Season-Dependent Effect of Fire-Derived Charcoal on Above- and Belowground Litter Decomposition in Boreal Forests
- Авторлар: Bryanin S.V.1, Kondratova A.V.1, Danilov A.V.1, Susloparova E.S.1
-
Мекемелер:
- Institute of Geology and Nature Management, Far East Branch, Russian Academy of Sciences
- Шығарылым: № 3 (2024)
- Беттер: 506-516
- Бөлім: DEGRADATION, REHABILITATION, AND CONSERVATION OF SOILS
- URL: https://ogarev-online.ru/0032-180X/article/view/264074
- DOI: https://doi.org/10.31857/S0032180X24030104
- EDN: https://elibrary.ru/YHTMJR
- ID: 264074
Дәйексөз келтіру
Толық мәтін
Аннотация
Fire-derived charcoal (charcoal) is a stable byproduct of forest fires that accumulates in the litter layer and soils of boreal forests. Therefore, decomposition of litter and roots, as one of the key processes in the carbon cycle, in the soils of northern forests almost everywhere go in the presence of charcoal. To date, there are extremely scarce data on the influence of charcoal on decomposition in boreal forests, and most of them do not consider the cold period, which lasts on average half a year in this zone. The purpose of this work was to determine the seasonal influence of charcoal on the decomposition of plant litter of different quality (larch needles, birch leaves, grasses, and mixtures of these species of litter) on the surface of the soil and the roots of these same species in the soil. In “litterbag” experiment it was found that charcoal accelerated decomposition of litter and that its effect was species-specific. The acceleration of mass loss in the presence of charcoal occurred for recalcitrant litter (needles) and all types of roots during the cold period. In the warm period, acceleration of decomposition in the presence of charcoal was observed only for needles and was not observed for roots. Thus, our study shows a greater influence of charcoal on intra-soil decomposition especially in the cold period. Seasonal influence of charcoal was established for the first time and should be taken into account as an important factor of humus formation and carbon dynamics in soils of boreal forests.
Негізгі сөздер
Толық мәтін
ВВЕДЕНИЕ
Почвы бореальных лесов – самый значительный сток углерода (С) в наземных экосистемах, который пополняется при разложении опада и корней растений [19, 34]. Огонь исторически являлся важным фактором динамики северных лесов [18], а современный тренд возрастающей пирогенной нагрузки по прогнозам сохранится и в будущем [46, 47]. Помимо непосредственного влияния на основные пулы С, пожар трансформирует часть надземной биомассы и органического вещества почв в продукты горения [6]. Среди таких продуктов самым долговременным и неоднозначным по экологическим функциям является пирогенный уголь (далее – уголь) [31].
Более трети лесопокрытых площадей России заняты лиственничными экосистемами, учитывая континентальность климата в этом ареале, лиственничники часто подвергаются пирогенному воздействию [45]. Комбинация высокой пирогенной нагрузки и низких темпов разложения угля привела к формированию значительных запасов угля преимущественно в слое лесных подстилок и непосредственно под ними [40, 44]. Влияние угля, который накапливается и сохраняется в лесной подстилке, на разложение растительного опада – основного потока С между растительным и почвенным пулами, до сих пор остается дискуссионным.
Уголь не является инертным материалом и может изменять физические и химические свойства почв, а также их биологическую активность [24, 26]. Несмотря на большой объем знаний о влиянии угля на свойства почв, мало известно о его роли в процессах биодеструкции в почвах бореальных лесных экосистем, где уголь накапливается в значительных количествах. Ученые американской научной школы утверждают, что уголь, компенсируя газообразные выбросы С от пожаров и других антропогенных источников [23, 30], является долговременным, малодинамичным пулом С [22]. Группа скандинавских ученых на основе многолетнего эксперимента в хвойных бореальных лесах установила потери гумуса лесных почв в присутствии угля [52]. Такой результат вызвал серьезную полемику и целый ряд дальнейших исследований в разных природных зонах. Большинство современных исследований характеризует динамику органического вещества почв [37, 48] и рост растений в присутствии угля [27, 36]. При этом влияние угля на разложение опада изучается редко и в основном в рамках краткосрочных лабораторных экспериментов, выводы которых неоднозначны [8, 16]. Полевые исследования разложения опада в присутствии угля единичны [32]. Так, недавние исследования в бореальных лесах Дальнего Востока России показали, что древесный уголь может ускорять разложение тонких корней лиственницы [12]. Однако процессы разложения надземного растительного опада в присутствии угля в бореальных лесах до сих пор не изучены.
В бореальных лесах четко выражена сезонность: значительная часть года характеризуется отрицательными температурами не только воздуха, но и почв, а в отдельных регионах с маломощным снежным покровом, почвы промерзают до 2 м. Более того, холодный период следует за естественным листопадом, и включает в себя определенные стадии разложения. Несмотря на большую длительность этого периода, сведений о механизмах разложения намного меньше, чем за теплый период. Имеющиеся исследования указывают на наличие биологической активности [3] и потери массы опада в холодный зимний период, которая объясняется фрагментацией и выщелачиванием [10, 11, 20, 21]. Другие работы в умеренных лесах и экосистемах тундры установили наличие микробной активности под слоем снега даже при отрицательных температурах [38, 50]. По нашим сведениям, роль угля в процессе разложения опада в сезонном аспекте ранее не изучалась. Учитывая климат бореальных лесов со значительной длительностью холодного периода и высокой пирогенной нагрузкой, изучение биодеструкции опада в присутствии угля в контексте сезонов года необходимо для понимания накопления С и гумусообразования в почвах этих экосистем.
Факторы среды наряду с качеством опада играют важную роль в его разложении [9, 39]. Среди таких факторов температура и влажность считаются главными драйверами разложения, особенно на ранних этапах. Кроме того, показана различная чувствительность легко- и трудноразлагаемых растительных остатков к изменению температуры и влажности [4]. Уголь, как материал с высокими адсорбционными свойствами, способен удерживать значительные количества влаги [35], и в микроусловиях может значительно влиять на влажность опада, ускоряя процесс разложения, особенно в засушливые периоды [32]. Поэтому изучение динамики влажности в присутствии угля требует особого внимания при проведении экспериментов по изучению разложения опада.
В смешанных лесах, которые в условиях растущей пирогенной нагрузки заменяют ненарушенные монодоминантные хвойные леса, разложение протекает в смеси из разного опада, который кроме растительных видов условно делится на легко- и трудноразлагаемый в зависимости от содержания элементов питания [15]. Установлено, что трудноразлагаемые виды растительных остатков являются основным источником дисперсного органического вещества в почве, а легкоразлагаемые – микробной биомассы [5]. Качество опада определяет скорость его разложения, при этом смешивание разных типов опада в естественных условиях может приводить как к замедлению, так и ускорению разложения смеси [53]. Неизвестно, как уголь может влиять на эффект смешивания различных видов опада.
Таким образом, влияние угля на динамику почвенного органического вещества и свойства почв в последние годы активно обсуждается в ведущих международных изданиях. При этом такие важные экосистемные процессы, как разложение опада в присутствии угля в бореальных лесах до сих пор не изучены.
Цель работы – установить, как уголь влияет на разложение надземного опада разного качества и тонких корней доминирующих видов растений в условиях полевого эксперимента в лиственничном лесу. Если эффект угля обнаруживается, то различается ли он между холодным и теплым периодами года? Есть ли различие влияния угля на надземный опад и корни? Изменяет ли уголь эффект смешивания различных видов опада в надземной и подземной частях экосистемы?
ОБЪЕКТЫ И МЕТОДЫ
Исследования проведены на Дальнем Востоке России в зоне прерывистой многолетней мерзлоты (53°50′ N, 127°10′ E). В Зейском государственном природном заповеднике, который занимает восточную часть хребта Тукурингра, выбрана пологая нижняя часть южного макросклона, покрытая естественным лиственничником бруснично-разнотравным с участием березы и осины (Larix gmelinii (Rupr.) Rupr, Betula platyphylla, Populus sp.). Среднегодовая температура на исследуемой территории составляет −0.7°С, минимальная среднемесячная температура воздуха приходится на январь (−19.3°С), максимальная – на июль (+19.1°С). Среднегодовое количество осадков составляет 526.8 мм, из которых 77% выпадает в виде дождя с июля по сентябрь. Почвы исследуемой территории представлены буроземами грубогумусовыми (Cambisols). Они часто имеют как морфологические – в виде углей в поверхностных горизонтах [2], так и физико-химические [7, 13] признаки пирогенного воздействия. В естественном состоянии они характеризуются мощным слоем подстилки (~ 10 см), как правило, с несколькими подгоризонтами разной степени ферментации и кислой реакцией среды [2]. В данном исследовании подстилка мощностью около 10 см имела следующее строение: слой L – 1.5 см, F – 3.5 см, H – 5 см. Подстилка сформирована из следующих фракций: листья березы – 33%, хвоя лиственницы – 25%, ветви – 16%, трава – 11%, кора – 3%, прочие компоненты 12%. Характеристика лесной подстилки объекта исследований представлена в табл. 1.
Таблица 1. Химические и физико-химические свойства лесной подстилки
Показатель | Среднее ± SE (n = 20) |
pH H2O | 4.8 ± 0.1 |
Общий органический С, % | 20.1 ± 2.0 |
Общий N, % | 0.77 ± 0.08 |
Водорастворимый органический С, мг/л | 43.9 ± 4.35 |
Водорастворимый органический N, мг/л | 1.11 ± 0.17 |
Примечание: SE – стандартная ошибка среднего арифметического.
Исследование выполнено в лесном массиве, не подвергавшемся лесным пожарам более 60 лет, без очевидных признаков пирогенного воздействия и отсутствием угля в слое подстилки и на ее поверхности. Эксперимент заложен на постоянной исследовательской площадке квадратной формы площадью 400 м2. В ее пределах на расстоянии не менее 20 друг от друга заложены 7 площадок размером 5 × 5 м для проведения данного исследования.
Для изучения влияния угля на разложение органического вещества провели полевой “litterbag” эксперимент, в котором использовали основные виды опада, характерные для лиственничных лесов, и уголь из древесины лиственницы. К видам опада, изученным в данной работе, относятся: листья березы плосколистной Betula platyphylla Sukacz. – “листья”, хвоя лиственницы Гмелина (Larix gmelinii (Rupr.) Rupr.) – “хвоя”, надземная часть трав (вейник Calamagrostis sp. и осока Carex sp.) – “травы”. Кроме изучения отдельных видов опада в обоих вариантах эксперимента изучали разложение смеси этих видов в равных пропорциях – “смесь”. Параллельно разложению опада рассматривали внутрипочвенное разложение тонких корней тех же видов: лиственницы, березы и трав. Опад древесных растений собран с использованием опадоуловителей [1]. Сбор травянистой растительности осуществляли методом укосов с площадок размером 1 × 1 м2. Тонкие корни извлекали из слоя 0–10 см, отмывали, выделяли необходимый диаметр и высушивали до воздушно-сухого состояния. Уголь изготавливали из древесины лиственницы в лабораторных условиях при температуре 450°C в бескислородной среде в течение 45 мин. Зольность угля (при 600°C) составила 4.63%. Химический состав угля представлен в табл. 2. Готовый уголь измельчали и пропускали через набор сит для получения однородной фракции 1–2 мм.
Таблица 2. Химический состав исходного угля, %
Показатель | В угле | В золе |
SiO2 | 2.51 | 56.52 |
TiO2 | 0.018 | 0.41 |
Al2O3 | 0.77 | 17.34 |
Fe2O3 | 0.09 | 2.09 |
MnO | 0.136 | 3.06 |
CaO | 0.43 | 9.68 |
Na2O | 0.11 | 2.47 |
MgO | 0.13 | 2.92 |
K2O | 0.20 | 4.50 |
P2O5 | 0.038 | 0.85 |
Для исследования процесса разложения разных типов опада использовали мешочки 100 × 100 мм с герметичными краями. Их готовили из двух видов материалов: верхняя часть из капроновой сетки с размером ячеек 2 мм обеспечивала доступ почвенной фауны, нижняя – из нейлоновой ситовой ткани, с размером ячеек 35 мкм предотвращала вымывание фрагментов разлагающегося опада и частичек угля.
Эксперимент имел 2 варианта: контрольный и с добавлением угля. В варианте с углем в мешочек помещали 4 г пирогенного угля равномерным слоем, покрывающим всю площадь дна, сверху равномерным слоем располагали 4 г определенного вида опада или смеси. В контрольном варианте эксперимента 4 г опада располагали равномерно по дну мешочка. Для каждого варианта эксперимента все виды опада размещали на 7 площадках в пространстве. Мешочки всех видов опада и корней обоих вариантов эксперимента располагали рядами в случайном порядке, соблюдая расстояние между мешочками не менее 10 см. Мешочки раскладывали на поверхности лесной подстилки, слегка прикрывая свежим опадом, для лучшей фиксации на поверхности. Мешочки с корнями закладывали на границе подстилка–почва, на глубине около 6 см. Всего было заложено 182 мешочка: 90 с углем и 92 контрольных. В дату отбора вынимали по 6 мешочков каждого вида опада по одному с площадки. Эксперимент начат 4 октября 2019 г. с установлением нулевых среднесуточных температур, в конце естественного периода листопада и активного опадания хвои лиственницы. Первый контрольный отбор осуществляли 8 мая 2020 г. на 218 день от начала эксперимента после схода снега и оттаивания слоя подстилки. Второй отбор производили через 365 дней после начала эксперимента 3 октября 2020 г. Такой подход позволил рассматривать влияние угля на разложение отдельных видов опада, а также их смесей в контексте холодного и теплого периодов года. После извлечения мешочек вскрывали и производили разделение опада или корней и угля, так же отделяли мезофауну и инородные включения. После разделения полученные компоненты высушивали при температуре 40°C до постоянного веса и определяли остаток массы в процентах относительно исходной массы опада или корней в мешочке. Скорость разложения (k) рассчитывали отдельно для холодного (0–218 дней) и теплого периодов (218–365 дней) с помощью отрицательной экспоненциальной модели потери массы, описанной Олсоном [33] по формуле:
ln (Mt/M0) = –kt,
где Mt – остаток массы в интервале t, M0 – начальная масса в момент времени t = 0, ln – натуральный логарифм. В исследовании k (константа скорости разложения) отражает интенсивность процесса разложения, а потеря массы – итоговый результат, выраженный в весовых процентах относительно исходной массы на дату отбора.
В течение всего эксперимента осуществляли непрерывное (1 раз в час) наблюдение за температурой в непосредственной близости с мешочками при помощи термологгеров Tidbit v2 Temp Logger (Onset Computer Corporation, США). Всего было размещено 7 логгеров – по одному на каждой площадке. Влажность определяли в дату отбора образцов.
Лабораторные исследования выполнены в ЦКП “Амурский центр минералого-геохимических исследований” ИГиП ДВО РАН. Статистическую обработку и визуализацию данных проводили в программной среде R-studio [42]. На первом этапе все данные проверяли на нормальность и однородность дисперсий. Проверку гипотез на статистическую достоверность различий и значимость рассчитанных статистик осуществляли при 5%-ном уровне значимости с применением методов многофакторного дисперсионного анализа ANOVA с последующим апостериорным тестом Тьюки (Tukey HSD).
РЕЗУЛЬТАТЫ
Температура и влажность. Начальный (холодный) период разложения длился с октября по май (218 дней). Большую часть холодного периода (160 дней) сохранялась отрицательная температура лесной подстилки. Средняя температура лесной подстилки в холодный период составила –2.3°С, минимальная –5.1°С, а сумма отрицательных температур составила –368°С. Второй (теплый) период длился с мая по октябрь (147 дней) и совпадал с вегетационным. Средняя температура теплого периода составила +10.6°С, минимальная 0°С, максимальная +21.7°С, сумма температур за период составила +1807°С. В теплый период среднесуточные температуры варьировали больше, чем в холодный (рис. 1).
Рис. 1. Среднесуточные температуры лесной подстилки на глубине 3 см. Данные представлены средними величинами (n = 7), серое поле отображает минимальную и максимальную суточные температуры.
В контрольном варианте влажность надземного опада в холодный период была ниже по сравнению с теплым (p < 0.001), при этом влажность корней между периодами не различалась. Добавление угля повышало влажность в оба периода как для надземного опада, так и для корней, при этом варьирование влажности между типами опада было минимальным (рис. 2).
Рис. 2. Влияние угля на влажность опада и корней за изучаемый период. Данные представлены средними значениями (n = 7), планки погрешностей отображают ±1SE. Значимое влияние угля в отдельных вариантах эксперимента обозначено (*) соответственно значениям p: *** <0.001, ** <0.01, * <0.05.
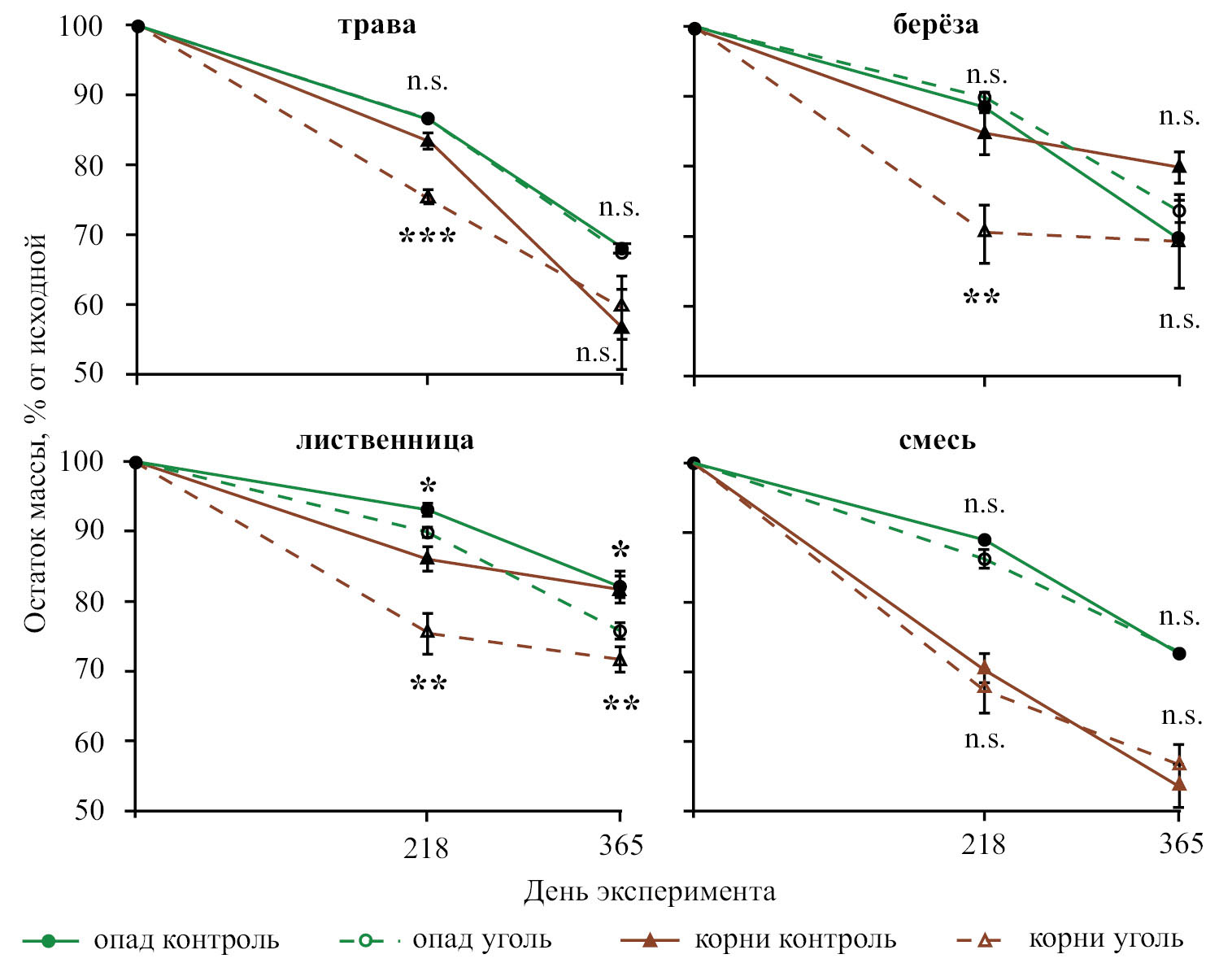
Разложение надземного опада. Потеря массы надземного опада на 218 день составила от 7 до 14% относительно исходной и зависела как от типа опада, так и от добавления угля (рис. 3, p < 0.05). Максимальная потеря массы в контрольном варианте наблюдалась для трав, минимальная – для хвои. Потеря массы на 365 день эксперимента была максимальной для трав (32%), а минимальной для хвои (18%).
Рис. 3. Динамика потери массы надземного опада и корней за изучаемый период. Данные представлены средними величинами (n = 7), планки погрешностей отображают ±1SE. Значимое влияние угля в отдельных вариантах эксперимента обозначено (*) соответственно значениям p: *** <0.001, ** <0.01, * <0.05.
В варианте с добавлением угля потеря массы хвои на 218 день была больше по сравнению с контрольным на 7%, на 365 день эти различия сохранились (p < 0.05). При этом добавление угля не повлияло на потерю массы трав, листьев и смеси.
Константа скорости разложения (k) надземного опада значительно различалась в теплый и холодный периоды, при этом различия зависели как от типа опада, так и от добавления угля (рис. 4, p < 0.05). В контрольном варианте в холодный период (0–218 дней) максимальное значение k было отмечено для трав; листья и смесь разлагались медленнее, а самые низкие темпы разложения отмечены для хвои. В теплый период (218–365 дней) в контрольном варианте k для всех типов опада существенно возросла по сравнению с холодным (p < 0.05), в меньшей степени для хвои. При этом уголь ускорял разложение смеси только в холодный, а хвои – в оба изучаемых периода (p < 0.05).
Разложение тонких корней. В контрольном варианте потеря массы корней травы и березы на 218 день не отличалась от надземного опада. При этом потеря массы корней лиственницы и смеси корней на этот момент была больше на 7 и 18% по сравнению с надземным опадом этих видов (p < 0.05). На 365 день достоверно большая потеря массы корней по сравнению с надземным опадом наблюдалась только для смеси (p < 0.05). В отличие от надземного опада, где на 218 день уголь ускорил разложение только хвои, потеря массы всех видов корней в присутствии угля была выше, чем в контрольном варианте. На 365 день положительный эффект угля сохранился только для корней лиственницы. Потеря массы смеси корней в присутствии угля не отличалась от контрольного варианта в течение всего эксперимента.
Тонкие корни не имели четкой сезонной динамики константы скорости разложения (k), как это наблюдалось при разложении надземного опада. Уголь приводил к возрастанию k только в начальный холодный период для корней всех видов, разлагавшихся по отдельности, но не для смеси корней. Напротив, в теплый период на уровне тенденции уголь приводил к замедлению скорости разложения всех видов корней и их смеси (рис. 4).
Рис. 4. Коэффициенты разложения опада и корней в начальный холодный (0–218 дней) и теплый (218–365 дней) периоды. Данные представлены средними величинами (n = 7), планки погрешностей отображают ±1SE. Значимое влияние угля в отдельных вариантах эксперимента обозначено (*) соответственно значениям p: *** <0.001, ** <0.01, * <0.05.
ОБСУЖДЕНИЕ РЕЗУЛЬТАТОВ
Настоящим исследованием установлено, что уголь ускоряет разложение трудноразлагаемых фракций напочвенного опада и тонких корней, при этом ускорение наиболее выражено на раннем этапе разложения в холодный период.
Проведенный эксперимент показал видоспецифические различия в разложении напочвенного и корневого опада. Большая часть потери массы древесных корней произошла в холодный период. При этом наблюдались схожие закономерности разложения для корней березы и лиственницы. Корни трав разлагались примерно одинаково с древесными в холодный период и ускорялись в теплый, что вероятно связано с большим содержанием лабильных компонентов в корнях травы. Предыдущее исследование показало ускорение разложения корней лиственницы в присутствии угля [12]. Настоящее исследование подтверждает видоспецифичность влияния угля на корни древесных видов (преимущественно лиственницы) и отсутствие эффекта для корней трав и смеси. В конце эксперимента потеря массы корней древесных видов (лиственницы и березы) в контрольном варианте не различалась, и была выше в присутствии угля. Химический состав опада древесных видов различается в большей степени, чем состав их корней, особенно по содержанию лигнина и фенолов [25, 41]. Это проявляется в различной потере массы хвои лиственницы и листьев березы и отсутствии различия между корнями этих древесных видов в контрольном варианте. В присутствии угля происходит сглаживание различий итоговой потери массы надземного опада между древесными видами за счет ускорения разложения хвои.
Для разложения надземного опада четко выражена сезонность: в теплый период скорость разложения была выше в 2 раза, что подтверждается ранее полученными результатами при сезонном разложении опада в тундровых экосистемах [38]. В почве сезонность выражена только в присутствии угля, причем обратная надземному опаду: быстрое разложение в холодный и тенденция к замедлению в теплый период. В варианте без добавления угля сезонность наблюдается только для корней травы, разложение которых, аналогично наземному опаду, ускоряется в теплый период. Остальные виды тонких корней в контрольном варианте не показывают отчетливого сезонного тренда. Эксперимент был заложен в начале октября, так как активное накопление опада и отмирание тонких корней в смешанных лиственно-хвойных лесах Дальнего Востока происходит в это время года [43]. Основные драйверы разложения температура и влажность в почве подвержены меньшим сезонным колебаниям по сравнению с верхним слоем подстилки. При этом корни закладывались на границе почва–подстилка на глубине около 6 см и с начала эксперимента находились в более благоприятных для разложения условиях по сравнению с надземным опадом. Поэтому в контрольном варианте проявление сезонности для корней выражено не так отчетливо, как для надземного опада.
Установили, что уголь ускоряет разложение трудноразлагаемых фракций напочвенного опада и тонких корней на начальном этапе. Раннее разложение связано в большей степени с физическими процессами выщелачивания лабильных веществ и сопровождалось резкой потерей массы по сравнению с последующими периодами [9]. В этот период влажность являлась основным фактором, лимитирующим разложение. В настоящем исследовании влажность опада в конце холодного периода разложения была значительно ниже, чем влажность корней (20 и 50% соответственно). Согласно исследованиям разложения листового опада в умеренных лесах Японии, уголь увеличивал влажность и ускорял разложение только в засушливых условиях при влажности ниже 50% [32]. В данном исследовании уголь увеличивал влажность надземного опада с 20 до 50%, однако это не приводило к выраженному увеличению потери массы, кроме хвои. В подземной части эксперимента естественная влажность была выше по сравнению с надземным опадом. В присутствии угля влажность превысила 60%, что создало благоприятные условия для разложения всех типов корней. Таким образом, для корней холодный период сопровождался оптимальными условиями для быстрой потери массы, характерной для начального периода разложения, а уголь ускорял этот процесс. В надземной части оптимальные условия создаются позже, в теплый период, при достижении опадом уровня влажности более 50%, а скорость разложения не связана с присутствием угля.
Другим возможным механизмом ускорения разложения в присутствии угля может являться его адсорбционная способность в отношении фенолов и дубильных веществ, выделяемых свежим опадом [51]. Фенольные соединения, выделяемые свежим опадом, подавляют азотную минерализацию и нитрификацию лесной подстилки, в итоге замедляя разложение [26]. Также показано, что дубильные вещества негативно влияют на разложение опавших листьев [14, 29]. При этом содержание фенолов в опаде лиственницы выше по сравнению с листьями березы и опадом трав [41]. Ранее показано, что средняя концентрация конденсированных дубильных веществ в тонких корнях была намного выше, чем в листовом опаде [49]. Присутствие угля, вероятно, может снижать токсичность фенолов и дубильных веществ, способствуя ускорению разложения тонких корней и хвои лиственницы.
В естественных условиях разложение опада по отдельным видам весьма редкое явление, характерное для монодоминантных мертвопокровных темнохвойных лесов. В большинстве лесных биогеоценозов разложение опада протекает в смеси, а пирогенные леса часто характеризуются смешанным составом [28]. В данном исследовании смесь опада и корней разлагалась одинаково быстро с опадом трав, а в почве смесь корней разлагалась даже интенсивнее корней трав. Аналогичные закономерности наблюдались в глобальном масштабе: смешивание разных видов опада в большинстве исследований приводило к ускорению разложения по сравнению с монофракциями [17]. Добавление угля эти закономерности не изменяло. Итоговая потеря массы смеси не зависела от добавления угля. Таким образом, уголь не изменил эффект от смешивания разных видов опада ни в почве, ни на поверхности.
Полевые исследования показали, что, вероятно, механизм влияния угля не ограничивается регулированием биологической активности субстратов, как установлено множеством предыдущих исследований. Установили основное влияние угля на раннем этапе разложения в холодный период года, когда биологические процессы замедлены. В этот период ускорение разложения в присутствии угля может быть больше связано с физическим процессами, такими как выщелачивание. Сезонность в бореальной зоне приводит к динамичной смене характеристик внешней среды, а присутствие угля сглаживает резкие гидротермические колебания, создавая оптимальные условия для разложения растительных остатков.
ЗАКЛЮЧЕНИЕ
Исследование впервые в бореальной зоне в условиях in situ показало видоспецифическое и сезонозависимое влияние угля на потерю массы и скорость разложения трудноразлагаемого опада и тонких корней. Установлено большее влияние угля на внутрипочвенное разложение, особенно в холодный период. Пул углерода, удерживаемый почвами бореальных лесов, подвержен влиянию пожаров и изменению климата. Как показал проведенный эксперимент, динамика пула углерода, в части разложения ежегодно поступающего опада, может существенно регулироваться пирогенным углем, особенно в наименее изученной подземной части углеродного цикла. Учитывая высокую периодичность пожаров и их большую площадь в лиственничных лесах, такой эффект может быть весьма значим как для цикла углерода, так и гумусообразования в почвах лиственничных экосистем.
БЛАГОДАРНОСТЬ
Авторы выражают искреннюю благодарность сотрудникам ФГБУ Зейский заповедник за помощь и поддержку при организации и проведении эксперимента.
ФИНАНСИРОВАНИЕ РАБОТЫ
Исследование выполнено за счет гранта Российского научного фонда № 23-27-00346, https://rscf.ru/project/23-27-00346/
КОНФЛИКТ ИНТЕРЕСОВ
Авторы заявляют об отсутствии у них конфликта интересов.
Авторлар туралы
S. Bryanin
Institute of Geology and Nature Management, Far East Branch, Russian Academy of Sciences
Email: kondratova.ava@gmail.com
Ресей, Blagoveshchensk
A. Kondratova
Institute of Geology and Nature Management, Far East Branch, Russian Academy of Sciences
Хат алмасуға жауапты Автор.
Email: kondratova.ava@gmail.com
Ресей, Blagoveshchensk
A. Danilov
Institute of Geology and Nature Management, Far East Branch, Russian Academy of Sciences
Email: kondratova.ava@gmail.com
Ресей, Blagoveshchensk
E. Susloparova
Institute of Geology and Nature Management, Far East Branch, Russian Academy of Sciences
Email: kondratova.ava@gmail.com
Ресей, Blagoveshchensk
Әдебиет тізімі
- Базилевич Н.И., Титлянова А.А., Смирнов В.В., Родин Л.Е., Нечаева Н.Т., Левин Ф.И. Методы изучения биологического круговорота в различных природных зонах. М.: Мысль, 1978. 185 с.
- Караваева Н.А, Прокопчук В.Ф. Формирование почв с бурым профилем на севере Приамурья и Сахалина // Почвоведение. 2004. № 9. С. 1029–1039.
- Сапронов Д.В. Выделение СО2 из образцов почв различных природных зон России при промерзании–оттаивании в лабораторных условиях // Почвоведение. 2021. № 8. С. 935–945. https://doi.org/10.31857/S0032180X21080141
- Семенов В.М., Лебедева Т.Н., Зинякова Н.Б., Хромычкина Д.П., Соколов Д.А., Лопес де Гереню В.О., Кравченко И.К., Ли Х., Семенов М.В. Зависимость разложения органического вещества почвы и растительных остатков от температуры и влажности в длительных инкубационных экспериментах // Почвоведение. 2022. № 7. С. 860–875. https://doi.org/.31857/S0032180X22070085
- Семенов В.М., Паутова Н.Б., Лебедева Т.Н., Хромычкина Д.П., Семенова Н.А., Лопес де Гереню В.О. Разложение растительных остатков и формирование активного органического вещества в почве инкубационных экспериментов // Почвоведение. 2019. № 10. С. 1172–1184.
- Шапченкова О.А., Краснощеков Ю.Н., Лоскутов С.Р. Использование методов термического анализа для оценки органического вещества почв, пройденных пожарами // Почвоведение. 2011. № 6. С. 738–747.
- Цибарт А.С., Геннадиев А.Н. Влияние пожаров на свойства лесных почв Приамурья (Норский заповедник) // Почвоведение. 2008. № 7. С. 783–792.
- Abiven S., Andreoli R. Charcoal does not change the decomposition rate of mixed litters in a mineral cambisol: A controlled conditions study // Biol Fertil Soils. 2011. V. 47(1). P. 111–114. https://doi.org/10.1007/s00374-010-0489-1.
- Berg B., McClaugherty C. Plant Litter. Decomposition, Humus Formation, Carbon Sequestration. Berlin, Heidelberg: Springer-Verlag GmbH, 2014. 315 p.
- Bleak A.T. Disappearance of plant material under a winter snow cover // Ecology. 1970. V. 51(5). P. 915–917. https://doi.org/10.2307/1933989.
- Bokhorst S., Metcalfe D.B., Wardle D.A. Reduction in snow depth negatively affects decomposers but impact on decomposition rates is substrate dependent // Soil Biol. Biochem. 2013. V. 62. P. 157–164. https://doi.org/10.1016/j.soilbio.2013.03.016.
- Bryanin S., Abramova E., Makoto K. Fire-derived charcoal might promote fine root decomposition in boreal forests // Soil Biol. Biochem. 2018. V. 116. P. 1–3. https://doi.org/10.1016/j.soilbio.2017.09.031.
- Bryanin S.V., Sorokina O.A. Effect of soil properties and environmental factors on chemical compositions of forest soils in the Russian Far East // J. Soils Sediments. 2019. V. 19(3). P. 1130–1138. https://doi.org/10.1007/s11368-018-2141-x.
- Coq S., Souquet J.M., Meudec E., Cheynier V., Hättenschwiler S. Interspecific variation in leaf litter tannins drives decomposition in a tropical rain forest of French Guiana // Ecology. 2010. V. 91(7). P. 2080–2091. https://doi.org/10.1890/09-1076.1
- Cornwell W.K., Cornelissen J.H.C., Amatangelo K. et al. Plant species traits are the predominant control on litter decomposition rates within biomes worldwide // Ecol. Lett. 2008. V. 11(10). P. 1065–1071. https://doi.org/10.1111/j.1461-0248.2008.01219.x.
- Cross A., Sohi S.P. The priming potential of biochar products in relation to labile carbon contents and soil organic matter status // Soil. Biol. Biochem. 2011. V. 43(10). P. 2127–2134. https://doi.org/10.1016/j.soilbio.2011.06.016
- Gartner T.B., Cardon Z.G. Decomposition dynamics in mixed-species leaf litter // Oikos. 2004. V. 104. P. 230–246. https://doi.org/10.1111/j.0030-1299.2004.12738.x
- Goldammer J.G., Furyaev V.V. Fire in Ecosystems of Boreal Eurasia: Ecological Impacts and Links to the Global System. 1996. P. 1–20.
- Gower S.T., Krankina O., Olson R.J., Apps M., Linder S., Wang C. Net Primary production and carbon allocation patterns of boreal forest ecosystems // Ecol. Appl. 2001. V. 11(5). P. 1395–1411.
- Hobbie S.E., Chapin F.S. Winter regulation of tundra litter carbon and nitrogen dynamics // Biogeochemistry. 1996. V. 35(2). P. 327–338. https://doi.org/10.1007/BF02179958.
- Hobbie S.E., Gough L. Litter decomposition in moist acidic and non-acidic tundra with different glacial histories // Oecologia. 2004. V. 140(1). P. 113–124. https://doi.org/10.1007/s00442-004-1556-9.
- Kuzyakov Y., Subbotina I., Chen H., Bogomolova I., Xu X. Black carbon decomposition and incorporation into soil microbial biomass estimated by 14C labeling // Soil Biol. Biochem. 2009. V. 41(2). P. 210–219. https://doi.org/10.1016/j.soilbio.2008.10.016
- Lehmann J. A handful of carbon // Nature. 2007. V. 447(7141). P. 143–144. https://doi.org/10.1038/447143a
- Li Y., Hu S., Chen J., Müller K., Li Y., Fu W., Lin Z., Wang H. Effects of biochar application in forest ecosystems on soil properties and greenhouse gas emissions: a review // J. Soils Sediments. 2018. V. 18(2). P. 546–563. https://doi.org/10.1007/s11368-017-1906-y
- Lu Y., Zhang L., Li K., Ni R., Han R., Li C., Zhang C., Shen W., Zhang Z. Leaf and root litter species identity influences bacterial community composition in short-term litter decomposition // Forests. 2022. V. 13(9). P. 1402. https://doi.org/10.3390/f13091402
- Makoto K., Koike T. Charcoal ecology: Its function as a hub for plant succession and soil nutrient cycling in boreal forests // Ecol. Res. 2021. V. 36(1). P. 4–12. https://doi.org/10.1111/1440-1703.12179
- Makoto K., Tamai Y., Kim Y.S., Koike T. Buried charcoal layer and ectomycorrhizae cooperatively promote the growth of Larix gmelinii seedlingsb // Plant and Soil. 2010. V. 327(1-2). P. 143–152. https://doi.org/10.1007/s11104-009-0040-z
- Makoto K., Nemilostiv Y.P., Zyryanova O.A., Kajimoto T., Matsuura Y., Yoshida T., Satoh F., Sasa K., Koike T. Regeneration after forest fires in mixed conifer broad-leaved forests of the amur region in far eastern Russia: the relationship between species specific traits against fire and recent fire regimes // Eurasian J. For. Res. 2007. V. 10(1). P. 51–58.
- Makkonen M., Berg M.P., Handa I.T., Hättenschwiler S., van Ruijven J., van Bodegom P.M., Aerts R. Highly consistent effects of plant litter identity and functional traits on decomposition across a latitudinal gradient // Ecol Lett. 2012. V. 15(9). P. 1033–1041. https://doi.org/10.1111/j.1461-0248.2012.01826.x
- Matovic D. Biochar as a viable carbon sequestration option: Global and Canadian perspective // Energy. 2011. V. 36(4). P. 2011–2016. https://doi.org/10.1016/j.energy.2010.09.031
- McLauchlan K.K., Higuera P.E., Miesel J. et al. Fire as a fundamental ecological process: Research advances and frontiers // J. Ecol. 2020. V. 108(5). P. 2047–2069. https://doi.org/10.1111/1365-2745.13403
- Minamino Y., Fujitake N., Suzuki T., Yoshitake S., Koizumi H., Tomotsune M. Effect of biochar addition on leaf-litter decomposition at soil surface during three years in a warm-temperate secondary deciduous forest, Japan // Sci. Rep. 2019. V. 9(16961). https://doi.org/10.1038/s41598-019-53615-2
- Olson J.S. energy storage and the balance of producers and decomposers in ecological systems // Ecology. 1963. V. 44(2). P. 322–331. https://doi.org/10.2307/1932179
- Pimm S., Roulet N., Weaver A. Boreal forests’ carbon stores need better management // Nature. 2009. V. 462. P. 276–276. https://doi.org/10.1038/462276a
- Pingree M.R.A., DeLuca E.E., Schwartz D.T., DeLuca T.H. Adsorption capacity of wildfire-produced charcoal from Pacific Northwest forests // Geoderma. 2016. V. 283. P. 68–77. https://doi.org/10.1016/j.geoderma.2016.07.016
- Pluchon N., Gundale M.J., Nilsson M.-C., Kardol P., Wardle D.A. Stimulation of boreal tree seedling growth by wood-derived charcoal: Effects of charcoal properties, seedling species and soil fertility // Funct. Ecol. 2014. V. 28(3). P. 766–775. https://doi.org/10.1111/1365-2435.12221
- Pluchon N., Vincent A.G., Gundale M.J., Nilsson M.-C., Kardol P., Wardle D.A. The impact of charcoal and soil mixtures on decomposition and soil microbial communities in boreal forest // Appl. Soil Ecol. 2016. V. 99. P. 40–50. https://doi.org/10.1016/j.apsoil.2015.11.020
- Pochikalov A.V., Karelin D.V. A field study of tundra plant litter decomposition rate via mass loss and carbon dioxide emission: The role of biotic and abiotic controls, biotope, season of year, and spatial-temporal scale // Biol. Bull. Rev. 2015. V. 5. P. 1–16. https://doi.org/10.1134/S2079086415010077
- Prescott C.E. Litter decomposition: What controls it and how can we alter it to sequester more carbon in forest soils? // Biogeochemistry. 2010. V. 101(1-3). P. 133–149. https://doi.org/10.1007/s10533-010-9439-0
- Preston C.M., Schmidt M.W.I. Black (pyrogenic) carbon: a synthesis of current knowledge and uncertainties with special consideration of boreal regions // Biogeosciences. 2006. V. 3(4). P. 397–420. https://doi.org/10.5194/bg-3-397-2006
- Preston C.M., Trofymow J.A. (Tony), Working Group the CIDE Variability in litter quality and its relationship to litter decay in Canadian forests // Can. J. Bot. 2000. V. 78(10). P. 1269–1287. https://doi.org/ 10.1139/b00-101
- R Development Core Team R: A Language and Environment for Statistical Computing, 2020.
- Richardson A.D., Andy Black T., Philippe C., Nicolas D., Friedl M.A., Nadine G. et al. Influence of spring and autumn phenological transitions on forest ecosystem productivity // Philos. T. R. Soc. B. 2010. V. 365. P. 3227–3246. https://doi.org/10.1098/rstb.2010.0102
- Santín C., Doerr S.H., Preston C.M., González-Rodríguez G. Pyrogenic organic matter production from wildfires: a missing sink in the global carbon cycle // Glob. Change Biol. 2015. V. 21(4). P. 1621–1633. https://doi.org/10.1111/gcb.12800.
- Sato H., Kobayashi H., Iwahana G., Ohta T. Endurance of larch forest ecosystems in eastern Siberia under warming trends // Ecol. Evol. 2016. V. 6(16). P. 5690–5704. https://doi.org/10.1002/ece3.2285
- Seidl R., Honkaniemi J., Aakala T. et al. Globally consistent climate sensitivity of natural disturbances across boreal and temperate forest ecosystems // Ecography. 2020. V. 43(7). P. 967–978. https://doi.org/10.1111/ecog.04995
- Seidl R., Thom D., Kautz M., et al. Forest disturbances under climate change. Europe PMC Funders Group // Nat. Clim. Change. 2017. V. 7. P. 395–402. https://doi.org/10.1038/nclimate3303
- Singh B.P., Cowie A.L. Long-term influence of biochar on native organic carbon mineralisation in a low-carbon clayey soil // Sci. Rep. 2015. V. 4(3687). https://doi.org/10.1038/srep03687
- Sun T., Hobbie S.E., Berg B., Zhang H., Wang Q., Wang Z., Hättenschwiler S. Contrasting dynamics and trait controls in first-order root compared with leaf litter decomposition // Proc. Natl. Acad. Sci. 2018. V. 115. P. 10392–10397. https://doi/10.1073/pnas.1716595115
- Uchida M., Mo W., Nakatsubo T., Tsuchiya Y., Horikoshi T., Koizumi H. Microbial activity and litter decomposition under snow cover in a cool-temperate broad-leaved deciduous forest // Agric. For. Meteorol. 2005. V. 134(1-4). P. 102–109. https://doi.org/10.1016/j.agrformet.2005.11.003
- Wardle D.A., Zackrisson O., Nilsson M.-C. The charcoal effect in Boreal forests: mechanisms and ecological consequences // Oecologia. 1998. V. 115(3). P. 419–426. https://doi.org/10.1007/s004420050536
- Wardle D.A., Nilsson M.-C., Zackrisson O. Fire-Derived Charcoal Causes Loss of Forest Humus // Science. 2008. V. 320(5876). P. 629–629. https://doi.org/10.1126/science.1154960
- Wardle D.A., Bonner K.I., Nicholson K.S. biodiversity and plant litter: experimental evidence which does not support the view that enhanced species richness improves ecosystem function // Oikos. 1997. V. 79(2). P. 247–258. https://doi.org/10.2307/3546010
Қосымша файлдар





