аридизации в среднем голоцене подтверждается и утяжелением состава стабильных изотопов органического вещества среднеголоценовых почв, выраженным во всех ландшафтных зонах (рис. 5), а также более интенсивной аккумуляцией карбонатов как в мелкоземе почв, так и в форме вторичных карбонатных новообразований.
Климат позднего голоцена оценивается как более континентальный и холодный, что было характерно и для исследуемого региона [5, 29, 52]. Более низкие температуры вегетационного периода способствовали снижению испаряемости [29, 58] и водного стресса растений, что, возможно, находит свое отражение в изотопном составе органического вещества почв этого времени. Снижение значений δ13С, увеличение содержания Cорг, повышение доли гуминовых кислот и азота отмечается в почвах, формировавшихся в районе 4.0–1.8 тыс. кал. л.н., климат которого в работе [52] оценивают как относительно влажный. Эта точка зрения хорошо согласуется с анализом колебаний оз. Телмен и Хубсугул [60], указывающим на период высокого увлажнения 4.5–1.6 тыс. кал. л.н. Фаза увлажнения 4.0–3.5 тыс. кал. л.н. фиксируется по карбонатным кутанам в почвах Байкальского региона [15]. Начиная с 1.2 тыс. л.н., фиксируется рост значений δ13С, совпадающий с ростом фульвокислот в ОВ почв, что хорошо укладывается в представления о существовании короткой фазы иссушения климата в это время [60], начало которого коррелирует со средневековым теплым периодом (1.2–0.7 тыс. кал. л.н.).
Чувствительность отклика δ13С ОВ почв к изменениям условий увлажнения в современных ландшафтах региона. Проведенные ранее исследования выявили сильную зависимость изменений значений δ13С органического вещества современных региональных почв на изменения количества осадков [10]. Отмечено, что при увеличении количества осадков в вегетационный период на каждые 100 мм в исследуемых почвах Байкальского региона значения δ13С будут уменьшаться на 1.35‰. Связь δ13С (y) с суммой осадков за вегетационный период описывается уравнением: y = –0.01355x – 21.53.
Важным моментом является хорошая сходимость полученного градиента с таковыми для прилегающих территорий Монголии и Китая [44]. Здесь изотопный градиент составляет –1.16‰/100 мм. Тесная связь изотопного состава углерода органического вещества почв с влагообеспеченностью дает возможность выполнить реконструкцию количества осадков вегетационного периода для различных временных промежутков.
Указанный выше изотопный градиент [10] основан на данных из широкого спектра ландшафтно-климатических условий региона, включая степные, лесостепные и таежные почвы. Тем не менее, исходя из изотопных данных, в степных ландшафтах на ряде временных отрезков почвы формировались, по-видимому, в заметно более засушливых условиях, чем современные (разрез Номохоново-1, интервал 5–9 тыс. кал. л.н.). В данном случае использование зависимости [10] некорректно. Несмотря на объем выборки и обширный пространственный охват исследования, почв, формирующихся в сходных по засушливости условиях, в регионе не было выявлено. Соответственно, они не были охарактеризованы и в изотопно-геохимическом отношении и не были учтены в модели.
Для решения этой проблемы необходимо использование изотопных градиентов, включающих более широкий диапазон условий почвообразования, особенно в аридном спектре. Наиболее корректной оказалась модель [44], описывающая состав стабильных изотопов органического вещества почв на макротрансекте, заложенном с северной части Китая и проходящем через всю Монголию. На большей части территории здесь также доминирует С3растительность [44, 56]. Данная модель применена для реконструкции условий увлажнения для почв разреза Номохоново.
Реконструкция динамики увлажнения в позднеледниковье и голоцене. Одной из наибольших сумм осадков вегетационного периода на исследуемой территории характеризуется ранний голоцен (рис. 6). Количество осадков в течение вегетационного периода здесь могло достигать около 330 мм в лесостепных и таежных ландшафтах. В степных ландшафтах уровень увлажнения вегетационного периода оценивается в 110–160 мм. Значительным увлажнением характеризуются интервалы, соответствующие кратковременным потеплениям в пределах позднеледниковья (сумма осадков за вегетационный период оценивается в 350–400 мм). Минимальная сумма осадков характерна для интервала 10.0–4.2 тыс. кал. л.н. с наименьшим увлажнением в конце данного временного отрезка (200–210 мм). В степных ландшафтах этот показатель колебался в пределах 70–110 мм. В дальнейшем вплоть до 2.0 тыс. кал. л.н. наблюдался рост увлажнения, сменившийся относительно кратковременным этапом аридизации около 1.0 тыс. кал. л.н. и дальнейшим ростом сумм осадков.
Рис. 6. Реконструированные значения сумм осадков вегетационного периода в течение последних 15 тыс. лет и их сопоставление с региональными палеоклиматическими данными. А – уровень увлажнения, реконструированный по данным изучения колебаний озер севера Монголии [60]; Б – динамика увлажнения на севере Монголии (б1) [72] и в Байкальском регионе (б2 [72], б3 [70]); В – реконструкция температур в Байкальском регионе [7]; Г – динамика увлажнения и изменения температур вегетационного периода [35]; Д – интенсивность педогенеза [11]. 1 – степь; 2 – лесостепь; 3 – тайга. Вертикальные прямоугольники желтого, зеленого и голубого цветов указывают на современные суммы осадков вегетационного периода в степных, лесостепных и таежных ландшафтах исследуемой территории, соответственно.
В целом полученные результаты неплохо укладываются в представления о дифференциации современных ландшафтов территории по суммам осадков вегетационного периода. Хорошо сопоставимы они и с данными о динамике климатических изменений в позднеледниковье и голоцене в Байкальской Сибири и на прилегающих территориях, выявленной с использованием различных архивов. Это вселяет определенный оптимизм при оценке достоверности полученных результатов. В то же время справедливо отметить, что модель, используемая для реконструкции, еще далека от совершенства.
Прежде всего, в ней не учтены изменения концентрации СО2 в атмосфере. Данный фактор может оказывать влияние на состав стабильных изотопов углерода растительных тканей [43, 78]. Тем не менее в рассматриваемом случае предполагается его незначительное влияние на основании анализа [46], указывающего на то, что в период между последним ледниковым максимумом и началом голоцена (11.7 тыс. л.н.) в ледовых кернах зафиксирован рост pCO2 на 80 ppmv, что сопровождалось колебаниями δ13C CO2 до 0.3‰. За тот же период изменение аналогичной величины (т.е. 0.3‰) предсказано различными моделями фракционирования углерода в растительных тканях, что предполагает незначительный эффект pCO2 [46]. Амплитуда изменений δ13C в рассматриваемом случае достигает 2‰ и более. Колебания pCO2 за голоцен были существенно ниже (в пределах 20–25 ppmv) [46].
Кроме того, мы допускаем предположение об отсутствии фракционирования изотопов в ходе диагенетических и иных трансформаций органического вещества палеопочв, характерное для большинства работ в этой области и основанное на представлениях об устойчивости изотопных отношений 13С/12С во времени [47, 55, 61, 62, 73, 74, 76].
Стоит обратить внимание и на необходимость осторожной оценки уровня увлажнения позднеледниковых интервалов, несмотря на его соответствие представлениям о повышении уровня атмосферного увлажнения для ряда временных отрезков данного периода [34, 40]. К сожалению, остается открытым вопрос о роли мерзлоты и ее сезонного протаивания в повышении влажности позднеледниковых почв, фиксирующейся по многочисленным криогенным и гидроморфным признакам. Как известно, динамика органического углерода в таких условиях существенно изменяется, что влияет и на фракционирование изотопов [9]. Выяснение обозначенных вопросов и допущений считаются авторами наиболее приоритетными темами дальнейших исследований.
Анализ полученных на данном этапе результатов в совокупности с иной палеогеографической информацией позволяет высказать сомнения в трактовке среднего голоцена как климатического оптимума на исследуемой территории с точки зрения формирования почв [7]. Более перспективным кажется подход [4], позволивший выделить два крупных оптимальных периода в голоцене (влажностного и термического) на основе анализа климатических и эколого-эдафических факторов распределения растительности. Тем не менее временные рамки этих периодов видятся в несколько иных границах для территории Селенгинского среднегорья.
К оптимальным с точки зрения увлажнения относятся интервалы 11.7–10.0 и 4.0–1.5 тыс. кал. л.н., тогда как термический максимум соответствует среднему голоцену, особенно его второй половине. Однако сложно назвать его оптимальным с точки зрения формирования почв на территории Селенгинского среднегорья с ее незначительным атмосферным увлажнением. Почвы этого времени характеризуются малой мощностью, незначительной дифференциацией профиля, низким содержанием органического углерода. Важнейшей причиной этого выступает аридизация климата, способствовавшая активному протеканию экзогенных процессов рельефообразования, которые в свою очередь обусловили малую длительность фаз педогенеза [12].
Расхождение временных рамок для влажностных и термических максимумов голоцена для Селенгинского среднегорья, с одной стороны, и котловины озера Байкал [4] и Прибайкалья [5], с другой – логично связывать с асинхронностью и неравнозначностью отклика различных районов Байкальской Сибири на изменения климата, что подчеркивает сложность региональных проявлений климата голоцена [5].
Заключение
Анализ изменений состава стабильных изотопов углерода органического вещества разновозрастных почв, сформированных в пределах почвенно-седиментационных серий Западного Забайкалья, позволил выявить неоднородный отклик почв региона на изменения уровня атмосферного увлажнения последних 15 тыс. лет. Наиболее контрастные изменения значений δ13С отмечены в степи, характеризующейся дефицитом увлажнения, наименьшая амплитуда значений δ13С характерна для таежных почв, наиболее гумидных в исследуемом ряду. Данное обстоятельство подчеркивает неравнозначность отклика различных ландшафтов исследуемой территории на изменения климата.
Вариации состава стабильных изотопов углерода хорошо укладываются в контекст региональных ландшафтно-климатических изменений, позволяя оценивать временные интервалы 11.7–10.0 и 4.0–1.5 тыс. кал. л.н. в качестве оптимальных для протекания процессов почвообразования на территории Западного Забайкалья. Рост температур и снижение атмосферного увлажнения в среднем голоцене, фиксирующиеся как в Байкальской Сибири, так и на прилегающих территориях, отрицательно отразились на развитии почв. Это позволяет высказать сомнения в трактовке среднего голоцена как климатического оптимума на исследуемой территории с точки зрения формирования почв.
В целом полученные данные впервые для исследуемой территории позволили количественно оценить отклик почв на изменения климата финальных этапов позднего неоплейстоцена и голоцена, что приближает нас к возможности более обоснованной оценки развития ландшафтов региона во времени.
Благодарность
Авторы выражают благодарность к.г.н. Э.П. Зазовской и С.М. Турчинской за организацию и проведение изотопных измерений.
Финансирование
Работа выполнена в рамках государственных заданий АААА-А21-121012190055-7 (FWEM-2021-0002).
Соблюдение этических стандартов
В данной работе отсутствуют исследования человека или животных.
Конфликт интересов
Авторы заявляют об отсутствии у них конфликта интересов.
Дополнительная информация
Онлайн-версия содержит дополнительные материалы, доступные по адресу https://doi.org/10.31857/S0032180X24070036
Об авторах
В. А. Голубцов
Институт географии им. В.Б. Сочавы СО РАН
Автор, ответственный за переписку.
Email: tea_88@inbox.ru
Россия, Иркутск
Ю. В. Рыжов
Институт географии им. В.Б. Сочавы СО РАН; Институт земной коры СО РАН
Email: tea_88@inbox.ru
Россия, Иркутск; Иркутск
А. А. Черкашина
Институт географии им. В.Б. Сочавы СО РАН
Email: tea_88@inbox.ru
Россия, Иркутск
Список литературы
- Арсланов Х.А. Радиоуглерод. Геохимия и геохронология. Л.: Изд-во Ленинградского ун-та, 1987. 300 с.
- Баженова О.И., Черкашина А.А. Голоценовый морфолитогенез Онон-Торейской равнины // География и природные ресурсы. 2022. № 4. С. 70–83.
- Базаров Д.-Д.Б. Кайнозой Прибайкалья и Западного Забайкалья. Новосибирск: Наука, 1986. 180 с.
- Безрукова Е.В., Кривоногов С.К., Абзаева А.А., Вершинин К.Е., Летунова П.П., Орлова Л.А., Такахара Х., Миеши Н., Накамура Т., Крапивина С.М., Кавамуро К. Ландшафты и климат Прибайкалья в позднеледниковье и голоцене по результатам комплексных исследований торфяников // Геология и геофизика. 2005. Т. 46. № 1. С. 21–33.
- Безрукова Е.В., Белов А.В. Эволюция растительности на северо-востоке Лено-Ангарского плато в среднем-позднем голоцене // География и природные ресурсы. 2010. № 1. С. 90–98.
- Вадюнина А.Ф., Корчагина З.А. Методы исследования физических свойств почв. М.: Агропромиздат, 1986. 416 с.
- Воробьева Г.А. Почва как летопись природных событий Прибайкалья: проблемы эволюции и классификации почв. Иркутск: Изд-во ИГУ, 2010. 205 с.
- Воробьева Л.А. Теория и практика химического анализа почв. М.: ГЕОС, 2006. 400 с.
- Голубцов В.А. Состав стабильных изотопов углерода органического вещества позднеплейстоценовых и голоценовых почв Байкальского региона // Почвоведение. 2020. № 6. С. 673–690.
- Голубцов В.А., Вантеева Ю.В., Воропай Н.Н. Влияние влагообеспеченности на состав стабильных изотопов углерода органического вещества почв Байкальского региона // Почвоведение. 2021. № 10. С. 1182–1194.
- Голубцов В.А., Рыжов Ю.В., Кобылкин Д.В. Почвообразование и осадконакопление в Селенгинском среднегорье в позднеледниковье и голоцене. Иркутск: Изд-во ИГ СО РАН, 2017. 139 с.
- Голубцов В.А., Рыжов Ю.В. Реконструкция ландшафно-климатических изменений позднеледниковья и голоцена в центральной части Селенгинского среднегорья на основании данных изотопного состава органического вещества // Почвоведение. 2017. № 2. С. 195–204.
- Голубцов В.А., Опекунова М.Ю. Строение и хронология формирования пойменных отложений рек бассейна р. Белая // Геоморфология. 2022. Т. 53. № 4. C. 42–55. https://doi.org/10.31857/S0435428122040046
- Голубцов В.А., Опекунова М.Ю., Максимов Ф.Е., Петров А.Ю. Эоловые процессы в лесостепных ландшафтах Верхнего Приангарья в голоцене // География и природные ресурсы. 2020. № 4. С. 142–151.
- Голубцов В.А., Черкашина А.А., Бронникова М.А. Карбонатные новообразования в степных и лесостепных почвах Байкальского региона: генезис, условия и хронология формирования. Новосибирск: СО РАН, 2021. 222 с.
- Государственная геологическая карта Российской Федерации. Масштаб 1 : 1 000 000 (третье поколение). Алдано_Забайкальская серия. Лист M_48 – Улан_Удэ. Объяснительная записка. СПб.: Картографическая фабрика ВСЕГЕИ, 2009a. 271 с.
- Данько Л. В. Эволюция почв экотона тайги и степи Прибайкалья в голоцене // География и природ. ресурсы. 2009. № 4. С. 17–25.
- Ербаева М.А., Щетников А.А., Казанский А.Ю., Матасова Г.Г., Хензыхенова Ф.И., Филинов И.А., Намзалова О.Ц.Д., Нечаев И.О. Новый опорный разрез плейстоцена Улан-Жалга в Западном Забайкалье // Доклады Академии наук. 2019. Т. 488. № 3. С. 277–281.
- Жуков В.М. Климат // Предбайкалье и Забайкалье. М.: Наука, 1965. С. 91–127.
- Зыкина В.С., Зыкина В.С. Лессово-почвенная последовательность и эволюция природной среды и климата Западной Сибири в плейстоцене. Новосибирск: Акад. изд-во “Гео”, 2012. 477 с.
- Иванова В.В., Ербаева М.А., Щетников А.А., Казанский А.Ю., Матасова Г.Г., Алексеева Н.В., Филинов И.А., Кузьмин М.И. Опорный разрез Тологой (верхний кайнозой, Забайкалье): реконструкция условий и особенностей осадконакопления // Геология и геофизика. 2020. Т. 61. № 12. С. 1672–1691.
- Кононова М.М., Бельчикова Н.П. Ускоренные методы определения состава гумуса минеральных почв // Почвоведение. 1961. № 10. С. 75–87.
- Кострова С.С., Майер Х., Тарасов П.Е., Безрукова Е.В., Чаплыгин Б., Косслер А., Павлова Л.А., Кузьмин М.И. Изотопный состав кислорода створок диатомовых водорослей из донных отложений озера Котокель (Бурятия) // Геология и геофизика. 2016. Т. 57. № 8. С. 1571–1580.
- Макаров С.А., Черкашина А.А. Изучение селевой активности в голоцене по данным радиоуглеродного датирования (на примере южного Прибайкалья) // Геоморфология. 2020. № 1. С. 96–106.
- Научно-прикладной справочник по климату СССР. Сер. 3. Многолетние данные. Ч. 1–6. Вып. 23. Бурятская АССР, Читинская область. Л.: Гидрометеоиздат, 1989. 549 с.
- Рыжов Ю.В., Голубцов В.А. Новые данные о литологическом составе, возрасте и этапах формирования отложений первой надпойменной террасы р. Менза (древнее поселение Усть-Менза-1, Забайкальский край) // Евразия в кайнозое. Стратиграфия, палеоэкология, культуры. 2018. Выпуск 7. С. 41–50.
- Рыжов Ю.В., Голубцов В.А., Кулагина Н.В., Опекунова М.Ю., Смирнов М.В. Природно-климатические условия осадконакопления и почвообразования в бассейне р. Селенги в позднеледниковье и раннем голоцене // География: развитие науки и образования. Т. I. СПб: Астерион; Изд-во РГПУ им. Герцена, 2020. С. 472–476.
- Рыжов Ю.В., Голубцов В.А., Опекунова М.Ю. Формирование террас реки Тарбагатайки (Западное Забайкалье) в позднеледниковье и голоцене // География и природные ресурсы. 2021. Т. 42. № 2. С. 132–140.
- Солотчина Э.П., Безрукова Е.В., Солотчин П.А., Шток О., Жданова А.Н. Позднеплейстоцен-голоценовое осадконакопление в озерах центрального Забайкалья как показатель состояния окружающей среды // Геология и геофизика. 2018. Т. 59. № 11. С. 1777–1794.
- Таргульян В.О., Соколова Т.А. Почва как биокосная природная система “реактор”, “память” и регулятор биосферных взаимодействий // Почвоведение. 1996. № 1. С. 34–47.
- Трофимова И.Е., Осипова О.П., Балыбина А.А. Подходы к оценке климатоэкологических ресурсов территории Сибири // Сибирский экологический журнал. 2019. № 5. С. 538–549.
- Убугунов Л.Л., Белозерцева И.А., Убугунова В.И., Сороковой А.А. Экологическое районирование почв бассейна озера Байкал // Сибирский экологический журнал. 2019. № 6. С. 640–653.
- Acton P., Fox J., Campbell E., Rowe H., Wilkinson M. Carbon isotopes for estimating soil decomposition and physical mixing in well-drained forest soils // J. Geophys. Res. Biogeosci. 2013. V. 118 (4). P. 1532–1545. https://doi.org/10.1002/2013JG002400
- Bezrukova E.V., Tarasov P.E., Solovieva N., Krivonogov S.K., Riedel F. Last glacialinterglacial vegetation and environmental dynamics in southern Siberia: Chronology, forcing and feedbacks // Palaeogeogr. Palaeoclimatol. Palaeoecol. 2010. V. 296. P. 185–198. https://doi.org/10.1016/j.palaeo.2010.07.020
- Bliedtner M., Strobel P., Struck J., Prochnow M., Bazarradnaa E., Zech R. Mid to Late Holocene moisture evolution of semi-arid Mongolia and its anti-phase relationship with monsoonal Asia // Quaternary Science Reviews. 2023. V. 313. 108201. https://doi.org/10.1016/j.quascirev.2023.108201
- Brincat D., Yamada K., Ishiwatayi R., Uemura H., Naraoka H. Molecular-isotopic stratigraphy of long-chain n-alkanes in Lake Baikal Holocene and glacial age sediments // Org. Geochem. 2000. V. 31. P. 287–294.
- Camino‐Serrano M., Tifafi M., Balesdent J., Hatté C., Peñuelas J., Cornu S., Guenet B. Including stable carbon isotopes to evaluate the dynamics of soil carbon in the land‐surface model ORCHIDEE // J. Adv. Modeling Earth Systems. 2019. V. 11. P. 3650–3669. https://doi.org/10.1029/2018MS001392
- Connin S.L. Isotopic discrimination during long-term decomposition in an arid land ecosystem // Soil Biol. Biogeochem. 2001. V. 33(1). P. 41–51.
- Chen C.-T., Lan H.-C., Lou J.-Y., Chen Y.-C. The dry Holocene Megathermal in Inner Mongolia // Palaeogeography, Palaeoclimatology, Palaeoecology. 2003. V. 193. P. 181–200. https://doi.org/10.1016/S0031-0182(03)00225-6
- Demske D., Heumann G., Granoszewski W., Nita M., Mamakowa K., Tarasov P. E., Oberhansli H. Late Glacial and Holocene vegetation and regional climate variability evidenced in high-resolution pollen records from Lake Baikal // Global and Planetary Change. 2005. V. 46(1–4). Р. 275–279. https://doi.org/10.1016/j.gloplacha.2004.09.020
- Diefendorf A.F., Mueller K.E., Wing S.L., Koch P.L., Freeman K.H. Global patterns in leaf 13C discrimination and implications for studies of past and future climate // PNAS. 2010. V. 107. P. 5738–5743. https://doi.org/10.1073/pnas.0910513107
- Ehleringer J.R. The influence of atmospheric CO2, temperature, and water on the abundance of C3/C4 taxa / A history of atmospheric CO2 and its effects on plants, animals and ecosystems. Ecological Studies. New York: Springer, 2005. P. 214–231. https://doi.org/10.1007/0-387-27048-5_10
- Farquhar G.D., Ehleringer J.R., Hubick K.T. Carbon isotope discrimination and photosynthesis // Annual Review Plant Physiology and Plant Molecular Biology. 1989. V. 40. P. 503–537.
- Feng Z.D., Wang L.X., Ji Y.H., Guo L.L., Lee X.Q., Dworkin S.I. Climatic dependency of soil organic carbon isotopic composition along the S–N transect from 34°N to 52°N in central-east Asia // Palaeogeogr. Palaeoclimatol. Palaeoecol. 2008. V. 257. P. 335–343. https://doi.org/10.1016/j.palaeo.2007.10.026
- Fukumoto Y., Kashima K., Orkhonselenge A., Ganzorig U. Holocene environmental changes in northern Mongolia inferred from diatom and pollen records of peat sediment // Quat. Int. 2012. V. 254. P. 83–91. https://doi.org/10.1016/j.quaint.2011.10.014
- Hare V.J., Loftus E., Jeffrey A., Bronk Ramsey C. Atmospheric CO2 effect on stable carbon isotope composition of terrestrial fossil archives // Nature Commun. 2018. V. 9. 252. https://doi.org/10.1038/s41467-017-02691-x
- Hatté C., Antoine P., Fontugne M., Lang A., Rousseau D.-D., Zöller L. δ13C of loess organic matter as a potential proxy for paleoprecipitation // Quat. Res. 2001. V. 55. P. 33–38. https://doi.org/10.1006/qres.2000.2191
- Ivanova L.I., Ivanov L.A., Ronzhina D.A., Yudina P.K., Migalina S.V., Shinehuu T., Tserenkhand G., Voronin P.Yu., Anenkhonov O.A., Bazha S.N., Gunin P.D. Leaf traits of C3- and C4-plants indicating climatic adaptation along latitudinal gradient in Southern Siberia and Mongolia // Flora. 2019. V. 254. P. 122–134. https://doi.org/10.1016/j.flora.2018.10.008
- Izuho M., Iizuka F., Buvit I., Konstantinov M. Problems associated with the age determination of the oldest pottery yielding cultural layers at the Studenoe 1 site, Transbaikal (southern Siberia) // Quaternary International. 2022. V. 608–609. P. 120–136. https://doi.org/10.1016/j.quaint.2021.02.002
- Jia Y., Wang G., Tan Q., Chen Z. Temperature exerts no influence on organic matter δ13C of surface soil along the 400mm isopleth of mean annual precipitation in China // Biogeosciences. 2016. V. 13. P. 5057–5064. https://doi.org/10.5194/bg-13-5057-2016
- Karabanov E.B., Prokopenko A.A., Williams D.F., Khursevich G.K. A new record of Holocene climate change from the bottom sediments of Lake Baikal // Palaeogeogr. Palaeoclimatol. Palaeoecol. 2000. V. 156 (3/4). P. 211–224.
- Khenzykhenova F., Dorofeyuk N., Shchetnikov A., Danukalova G., Bazarova V. Palaeoenvironmental and climatic changes during the Late Glacial and Holocene in the Mongolia and Baikal region: A review // Quat. Int. 2021. V. 605–606. P. 300–328. https://doi.org/10.1016/j.quaint.2021.04.038
- Klinge M., Sauer D. Spatial pattern of Late Glacial and Holocene climatic and environmental development in Western Mongolia. A critical review and synthesis // Quat. Sci. Rev. 2019. V. 210. P. 26–50. https://doi.org/10.1016/j.quascirev.2019.02.020
- Kobe F., Bezrukova E., Leipe C., Shchetnikov A., Goslar T., Wagner M., Kostrova S., Tarasov P. Holocene vegetation and climate history in Baikal Siberia reconstructed from pollen records and its implications for archaeology // Archaeological Research in Asia. 2020. V. 23. 100209. https://doi.org/10.1016/j.ara.2020.100209
- Kohn M.J. Carbon isotope compositions of terrestrial C3 plants as indicators of (paleo)ecology and (paleo) climate // PNAS. 2010. V. 107. P. 19691–19695. https://doi.org/10.1073/pnas.1004933107
- Lee X., Feng Z., Guo L., Wang L., Jin L., Huang Y., Chopping M., Huang D., Jiang W., Jiang Q., Cheng H. Carbon isotope of bulk organic matter: A proxy for precipitation in the arid and semiarid central East Asia // Global Biochem. Cycles. 2005. V. 19. GB4010. https://doi.org/10.1029/2004GB002303
- Mackay A.W., Swann G.E.A., Brewer T.S., Leng M.J., Morley D.W., Piotrowska N., Rioaul P., White D. A reassessment of late glacial-Holocene diatom oxygen isotope record from Lake Baikal using a geochemical mass-balance approach // J. Quaternary Science. 2011. V. 26(6). P. 627–634.
- Mackay A., Bezrukova E., Leng M., Meaney M., Nunes A., Piotrowska N., Self A., Shchetnikov A., Shilland E., Tarasov P., Wang L., White D. Aquatic ecosystem responses to Holocene climate change and biome development in boreal, central Asia // Quat. Sci. Rev. 2012. V. 41. P. 119–131. https://doi.org/10.1016/j.quascirev.2012.03.004
- O’Leary M.H. Carbon isotopes in photosynthesis // Bioscience. 1988. V. 38. P. 328–336.
- Orkhonselenge A., Krivonogov S., Mino K., Kashiwaya K., Safonova I., Yamamoto M., Kashima K., Nakamura T., Kim J. Holocene sedimentary records from Lake Borsog, eastern shore of Lake Khuvsgul, Mongolia, and their paleoenvironmental implications // Quat. Int. 2013. V. 290–291. P. 95–109. https://doi.org/10.1016/j.quaint.2012.03.041
- Pötter S., Schmitz A., Lücke A., Schulte P., Obreht I., Zech M., Wissel H., Marković S., Lehmkuhl F. Middle to Late Pleistocene environments based on stable organic carbon and nitrogen isotopes of loess-palaeosol sequences from the Carpathian Basin // Boreas. 2021. V. 50. P. 184–204. https://doi.org/10.1111/bor.12470
- Rao Z.G., Chen F.H., Cheng H., Liu W.G., Wang G.A., Lai Z.P., Bloemendal J. High resolution summer precipitation variations in the western Chinese Loess Plateau during the last glacial // Sci. Rep. 2013. V. 3. P. 2785. https://doi.org/10.1038/srep02785
- Rao Z., Guo W., Cao J., Shi F., Jiang H., Li C. Relationship between the stable carbon isotopic composition of modern plants and surface soils and climate: A global review // Earth-Sci. Rev. 2017. V. 165. P. 110–119. https://doi.org/10.1016/j.earscirev.2016.12.007
- Reimer P.J., Bard E., Bayliss A., Beck J.W., Blackwell P.G., Bronk Ramsey C., Buck C.E., Cheng H. et al. IntCal13 and Marine13 radiocarbon age calibration curves 0–50,000 years cal BP // Radiocarbon. 2013. V. 55(4). P. 1869–1887.
- Ryzhov Yu.V., Golubtsov V.A. Paleocryogenesis and erosional landform development in the Baikal region, Siberia, during the second half of the Late Pleistocene and the Holocene // Archaeological Research in Asia. 2021. V. 26. 100277. https://doi.org/10.1016/j.ara.2021.100277
- Sage R.F. Atmospheric CO2, environmental stress and the evolution of C4 photosynthesis / A history of atmospheric CO2 and its effects on plants, animals and ecosystems. Ecological Studies. 177. N.Y.: Springer, 2005. P. 185–213. https://doi.org/10.1007/0-387-27048-5_9
- Seibt U., Rajabi A., Griffiths H., Berry J. Carbon isotopes and water use efficiency: sense and sensitivity // Oecologia. 2008. V. 155. P. 441–454. https://doi.org/10.1007/s00442-007-0932-7
- Shchetnikov A., Bezrukova E., Maksimov F., Kuznetsov V., Filinov I. Environmental and climate reconstructions of the Fore-Baikal area during MIS 5-1: Multiproxy record from terrestrial sediments of the Ust-Oda section (Siberia, Russia) // J. Asian Earth Sciences. 2016. V. 129. P. 220–230. https://doi.org/10.1016/j.jseaes.2016.08.015
- Stein R.A., Sheldon N.D., Smith S.Y. Soil carbon isotope values and paleoprecipitation reconstruction // Paleoceanography and Paleoclimatology. 2021. V. 36. 2020PA004158. https://doi.org/10.1029/2020PA004158
- Tarasov P., Bezrukova E., Karabanov E., Nakagawa T., Wagner M., Kulagina N., Letunova P., Abzaeva A., Granoszewski W., Riedel F. Vegetation and climate dynamics during the Holocene and Eemian interglacials derived from Lake Baikal pollen records // Palaeogeography, Palaeoclimatology, Palaeoecology. 2007. V. 252. P. 440–457. https://doi.org/10.1016/j.palaeo.2007.05.002
- Vinnepand M., Fischer P., Fitzsimmons K., Thornton B., Fiedler S., Vött A. Combining inorganic and organic carbon stable isotope signatures in the Schwalbenberg loess-palaeosol-sequence near Remagen (Middle Rhine Valley, Germany) // Front. Earth Sci. 2020. V. 8. P. 276. https://doi.org/10.3389/feart.2020.00276
- Wang W., Feng Z. Holocene moisture evolution across the Mongolian Plateau and its surrounding areas: A synthesis of climatic record // Earth-Science Reviews. 2013. V. 122. P. 38–57. https://doi.org/10.1016/j.earscirev.2013.03.005
- Wynn J.G. Carbon isotope fractionation during decomposition of organic matter in soils and paleosols: Implications for paleoecological interpretations of paleosols // Palaeogeography, Palaeoclimatology, Palaeoecology. 2007. V. 251. P. 437–448. https://doi.org/10.1016/j.palaeo.2007.04.009
- Xie H., Zhang H., Ma J., Li G., Wang Q., Rao Z., Huang W., Huang X., Chen F.H. Trend of increasing Holocene summer precipitation in arid central Asia: Evidence from an organic carbon isotopic record from the LJW10 loess section in Xinjiang, NW China // Palaeogeography, Palaeoclimatology, Palaeoecology. 2018. V. 509. P. 24–32. https://doi.org/10.1016/j.palaeo.2018.04.006
- Xu M., Wang G., Li X., Cai X., Li X., Christie P., Zhang J. The key factor limiting plant growth in cold and humid alpine areas also plays a dominant role in plant carbon isotope discrimination // Frontiers in Plant Science. 2015. V. 6. P. 961. https://doi.org/10.3389/fpls.2015.00961
- Youfeng N., Weiguo L., Zhisheng A. A 130-ka reconstruction of precipitation on the Chinese Loess Plateau from organic carbon isotopes // Palaeogeography, Palaeoclimatology, Palaeoecology. 2008. V. 270. P. 59–63. https://doi.org/10.1016/j.palaeo.2008.08.015
- Zhang C., Zhang W., Feng Z.-D., Mischke S., Gao X., Gao D., Sun F. Holocene hydrological and climatic change on the northern Mongolian Plateau based on multi-proxy records from Lake Gun Nuur // Palaeogeography, Palaeoclimatology Palaeoecology. 2012. V. 323–325. P. 75–86. https://doi.org/10.1016/j.palaeo.2012.01.032
- Zhao Y., Wu F., Fang X., Yang Y. Altitudinal variations in the bulk organic carbon isotopic composition of topsoil in the Qilian Mountains area, NE Tibetan Plateau, and its environmental significance // Quat. Int. 2017. V. 454. P. 45–55. https://doi.org/10.1016/j.quaint.2017.08.045
Дополнительные файлы








