Water-Extractable Organic Matter of Soils with Different Degrees of Erosion and Avulsion in a Small Catchment in the Central Forest-Steppe of the Central Russian Uplands: Soil Sediments at the Dry Valley Bottom
- Authors: Kholodov V.A.1, Yaroslavtseva N.V.1, Ziganshina A.R.1, Danchenko N.N.1, Danilin I.V.1, Farkhodov Y.R.1, Zhidkin A.P.1
-
Affiliations:
- Dokuchaev Soil Science Institute
- Issue: No 7 (2024)
- Pages: 921-935
- Section: SOIL CHEMISTRY
- URL: https://ogarev-online.ru/0032-180X/article/view/273706
- DOI: https://doi.org/10.31857/S0032180X24070018
- EDN: https://elibrary.ru/XVMYZQ
- ID: 273706
Cite item
Full Text
Abstract
We studied the composition of water-extractable organic matter (WEOM) of reclaimed soils (Novic Protocalcic Chernozems) in the unplowed bottom of the dry valley and to compared it with the composition of WEOM of the plowed soils (Protocalcic Chernozems) on cropland in the small catchment. A layer-by-layer study of the composition of the WEOM of reclaimed soils was carried out from the surface to a depth of 120 cm with a step of 20 cm. Aqueous extracts were characterized by the content of organic carbon, nitrogen and pH value. The optical properties of WEOM were assessed by spectrophotometry and fluorescence spectroscopy. The optical properties of WEOM of Protocalcic Chernozems were compared with those of sediments. The features of changes in these properties with depth in sediments were also analyzed. It was revealed that erosion-accumulation processes have a significant impact on the composition of soil WEOM. The content of dissolved carbon in WEOM does not differ significantly either between arable chernozems and sediments, or along the depth of the vertical profiles of sediments. At the same time, content of nitrogen WEOM in the arable chernozems is generally higher than in the sediments, and in the sediments it naturally decreases with the depth. Probably the decrease of nitrogen content of WEOM with the depth of sediments is associated with its absorption by plant roots and with an increase with the depth in the proportion of anaerobic zones where denitrification processes are activated. The top 0–60 cm of soil sediments actively retain nutrients leached from arable soils, primarily dissolved nitrogen. This process promotes the accumulation of carbon in the underlying layers. The increase in the content of total organic carbon in Novic Protocalcic Chernozems layers deeper than 60 cm can be explained by the accumulation of DOM penetrating from above. DOM in the lower layers of Novic Protocalcic Chernozems, on the one hand, is sorbed by the soil, and on the other hand, it is preserved due to a decrease in microbial activity due to a lack of nutrients.
Keywords
Full Text
Введение
Растворенное органическое вещество (РОВ) является значимой составляющей почвенного органического вещества (ОВ) и представляет собой наиболее мобильную его часть. Состав РОВ очень сложен и включает в себя более тысячи соединений, среди которых идентифицированы аминокислоты, белки и продукты их частичной трансформации, углеводы, фенольные соединения, низко- и высокомолекулярные органические кислоты (карбоновые и ароматические), амиды, альдегиды, кетоны, спирты, а также специфические вещества – гуминовые и фульвокислоты [1]. РОВ участвует в цикле углерода, влияет на миграцию элементов питания растений, загрязняющих веществ, в том числе наночастиц [1, 7, 13, 15, 17, 30, 44, 47, 49]. Также РОВ можно рассматривать как агент влияния педосферы на гидросферу и основную форму миграции органического вещества по профилю почвы.
Связи РОВ между биологической активностью и содержанием до определенных пороговых значений почвенных элементов питания весьма сложны и неоднозначны, и, чем больше доступных питательных элементов в почве, тем выше биологическая активность почвы и тем больше содержание РОВ (особенно азотсодержащих веществ) в почвенном растворе. Однако при избытке и недостатке питательных элементов эти связи нарушаются; кроме того, микробная биомасса в квазиравновесных условиях не переходит в РОВ: ее можно извлечь только лизисом микробных клеток [48]. Например, для почв тундры была установлена корреляция биологической активности с содержанием углерода и азота РОВ. Однако множественный регрессионный анализ выявил связь этого показателя только с содержанием углерода микробной биомассы и водорастворимых соединений азота [8]. В целом влияние биологической активности и доступности элементов питания на свойства РОВ требует дальнейшего изучения и уточнения, особенно при исследовании пахотных почв и продуктов смыва и переотложения вещества почв в днище овражно-балочной сети.
Растворимая часть специфического органического вещества почв, по-видимому, существует в квазиравновесии с РОВ и является его основным источником, однако, не до конца ясно, какая именно часть почвенного ОВ переходит в РОВ. Некоторые исследователи считают, что основным источником РОВ являются свежеобразованные специфические почвенные соединения [33, 34], некоторые, напротив, предполагают, что основным источником РОВ являются продукты разложения устойчивого почвенного ОВ [22, 58]. Вероятно, что обе указанные составляющие вносят вклад в содержание РОВ.
Прежде всего, РОВ – это ОВ почвенного раствора, выделение которого в ненарушенном виде весьма трудоемко. Обычно о составе и свойствах РОВ судят на основе изучения лизиметрических вод или водных вытяжек. Для массовых экологических исследований наиболее подходящий подход – водные вытяжки. Органическое вещество, извлекаемое водной вытяжкой, называют водоэкстрагируемым органическим веществом (ВЭОВ). ВЭОВ легко извлекается из почвы, относительно экспрессно и недорого анализируется, а также является надежным показателем свойств почв, что делает этот объект весьма перспективным для изучения.
Для изучения ВЭОВ наиболее эффективны оптические методы, среди которых наиболее распространены и доступны спектрометрия ультрафиолетовой (УФ) и видимой части спектра, а также флуоресцентная спектрометрия. Эти методы сочетают в себе простоту определения, высокую информативность и приемлемую воспроизводимость результатов.
Водная эрозия почв – процесс, приводящий к значимым потерям углерода пахотных почв, в том числе черноземов [2]. При этом практически отсутствуют работы, посвященные оценке качества РОВ, вовлеченного в эрозионные процессы. Особую актуальность имеет изучение эрозионных процессов в черноземах – самых плодородных почвах России и мира. Также отмечается существенный дефицит исследований свойств намытых почв (стратоземов).
Цель работы – изучение состава ВЭОВ намытых почв (агростратоземов темногумусовых водноаккумулятивных (Novic Protocalcic Chernozems)) в нераспахиваемом днище балки и соотнести его с составом ВЭОВ расположенных рядом распахиваемых почв на пашне малого водосбора.
Объекты и методы
Балка “Хвощин лог” расположена в Курском районе Курской области в 2 км к востоку от пос. Березка (рис. 1). В пределах пашни доминируют типичные черноземы [4] (Protocalcic Chernozems [29]) разной степени смытости [6]. Почвенное вещество, смываемое с пашни, переотлагается преимущественно в нераспахиваемом днище балки с луговой растительностью. В результате в днище балки сформированы намытые почвы: агростратоземы темно-гумусовые водно-аккумулятивные [3] – Novic Protocalcic Chernozems [29]. Мощность наносов в днище балки составила: 110 см – в намытой почве в устьевой части днища балки (Д1); 136 см – в намытой почве в центральной части днища балки (Д2); 115 см – в намытой почве в верхней части днища балки (Д3). Основная масса корней сосредоточена в слое 0–60 см. Наносы промачиваются до дна балки, в нижней части профиля весной даже отмечали признаки оглеения.
Рис. 1. Схема расположения малого водосбора (слева) и космический снимок малого водосбора с наложенными горизонталями и точками обследования почв (справа).
Образцы отбирали послойно через каждые 20 см с поверхности до глубины 120 см. Также на пашне исследуемого водосбора были взяты образцы из слоя 0–20 см типичного чернозема несмытого, чернозема среднеэродированного и стратозема в распахиваемой западине. Подробные характеристики этих почв приведены в [11]. Для лучшей ясности, почвы, обследованные на пашне (точки П1, П2, П3), далее обозначены как пахотные черноземы; а почвы, обследованные в днище балки (Д1, Д2, Д3), – стратоземы. Как показал анализ данных, отличия между пахотными почвами гораздо меньше, чем между пахотными черноземами и стратоземами балки. В связи с этим усредненные данные по пахотным черноземам из слоя 0–20 см были сопоставлены со свойствами балочных почв, так как пахотные черноземы являются источником почвенного материала для стратоземов.
Анализ на содержание общего углерода и азота в почве проводили методом сухого сжигания в токе кислорода на элементном анализаторе vario MACRO Cube (Elementar) [27]. В связи с тем, что рН водной вытяжки всех образцов составил <7 ед. и отсутствовала реакция с 10%-ным раствором HCl, весь определенный углерод был отнесен к органическому (OC) [9].
Получение водной вытяжки проводили с использованием ультрачистой воды первого типа с удельным сопротивлением >18 MOм. Массовое отношение почва : вода составило 1 : 5. Суспензию встряхивали 8 ч, затем отделяли ВЭОВ от осадка центрифугированием, после чего фильтровали через целлюлозную мембрану с диаметром отверстий 0.2 мкм. Образцы, предназначенные для определения растворенного С, подкисляли до рН 2 соляной кислотой для вытеснения CO2, в вытяжках дополнительно определяли рН.
Определение содержания водоэкстрагируемых углерода (ВЭОС) и азота (ВЭN) в ВЭОВ проводили на анализаторе Shimadzu ТОС-L CSN [28].
Оптические характеристики ВЭОВ получали методами спектроскопии в УФ-видимой части спектра и флуоресцентной спектроскопии. УФ-видимые спектры ВЭОВ получали на спектрофотометре Shimadzu UV-1800 сканированием от 200 до 800 нм. Спектры использовали для расчета оптических дескрипторов SUVA254, E2/E3, E4/E6, S275–295, S350–400, S300–700 и SR. SUVA254 рассчитывали как оптическую плотность при длине волны 254 нм, нормированную на содержание углерода (л/мг см), S275–295 – это крутизна (спад) графика оптической плотности на участке от 275 до 295 нм; S350–400 и S300–700 – аналогичные показатели для участков 350–400 и 300–700 нм соответственно; SR – отношение S275–295 к S350–400 [26].
Спектры флуоресценции получали в диапазоне длин возбуждения 220–480 нм с шагом 2 нм, эмиссии от 300 до 550 нм. Ширина щели возбуждения и эмиссии – 5 нм. Съемку проводили на спектрофлуориметре Shimadzu RF 6000 при скорости сканирования 6000 нм/мин. Для обработки спектров использовали пакет staRdom для языка R. Обработку проводили согласно рекомендациям [36, 42]. Она включала в себя инструментальную коррекцию спектра, вычитание матрицы-растворителя (вода с удельным сопротивлением 18 МОм или больше), коррекцию на внутренний (цветовой) фильтр по данным спектров поглощения, нормализацию к стандартной шкале рамановских единиц (Raman Units, RU), вычитание полос рамановского и рэлеевского рассеяния, интерполяцию и параллельный факторный анализ (PARAFAC) [36, 42]. Анализ моделей с разным количеством компонентов показал, что оптимальной является пятикомпонентная модель; для апробации использовали split-half анализ.
Результаты и обсуждение
Содержание в почвенных образцах органического углерода, азота, величина рН водной вытяжки, количество растворенного органического углерода и азота, извлекаемых водной вытяжкой 1 : 5 (ВЭОС и ВЭN соответственно) в 20-сантиметровых слоях с поверхности до глубины 120 см показаны на рис. 2. Кроме того, приведены средние значения для верхнего слоя 0–20 см пахотных черноземов, обследованных в трех точках: на приводораздельном участке, в средней части склона северной экспозиции и в днище распахиваемой ложбины в нижней части склона северной экспозиции.
Рис. 2. Содержание в слоях почв органического углерода (ОС), азота (N), величина рН водной вытяжки (рН), количество растворенного органического углерода в ВЭОВ (ВЭОС): 1 – средние показатели слоя ٠– 2٠ см пахотных черноземов; 2 – средние показатели слоев с разных глубин стратоземов в днище балки.
Содержание органического углерода в слое 0–60 см черноземов балки значимо не отличается от верхнего слоя пахотных черноземов. С глубиной содержание органического углерода имеет тенденцию к возрастанию. При этом содержание азота в почвах балки на глубине 0–20 см значимо выше, чем в пахотных черноземах, и его содержание не зависит от глубины. Такие связи указывают на изменение свойств ОВ с глубиной: вероятно, происходит накопление более устойчивых соединений. Величина рН уменьшается с глубиной, что не характерно для черноземов. Видимо, привносимый в почву поверхностный материал имеет больший рН, на что указывает рН черноземов пашни, а затем с глубиной происходит подкисление среды за счет корневых выделений и углекислоты, выделяемой вследствие микробной активности. Можно предложить и другое объяснение: сначала со склона смывается верхний, с несколько меньшей величиной рН, слой (что характерно для ненарушенных черноземов), а затем и нижележащий слой, рН которого выше. Одновременное протекание обоих процессов равновероятно.
Содержание растворенного углерода в ВЭОВ значимо не различается ни между пахотными и балочными черноземами, ни вглубь по профилю. Содержание азота в ВЭОВ пахотных черноземов значимо больше, чем в балочных, при этом в балке этот показатель закономерно убывает с глубиной. Вероятно, снижение азота в ВЭОВ с глубиной связано с его поглощением корнями растений. Кроме того, с глубиной возрастает доля анаэробных зон, в которых активизируются денитрификаторы, что также способствует снижению ВЭN.
Для качественной характеристики ВЭОВ были получены УФ-видимые и флуоресцентные спектры. Спектры поглощения, усредненные по вариантам, показаны на рис. 3.
Рис. 3. Усредненные спектры поглощения ВЭОВ почв: залитые символы – слои стратоземов дна балки через каждые 20 см от ٠ до 120 см; незалитые символы –для слоя ٠– 2٠ см выше расположенных пахотных черноземов.
Общий характер спектров поглощения схож с ранее полученными для ВЭОВ черноземов и черноземоподобных почв [12, 10, 50]. При подробном сопоставлении спектров можно выделить ряд отличий. Форма спектра поглощения ВЭОВ пахотных черноземов несколько отличается от спектра ВЭОВ стратоземов балки. Для него характерно резкое, по сравнению с другими, падение в области 220–250 нм. Спектры поглощения ВЭОВ стратоземов в верхних слоях от 0 до 60 см практически не различаются. Ниже прослеживается четкая зависимость от глубины: поглощение в зоне от 220 до 440 нм закономерно снижается с глубиной в каждом слое. В то же время форма спектра, в том числе перегиб 240–300 нм, существенно не различается. Учитывая, что содержание углерода в ВЭОВ по глубинам практически не менялось (рис. 2), то все различия можно считать обусловленными строением ОВ. Для количественной оценки различий спектров для них были рассчитаны основные дескрипторы строения (рис. 4).
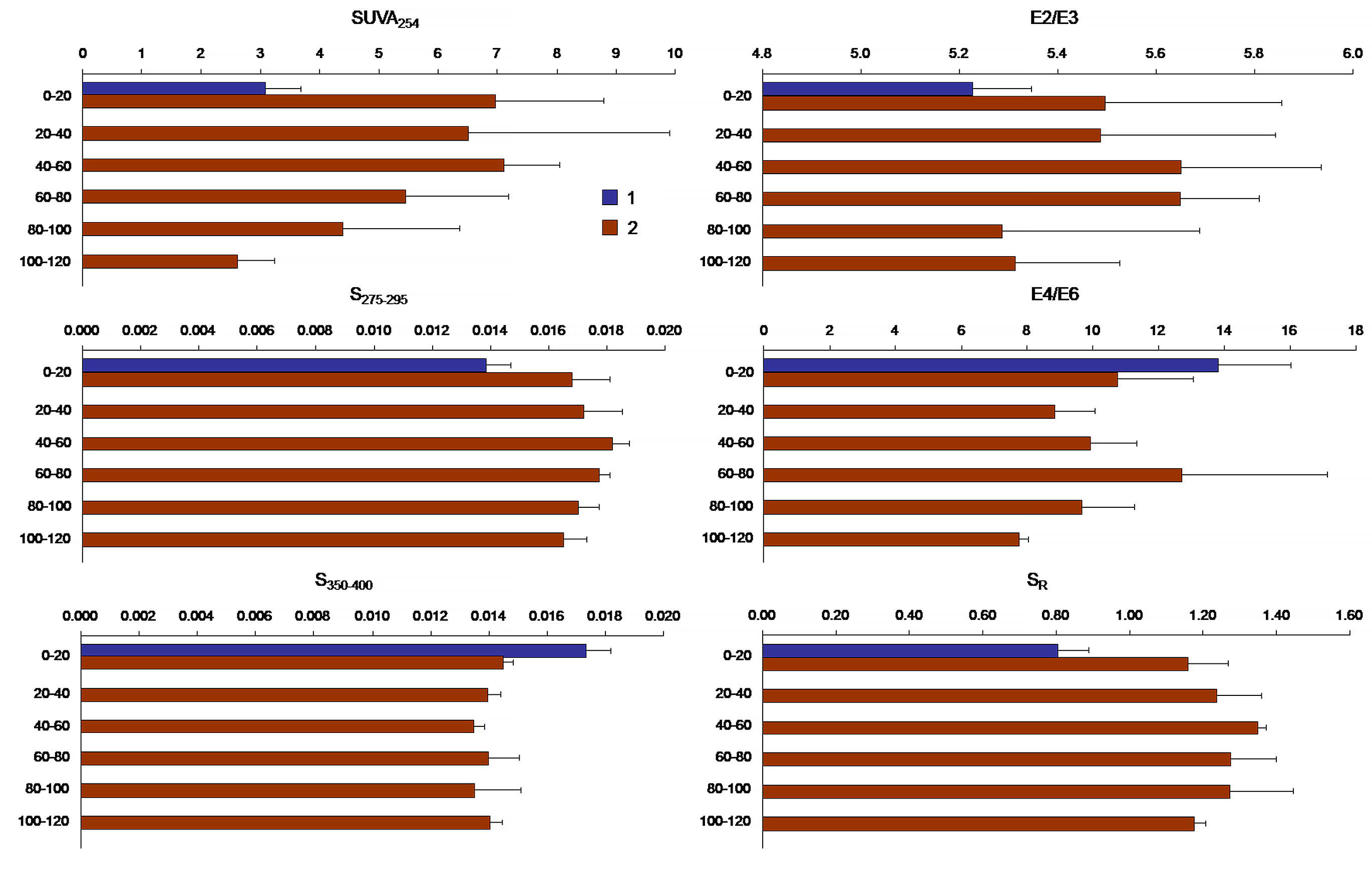
Рис. 4. Показатели спектров поглощения SUVA254, E2/E3, E4/E6, S275–295, S350–400 и SR ВЭОВ в слоях почв: 1 – средние показатели слоя ٠– 2٠ см выше расположенных пахотных черноземов; 2 – стратоземы дна балки.
Ясно видно, что ВЭОВ пахотных черноземов отличается от ВЭОВ балочных стратоземов. В некоторых случаях близки оптические индексы пахотного варианта и слоя 100–120 см (SUVA254 и E2/ E3). Оптические дескрипторы стратоземов балки для первых трех слоев, до 60 см, значимо не отличаются. Затем в ряде случаев наблюдается зависимость от глубины. Наиболее четко описанная зависимость видна для SUVA254 – этот показатель отражает содержание ароматических структур в ОВ [32]. Величина SUVA254 значимо не изменяется в слоях 0–60 см, а затем имеет тенденцию к снижению через каждые 20 см, причем в слое 100–120 см значимо не отличается от показателя для пахотных черноземов. Схожую картину демонстрирует индекс S275–295, снижение этого показателя связывают с увеличением молекулярной массы [26]. Хотя, в этом случае значимо отличается только ВЭОВ пахотных черноземов в слое 0–20 см от всех остальных вариантов. Уменьшение ароматичности ВЭОВ с глубиной объясняется снижением доли фрагментов лигнина в ВЭОВ [32]. Ароматические соединения имеют более высокое сродство по сравнению с другими компонентами ОВ к некоторым глинистым минералам [14] и, видимо, эффективнее сорбируются почвой с глубиной [14]. Кроме того, в корневых и микробных выделениях также содержится много ароматических веществ [21, 35], количество которых также закономерно снижается с глубиной. Близость показателя ароматичности (SUVA254) ВЭОВ верхнего слоя пахотных черноземов и глубинных слоев стратоземов объясняется видом использования почв: в пахотных черноземах гораздо меньше корней (отбор образцов проводили весной) и растительных остатков, соответственно, меньше ароматических компонентов, связанных с этими источниками.
Показатель E2/E3 ВЭОВ пахотных черноземов по своей величине близок к ВЭОВ нижних слоев стратозема (80–120 см), однако из-за большого разброса можно говорить только о тенденции, согласно которой это отношение в ВЭОВ пахотного чернозема меньше, чем в верхних (0–80 см) слоях черноземов балки, и не отличается от нижележащих слоев. Показатель E4/E6 является обратным степени гумификации [5, 40, 46] и имеет большой разброс. Можно выявить только значимо большие значения этого показателя в ВЭОВ пахотных черноземов по сравнению со стратоземами. В целом нужно заключить, что ВЭОВ пахотных черноземов по сравнению с черноземами балки менее ароматичное, имеет несколько большую молекулярную массу, менее гумифицированно.
Трехмерные флуоресцентные спектры показаны на рис. 5.
Рис. 5. Типичные трехмерные спектры флуоресценции ВЭОВ в слоях почв (٠– 1 2٠ см): 1 – пахотные черноземы; 2 – стратоземы балки.
Спектры флуоресценции изучаемых почв схожи, можно лишь отметить меньшую интенсивность флуоресценции в пахотных черноземах и снижение интенсивности с глубиной. Вероятно, это связано с меньшим содержанием свежих растительных остатков или корневых выделений, которые имеют относительно высокую флуоресценцию, их меньше в пахотных почвах, и их содержание убывает с глубиной. Полученные спектры были разложены методом PARAFAC [36, 42] на пять компонентов (рис. 6).
Рис. 6. Компоненты С1–С5 см. табл. 1, полученные разложением флуоресцентных 3D-спектров ВЭОВ с помощью PARAFAC. Каждая компонента в RU нормирована на свой максимум интенсивности.
Данные пять компонентов (С1, С2, С3, С4 и С5) были сопоставлены с базой данных OpenFluor [37], которая позволяет искать совпадения с ранее опубликованными аналогичными компонентами. Был выявлен ряд компонентов со схожестью 95% и выше.
Наибольшее количество работ, приуроченных РОВ, посвящены морским системам, при этом самой актуальной задачей являлось разделение компонентов ОВ по происхождению: наиболее часто выявляли морское ОВ и терригенное, что отражено в табл. 1. В приложении к ВЭОВ почв эти разделения следует рассматривать как ОВ разного строения.
Таблица 1. Описание индивидуальных флуоресцирующих компонентов, идентифицированных с помощью PARAFAC-моделирования в ВЭОВ черноземов
Компонент | λ возбуждения*, нм | λ эмиссия, нм | Описание (обозначение компонента в работе и его предполагаемая природа) |
C1 | 312 (<220) | 420 | C3 морские гуминоподобные вещества [ 1٨], пик M по [ 1٩] или микробное окисленное ОВ [ 5 4] C1 морские гуминоподобные вещества, величина снижается с увеличением молекулярной массы [ 2 3] C410 обратно коррелирует с соленостью [ 5 3] |
C2 | 362 (274) | 470 | C3 смесь гуминоподобных пиков A и C по [19, 57] C3 терригенные гуминоподобные [23] C2 коррелирует с содержанием фенолов лигнина [51] CP3(fluo) высокопреобразованный органический материал, который имеет тенденцию сохраняться в почвах (биодеградированные танины) [ 3٩] |
C3 | 264 | 470 | C2 терригенные гуминоподобные предположительно фотоустойчивые, окисленные хиноноподобные [56] C1 гуминоподобные, с высоким сродством к глинам [25] C460 фотоустойчивые в диапазоне UVC, гуминоподобные компоненты антарктических вод [ 3 1] С 4 терригенные гуминоподобные, устойчивые, возможный индикатор трансформации РОВ в озерах [20] |
C4 | 300 (<220) | 515 | C3 гуминоподобные компоненты [ 1 6] C500 плохо сорбируется на PPL сорбент при твердофазной экстракции [ 5 2] C3 терригенные гуминоподобные компоненты тесно отрицательно коррелирующие с соленостью [ 5 5] С 4 биоразлагаемые гуминоподобные компоненты, вероятно включают большие гидрофобные молекул, хорошо сорбируются почвой [ 4 5] |
C5 | 280 (<220) | 325 (305) | C3 пик B Кобла [ 1٩], протеиноподобные компоненты [ 2 4] C5 триптофаноподобный компонент [ 5 7] SW3 белковый материал [41] C5 протеиноподобные компоненты [38] |
*В скобках даны цифры для вторичных максимумов.
Резюмируя данные табл. 1, можно предположить свойства выявленных компонентов:
С1 – часть флуоресцирующего ОВ с относительно небольшой молекулярной массой, но при этом достаточно гидрофобная, чтобы реагировать на увеличение ионной силы;
С2 – часть ОВ, представленная частично разложенными танинами и лигнинами в ВЭОВ;
С3 – часть ОВ хинонной природы, наиболее устойчивая, в том числе к фоторазложению, с высоким сродством к тонкодисперсным минералам;
С4 – доступное для разложения ОВ, в том числе крупные небелковые биомолекулы;
С5 – триптофановый компонент, отражающий содержание полипептидов и биологическую активность.
Величины компонентов: суммарная интенсивность флуоресценции для каждого компонента в Рамановских единицах (RU) – приведены на рис. 7.
Рис. 7. Величины флуоресцирующих компонентов С 1–С 5 см. табл. 1 (RU) ВЭОВ в слоях почв: 1 – средние показатели слоя ٠– 2٠ см выше расположенных пахотных черноземов; 2 – стратоземы дна балки.
У ВЭОВ пахотного чернозема первые четыре флуоресцирующих компонента (С1–С4) количественно меньше по сравнению с полученными для трех верхних слоев балки (0–60 см) и сопоставимы с нижележащими. Эти составляющие спектра характеризуют разные компоненты ВЭОВ, прежде всего – гуминоподобной части. С глубиной убывают компоненты ОВ, связанные с поступлением свежего ОВ. Видимо это отражается и в стратификации: с глубиной накапливается наиболее переработанное ОВ, при этом свойства его приближаются к показателям ВЭОВ пахотных черноземов, более гумифицированных, как это свойственно обрабатываемым черноземам по сравнению с неиспользуемыми аналогами [5]. В этом плане интересно отметить, что С1 – менее трансформированное ОВ.
Триптофановый (белковый) компонент (С5) в ВЭОВ пахотных черноземов в несколько раз меньше, чем в балке, что согласуется с вышеизложенными рассуждениями. Меньшее содержание белкового компонента отражает меньшее содержание микроорганизмов и, соответственно, более низкий уровень биологической активности. В стратоземах балки она закономерно снижается с глубиной в связи с уменьшением количества доступных субстратов и элементов питания. А в пахотных черноземах С5 в несколько раз меньше, даже чем в слое 100–120 см стратоземов (где этот показатель в почвах балки минимален). При этом доступных минеральных элементов в пахотных черноземах больше, чем в балке (как минимум азота, рис. 2), поэтому низкая биологическая активность вероятно связана с недостатком субстрата – растительных остатков, что характерно для агроценозов.
Зависимость флуоресцентных свойств ВЭОВ от глубины в черноземах балки напоминает тенденции, отмеченные выше для оптического поглощения. Общая тенденция – снижение соответствующих показателей с глубиной. Выделяется слой 0–60 см, в котором близки величины флуоресцирующих компонентов С1, С3 и С5, а в ниже расположенных слоях (60–120 см) показатели меньше. Для С2 и С4 выражено закономерное снижение интенсивности флуоресценции с глубиной в каждом слое. Предположительно, в слоях 0–60 см происходит как активная переработка ОВ микроорганизмами ризосферы, так и его выделение корнями растений и поглощение веществ, поступивших из вышерасположенных пахотных черноземов.
В первую очередь, видна задержка и изъятие из состава ВЭОВ легкорастворимого азота, количество которого резко снижается в балке по сравнению с пашней, очевидно поглощаемого корнями и ризосферной микрофлорой. Связанное с этим процессом активное размножение микроорганизмов выражается в резком (на порядок) увеличении триптофанового компонента С5 по сравнению с ВЭОВ пахотных черноземов.
Обращает на себя внимание тот факт, что, несмотря на примерно одинаковое содержание ВЭОВ во всех слоях, интенсивность его флуоресценции убывает с глубиной. Таким образом, на фоне неизменного содержания ВЭОВ происходит снижение в ее составе флуоресцентного ОВ и накопление ОВ, не обладающего флуоресцентными свойствами.
Из крупных групп ОВ не обладают флуоресценцией полисахариды. Эти вещества достаточно легко перерабатываются микроорганизмами, однако с глубиной количество растворимого (и потенциально доступного) азота в черноземах балки существенно уменьшается, и на фоне его дефицита микроорганизмы не могут использовать полисахариды как субстрат, вследствие чего эта группа ОВ может накапливаться. Кроме того, менее доступные ароматические соединения (наиболее оптически активные) в составе ОВ могут иметь большее сродство к глинистым минералам [14], из-за чего лучше сорбироваться почвой по сравнению с полисахаридами и, по мере просачивания в глубину, исчезают из состава ВЭОВ, что хорошо видно по снижению показателя SUVA254.
Заключение
Общее содержание органического углерода в слоях черноземов балки имеет тенденцию увеличиваться с глубины 60 см, а с 80 см оно уже значимо больше, чем в вышележащих слоях. Глубина 60 см балочных наносов – значение, при котором начинают существенно изменяться оптические показатели ВЭОВ. Поэтому, привлекая полученные данные о ВЭОВ, можно описать этот феномен. В ВЭОВ стратоземов в балке с глубиной снижаются величины всех оптических показателей ВЭОВ, напрямую связанные с содержанием хромофоров и флюорофоров (SUVA254, С1–С5). Однако содержание ВЭОС не изменяется. Среди оптических показателей с глубиной снижаются, в том числе, индикаторы устойчивого ОВ: SUVA254 и C3. Наиболее логичное объяснение заключается в накоплении в составе ВЭОВ веществ, не обладающих флуоресценцией, вероятнее всего – полисахаридов. Эта группа ОВ неустойчива к микробному разложению, но в силу недостатка потенциально доступного азота (ВЭN) в нижних слоях, она сохраняет устойчивость. На правильность этого предположения указывает консервация ОВ на фоне дефицита азота и снижение общего содержания азота с глубиной. Также в пользу этого аргумента говорит уменьшение в нижней части профиля компонента С5, отражающего содержание белков в ВЭОВ. При этом уменьшение с глубиной содержания в ВЭОВ ароматических и устойчивых соединений можно объяснить их связыванием с твердой фазой почвы, что и выражается в накоплении общего органического углерода в нижней части профиля.
Таким образом, при эрозии пахотных черноземов, их РОВ оказывает существенное влияние на зону переотложения наносов. При этом поверхностная часть намытых почв задерживает дефицитные биогенные вещества, в первую очередь доступный азот, а в нижней (глубже 60 см) части профиля закрепляется растворенное, и аккумулируется доступное ОВ вследствие сорбции и недостатка азота.
Для полученных результатов можно сделать следующие выводы:
– эрозионно-аккумулятивные процессы оказывают значимое воздействие на состав ВЭОВ почв, судя по его оптическим свойствам;
– с глубиной (более 60 см) в стратоземах в днище балки возрастает содержание органического углерода, что объясняется накоплением проникающего сверху РОВ;
– закрепление растворенного углерода в нижней части профиля происходит предположительно путем консервации относительно доступных фракций ОВ из-за недостатка элементов питания, в первую очередь азота, и сорбции ароматического ОВ твердой фазой почв;
– верхние 0–60 см стратоземов балочных наносов активно задерживают привносимый растворенный азот, что способствует накоплению углерода в нижележащих слоях.
Финансирование работы
Полевые исследования были выполнены при поддержке гранта Российского научного фонда: проект № 22-17-00071, https://rscf.ru/project/22-17-0007/.
About the authors
V. A. Kholodov
Dokuchaev Soil Science Institute
Author for correspondence.
Email: vkholod@mail.ru
ORCID iD: 0000-0002-6896-7897
Russian Federation, Moscow
N. V. Yaroslavtseva
Dokuchaev Soil Science Institute
Email: vkholod@mail.ru
Russian Federation, Moscow
A. R. Ziganshina
Dokuchaev Soil Science Institute
Email: vkholod@mail.ru
Russian Federation, Moscow
N. N. Danchenko
Dokuchaev Soil Science Institute
Email: vkholod@mail.ru
Russian Federation, Moscow
I. V. Danilin
Dokuchaev Soil Science Institute
Email: vkholod@mail.ru
Russian Federation, Moscow
Yu. R. Farkhodov
Dokuchaev Soil Science Institute
Email: vkholod@mail.ru
Russian Federation, Moscow
A. P. Zhidkin
Dokuchaev Soil Science Institute
Email: vkholod@mail.ru
Russian Federation, Moscow
References
Supplementary files









