Assessment of Enzymatic Activity of Haplic Chernozem Soils Contaminated with Ag, Bi, Te, and Tl
- Authors: Minnikova T.V.1, Kolesnikov S.I.1, Evstegneeva N.A.1, Timoshenko A.N.1, Tsepina N.I.1, Kazeev K.S.1
-
Affiliations:
- Southern Federal University
- Issue: No 3 (2024)
- Pages: 412-427
- Section: SOIL BIOLOGY
- URL: https://ogarev-online.ru/0032-180X/article/view/264066
- DOI: https://doi.org/10.31857/S0032180X24030035
- EDN: https://elibrary.ru/YIWYXI
- ID: 264066
Cite item
Full Text
Abstract
Enzymatic activity of soils is the most important diagnostic indicator of the ecological state of soils under various types of anthropogenic impact. The aim of the study was to evaluate the enzymatic activity of common chernozem (Haplic Chernozem) under Ag, Bi, Te, and Tl contamination. 10 enzymes (catalase, dehydrogenase, peroxidase, polyphenol oxidase, ascorbate oxidase, ferrireductase, protease, phosphatase, invertase and urease) were analyzed. According to the degree of inhibition of enzymes, heavy metals form the following sequence: Tl > Ag > Bi > Te. With an increase in the concentration of heavy metals, the toxic effect on the activity of enzymes increases. The oxidoreductases showed greater sensitivity to Ag, Bi, Te, and Tl contamination than hydrolases. Among oxidoreductases, the highest sensitivity was found for ferrireductase, and the lowest for ascorbate oxidase. According to the activity of enzymes of the hydrolase class, invertase is the most sensitive, and urease is the least sensitive. When contaminated with Ag, Bi, and Te, invertase has the highest informative value, and when contaminated with Tl, urease and polyphenol oxidase are the most informative. Among the enzymes of the oxidoreductase class, the highest informativeness was found in peroxidase, and the lowest in ascorbate oxidase. Among the enzymes of the hydrolase class, invertase is the most sensitive, and phosphatase is the least sensitive. The results of the study can be used to assess the ecological state of soils contaminated with Ag, Bi, Te and Tl.
Full Text
ВВЕДЕНИЕ
Существенный вклад в деградацию почвенного покрова, снижение урожайности и качества сельскохозяйственных культур во всем мире вносит загрязнение тяжелыми металлами и металлоидами. Они относятся к приоритетным поллютантам. Однако влияние не всех тяжелых металлов исследовано одинаково хорошо. Помимо широко изученных тяжелых металлов (Pb, Hg, Cd, Zn, Cu, Cr, Ni) есть менее изученные, но не менее токсичные элементы, такие как Ag, Bi, Te и Tl [41, 48, 49, 56]. Основные источники загрязнения Ag, Bi, Te, Tl включают углесжигающие установки на тепловых электрических станциях, нефтеперерабатывающие заводы, цементное производство [46, 58, 60]. Концентрации Ag, Bi, Te, Tl в незагрязненных почвах представлены в табл. 1.
Таблица 1. Диапазон фонового содержания Ag, Bi, Te, Tl в почвах
Элемент | Концентрация, мг/кг | Ссылка |
Ag | 0.010–1.000 | |
Bi | 0.200–1.120 | |
Te | 0.008– 0.690 | |
Tl | <1 | [44] |
В загрязненных почвах концентрации Ag варьируют от 8.0 до 35.9 мг/кг [16, 25, 63], вплоть до 7000 мг/кг в почвах рудных месторождений [2], Bi от 0.15 до 1891 мг/кг [5, 17]. Содержание Te около 0.166 мг/кг [22], 11 мг/кг [46], вблизи рудных месторождений достигает 290 мг/кг [23], Tl — до 7 мг/кг [20, 26], 19 мг/кг [36].
Загрязнение почв Ag, Bi, Te и Tl негативным образом влияет на живые организмы. Установлено экотоксическое влияние на растения Ag [51], Bi [27], Te [1, 43, 62] и Tl [45, 37]. Существует ряд исследований, подтверждающих высокую токсичность для бактерий загрязнения Ag [21, 40], Bi [41], Te [48] и Tl [35].
Исследования экологического состояния почв после антропогенных воздействий по широкому диапазону ферментов встречаются нечасто [7–11, 13, 38, 39]. Встречаются исследования, подтверждающие токсическое влияние Te и Tl на активность ферментов в различных живых системах [15, 18, 28, 42, 52]. В отличие от Ag изучению влияния Bi, Te, Tl на ферментативную активность почв уделяется ограниченное внимание, несмотря на актуальность данной проблемы. Существуют лишь единичные исследования, касающиеся изучения влияния Bi, Te и Tl на ферментативную активность почв [30, 33, 34, 41, 54]. Таким образом, актуальным представляется изучение вопроса, связанного с влиянием Ag, Bi, Te и Tl на ферментативную активность почв, в частности сравнение элементов между собой по степени экотоксичности.
Цель работы – оценить ферментативную активность чернозема обыкновенного при загрязнении Ag, Bi, Te и Tl.
ОБЪЕКТЫ И МЕТОДЫ
Для модельного эксперимента использовали чернозем обыкновенный – Haplic Chernozem [59]. Отбор почвы проводили на территории Ботанического сада Южного федерального университета (Апах 0–10 см) (47°14’17.54″ N; 39°38’33.22″ E). Почва характеризуется следующими свойствами: содержание гумуса — 4.4%, рН 7.8, гранулометрический состав — тяжелосуглинистый.
Модельный эксперимент. Схема и этапы проведения модельного эксперимента представлены на рис. 1. В каждый вегетационный сосуд помещали 300 г почвы. Повторность трехкратная. Ag, Bi, Tl и Te вносили в почву в форме оксидов (Ag2O, Bi2O3, Tl2O3, TeO2) и нитратов (AgNO3, Bi(NO3)3, Tl(NO3)3, Te2O3(OH)NO3). Загрязнение почв выражали в условно-допустимых концентрациях (УДК): 0.5, 1, 3, 10, 30 УДК [31]. Одна УДК принята равной трем фоновым концентрациям элемента в почве, поскольку для многих тяжелых металлов с этой концентрации проявляется их токсичность. Инкубацию проводили в течение 10 сут, поскольку предыдущими исследованиями была установлена высокая токсичность серебра и висмута на 10 сут после загрязнения чернозема [32, 33].
Рис. 1. Схема и этапы модельного эксперимента.
Методы оценки ферментативной активности. Для оценки экологического состояния почв после внесения Ag, Bi, Tl и Te анализировали активность 10 ферментов: 6 ферментов класса оксидоредуктазы (каталазы, дегидрогеназы, пероксидазы, полифенолоксидазы, аскорбатоксидазы, ферриредуктазы) и 4 фермента класса гидролазы (протеазы, фосфатазы, инвертазы и уреазы) (табл. 2). Именно эти два класса ферментов играют основную роль в биологическом круговороте веществ в почве [12].
Таблица 2. Методы измерения ферментативной активности почв
Фермент | Методика | Ссылка |
Класс оксидоредуктаз | ||
Активность каталазы (Н2О2 : Н2О2-оксидоредуктаза, КФ 1.11.1.6.) | По объему выделенного кислорода при разложении перекиси водорода, мл О2 в 1 г почвы за 1 мин (по А.Ш. Галстяну) | [12] |
Активность дегидрогеназ (субстрат : НАД (Ф) – оксидоредуктазы, КФ 1.1.1) | По восстановлению солей тетразолия в формазан, мг трифенилформазана в 1 г почвы за 24 ч (по А.Ш. Галстяну в модификации Ф.Х. Хазиева) | [12] |
Активность ферриредуктазы (НАД (Ф)·H2 : Fe2O3 – оксидоредуктазы. КФ 1.6.99) | По количеству восстановленного трехвалентного железа, мг Fe2O3 в 100 г за 48 ч (по А.Ш. Галстяну, Н.А. Оганесяну) | [12] |
Активность полифенолоксидазы (О-дифенол : кислород – оксидоредуктаза. КФ 1.10.3.1) | По окислению гидрохинона до хинонов, мг 1,4-бензохинона в 1 г почвы за 30 мин (по Л.А. Карягиной, Н.А. Михайловой) | [12] |
Активность пероксидазы (донор : Н2О2 – оксидоредуктаза. КФ 1.11.1.7) | По окислению гидрохинона до хинонов в присутствии перекиси водорода, мг 1,4-бензохинона в 1 г почвы за 30 мин (по Л.А. Карягиной, Н.А. Михайловой) | [12] |
Активность аскорбатоксидазы (L – аскорбат: кислород- оксидоредуктаза. КФ 1.10.3.3) | По разнице между количеством остаточной аскорбиновой кислоты и количеством образующейся дегидроаскорбиновой кислоты (ДГАК), мг ДГАК в 1 г почвы за 1 ч (по А.Ш. Галстяну, Л.Г. Марукяну (1973)) | [12] |
Класс гидролаз | ||
Активность β-фруктофуранозидазы (инвертазы, сахаразы, КФ 3.2.1.26) | По количеству глюкозы при гидролизе сахарозы, колориметрически с помощью реактива Феллинга, мг глюкозы в 1 г почвы за 24 ч (по Ф.Х. Хазиеву (2005)) | [12] |
Активность уреазы (карбамид – амидогидролаза, КФ 3.5.1.5.) | По количеству аммиака с реактивом Несслера, при гидролизе карбамида, мг NH3 в г почвы за 24 ч (по Ф.Х. Хазиеву (2005)) | [12] |
Активность фосфатазы (фосфогидролазы моноэфиров ортофосфорной кислоты. КФ 3.1.3.1-2) | По изменению содержания нитрофенолов с образованием органического фосфора и минеральных субстратов, мкг п-нитрофенола в 1 грамме почвы за 1 ч (по Tabatabai и Dick (2002)) | [55] |
Активность протеазы (пептид – гидролазы. КФ 3.4.4) | По количеству аминокислот при протеолизе казеина, мг глицина в 1 г почвы за 24 ч (по А.Ш. Галстяну (1978)) | [12] |
Для комплексной оценки ферментативной активности почвы использовали интегральный показатель ферментативной активности (ИПФА). Он был рассчитан по всем ферментам (кроме аскорбатоксидазы в связи с ее низкой чувствительностью), отдельно для класса оксидоредуктаз и гидролаз, разных элементов, оксидов и нитратов.
Для расчета ИПФА почвы за 100% принимали активность фермента в контроле (незагрязненной почве). Относительные значения этого показателя выражали для других вариантов опытов формулой:
(1)
где B1 — относительный балл фермента; Bх — фактическое значение биологического показателя; Bmax — максимальное значение фермента (контроль).
Затем суммировали относительные значения изучаемых биологических показателей, и для каждого варианта рассчитывали средний балл по формуле:
(2)
где Bср — средний оценочный балл показателей; B1… Bn — относительный балл показателя; N — количество показателей.
Итог расчета ИПФА представлен формулой:
(3)
где Вср — это средний оценочный балл активности фермента; Вref — значение контроля, усредненное по всем биологическим показателям.
Чувствительность ферментов оценивали по степени снижения значений активности фермента в вариантах с загрязнением по сравнению с контролем.
Информативность ферментов оценивали по соотношению между активностью фермента и количеством загрязняющего элемента в почве по коэффициентам корреляции Спирмена (r).
Статистическая обработка. Статистическую обработку данных проводили с помощью пакетов Statistica 12.0 и Python 3.6.5 Matpolib. Определяли статистику вариаций (средние значения, дисперсию) и устанавливали надежность различных выборок с помощью дисперсионного анализа (критерий Стьюдента).
РЕЗУЛЬТАТЫ И ОБСУЖДЕНИЕ
Активность оксидоредуктаз. Активность каталазы и дегидрогеназ зависела от химической формы (оксиды или нитраты) и концентрации элементов (рис. 2a, 2b). Серебро в форме оксида при 0.5 УДК достоверно не оказывало влияния на активность каталазы и дегидрогеназ. При повышении концентрации от 1 до 30 УДК наблюдали ингибирование активности каталазы на 9–45%, а дегидрогеназ – 7–32%. Нитраты серебра уже при 0.5 УДК ингибировали активность каталазы и дегидрогеназ на 20 и 17% соответственно. При повышении концентрации от 1 до 30 УДК ингибирование каталазы составило от 33–50%, а дегидрогеназ – 18–32%.
Рис. 2. Изменение активности ферментов класса оксидоредуктазы при загрязнении чернозема обыкновенного оксидами и нитратами Ag, Bi, Tl и Te: a – каталаза (в мл О2/(г 1 мин)); b – дегидрогеназы (мг ТФФ/(г 24 ч)); c – пероксидаза (мг 1, 4 бензохинона/(г 30 мин)).
Висмут в форме оксида так же, как у серебра на активность каталазы, не оказывал воздействия относительно контроля при 0.5, 1 и 3 УДК, а активность дегидрогеназ при 0.5 УДК была ингибирована на 10%. При росте концентрации оксида висмута до 10 и 30 УДК наблюдали ингибирование активности на 36 и 42% соответственно. Нитраты висмута по сравнению с оксидами при низких дозах более токсичны: уже при 0.5 и 1 УДК ингибирование активности на 26 и 32%. При повышении дозы до 3–30 УДК ингибирование активности каталазы составило 36–40%, дегидрогеназ – 21–31%.
Оксид таллия ингибировал активность каталазы и дегидрогеназ при дозе 0.5 УДК на 15%, при повышении концентрации теллура от 1 до 30 УДК ингибирование каталазы составило 39–53%, а дегидрогеназ, в большей степени устойчивых к загрязнению таллием, – 24–39% относительно контроля. Нитрат таллия так же, как висмут, был более токсичен, чем оксид этого элемента: при 0.5 УДК ингибирование активности каталазы и дегидрогеназ на 29 и 22% соответственно. Повышение концентрации с 1 до 30 УДК активность каталазы была ингибирована на 36–76%, дегидрогеназ – на 28–65% соответственно.
Теллур в форме оксида 0.5 УДК снижал активность каталазы и дегидрогеназ на 12 и 9% соответственно. При повышении до 1 и 3 УДК степень ингибирования каталазы составила 19–23%, а дегидрогеназ – 15–17%. При большей концентрации теллура 10 и 30 УДК ингибирование каталазы было более выраженным 41–53%, а дегидрогеназ – 21–29% соответственно. Нитраты теллура более токсично воздействовали на почву, ингибируя активность каталазы и дегидрогеназ уже при 0.5 УДК на 23–24%. При повышении концентрации от 1 до 30 УДК активность каталазы была ингибирована на 25–75%, дегидрогеназ – на 42–68% соответственно.
Активность пероксидазы и полифенолоксидазы при загрязнении чернозема обыкновенного оксидами и нитратами Ag, Bi, Tl и Te представлена на рис. 2c, 3a. Серебро в форме оксида 0.5 УДК не оказывает влияния на активность пероксидазы. При повышении концентрации от 1 до 30 УДК установлено снижение активности фермента на 7–29% относительно контроля. Нитрат серебра при дозах 0.5, 1 и 3 УДК достоверно не отличался от контроля и только при дозе 10 и 30 УДК активность пероксидазы снизилась на 5 и 8% соответственно.
Висмут в форме оксида 0.5, 1 и 3 УДК оказывал стимулирующее воздействие на активность пероксидазы на 18, 13 и 7% относительно контроля соответственно. Только при повышении дозы до 10 и 30 УДК установлено ингибирование активности фермента на 11 и 17% относительно контроля. Нитрат висмута так же, как оксида, не оказывал ингибирующего воздействия на активность пероксидазы при 0.5, 1 и 3 УДК. При повышении дозы до 10 и 30 УДК снижение активности составило на 7 и 6% относительно контроля соответственно.
Оксид таллия 0.5 и 1 УДК не оказывал достоверного воздействия на активность пероксидазы. При росте дозы от 3 до 30 УДК установлено снижение активности фермента на 10–15% относительно контроля соответственно. Нитрат таллия уже при 0.5 УДК был ингибирован на 15% относительно контроля. При повышении дозы от 1 до 30 УДК ингибирование активности пероксидазы составило 19–87% относительно контроля соответственно.
Теллур в форме оксида в дозе 0.5, 1, 3 и 10 УДК не оказывал достоверного воздействия на активность пероксидазы, и только при дозе 30 УДК установлено ингибирование активности на 14% относительно контроля соответственно. Нитрат теллура уже при 0.5 УДК ингибировал активность пероксидазы на 67%. С ростом концентрации от 1 до 30 УДК нитрата теллура активность фермента была ингибирована на 84–94%.
При внесении оксида серебра в дозе 0.5 УДК активность полифенолоксидазы снизилась на 16%. С повышением дозы оксида серебра от 1 до 30 УДК активность полифенолоксидазы снизилась на 20–33% относительно контроля. Нитрат серебра в дозе 0.5 УДК по сравнению с оксидом был менее токсичен и не оказывал воздействия на активность полифенолоксидазы. С ростом дозы от 1 до 30 УДК нитрата серебра активность фермента была ингибирована на 8–21% относительно контроля соответственно.
Оксид висмута уже при 0.5 УДК ингибировал активность полифенолоксидазы на 18%. При увеличении концентрации от 1 до 30 УДК оксида висмута активность фермента была ингибирована на 23–27% относительно контроля. Нитрат висмута в дозе 0.5 УДК ингибировал активность фермента на 8% относительно контроля. При повышении дозы от 1 до 30 УДК нитрат висмута ингибировал активность на 9–14% относительно контроля соответственно.
Оксид таллия при дозе 0.5 УДК не оказывал достоверного воздействия на активность фермента. С повышением дозы от 1 до 30 УДК токсичность увеличивалась на 8–25% относительно контроля соответственно. Нитрат таллия при дозе 0.5 УДК не отличался от контроля. С повышением дозы от 1 до 30 УДК активность полифенолоксидазы была ингибирована на 25–84% относительно контроля соответственно.
Теллур в форме оксида дозы 0.5, 1, 3 и 10 УДК не оказывал достоверного воздействия на активность полифенолоксидазы. Только при дозе 30 УДК ингибирование составило 17% относительно контроля. Нитрат теллура ингибировал уже с малой дозы 0.5 УДК на 38%. С повышением концентрации нитрата теллура активность снизилась на 38–86% относительно контроля соответственно.
Изменение активности аскорбатоксидазы и ферриредуктазы при загрязнении чернозема обыкновенного оксидами и нитратами Ag, Bi, Tl и Te представлено на рис. 3b, 3c. Оксиды и нитраты Ag, Bi, Tl и Te при всех дозах загрязнения не оказывали достоверного воздействия на активность аскорбатоксидазы почвы относительно контроля. Активность ферриредуктазы чернозема при загрязнении оксидом серебра 0.5 и 1 УДК достоверно не отличалась от контроля. При повышении дозы от 3 до 30 УДК установлено ингибирование активности на 11–17% относительно контроля. Нитрат серебра уже при дозе 0.5 УДК ингибировал активность ферриредуктазы на 35%. С повышением концентрации от 1 до 30 УДК активность фермента была ингибирована на 44–75% относительно контроля соответственно.
Рис. 3. Изменение активности ферментов класса оксидоредуктазы при загрязнении чернозема обыкновенного оксидами и нитратами Ag, Bi, Tl и Te: a – полифенолоксидаза (мг 1, 4 бензохинона/(г 30 мин)); b – аскорбатоксидаза (мг ДГАК/(г ч)); c – ферриредуктаза (мг Fe2O3/(100 г 48 ч)).
Висмут в форме оксида в дозе 0.5 УДК не оказывал достоверного воздействия на активность ферриредуктазы. С увеличением дозы от 1 до 30 УДК активность была ингибирована на 11–48% относительно контроля соответственно. Нитрат висмута при 0.5 УДК ингибировал активность ферриредуктазы на 40%. С повышением дозы от 1 до 30 УДК активность фермента была ингибирована на 47–65% относительно контроля.
Оксид таллия в дозе 0.5 УДК ингибировал активность ферриредуктазы на 18%. При увеличении концентрации от 1 до 30 УДК активность фермента была ингибирована на 38–60% относительно контроля соответственно. Нитрат таллия 0.5, 1 и 3 УДК не оказывал достоверного воздействия на активность почвенного фермента. Только при повышении концентрации от 10 и 30 УДК нитрата таллия установлено значительное ингибирование активности фермента на 79 и 92%.
Теллур в форме оксида дозы 0.5 УДК ингибировал активность ферриредуктазы на 22%. При повышении дозы 1–30 УДК активность фермента была ингибирована на 34–73% относительно контроля соответственно. Нитрат теллура при 0.5 и 1 УДК не оказывал достоверного воздействия на активность фермента. При росте дозы от 3 до 30 УДК ингибирование активности ферриредуктазы составило 80–98% относительно контроля.
Установлено, что активность оксидоредуктаз больше всего чувствительна к загрязнению нитратами теллура и таллия. Среди ферментов наибольшее изменение активности относительно контроля отмечено по активности ферриредуктазы и каталазы.
Активность гидролаз. Активность ферментов класса гидролаз, участвующих в течении цикла углерода и азота, представлена на рис. 4. Активность инвертазы при загрязнении почвы оксидом серебра 0.5 и 1 УДК достоверно не отличалась от контроля (рис. 4а). При повышении концентрации от 3 до 30 УДК активность инвертазы была ингибирована на 11–46% относительно контроля. Нитрат серебра 0.5 УДК также не оказывал достоверного воздействия на активность фермента. С повышением концентрации от 1 до 30 УДК установлено ингибирование активности на 7–24% относительно контроля.
Оксид висмута 0.5 УДК ингибирует активность инвертазы на 7%. При повышении концентрации от 1 до 30 УДК ингибирование активности составило 9–20% относительно контроля. Нитрат висмута в дозах от 3 до 30 УДК снижал активность инвертазы на 7–72% относительно контроля.
Оксид таллия 0.5 УДК ингибирует активность инвертазы на 14%, при повышении концентрации от 1 до 30 УДК на 15–22%. Нитрат таллия в дозах 10 и 30 УДК ингибировал инвертазу на 22 и 60% относительно контроля.
Оксид теллура в дозах от 1 до 30 УДК ингибировал активность инвертазы на 9–23% относительно контроля. Нитрат теллура при дозах 0.5, 1 и 3 УДК не оказывали достоверного воздействия на активность фермента, а при повышении концентрации нитрата теллура до 10 и 30 УДК на 54 и 78% относительно контроля.
Активности уреазы при загрязнении оксидом серебра 0.5 УДК достоверного воздействия не обнаружено (рис. 4b). При повышении концентрации от 1 до 30 УДК установлено ингибирование активности уреазы на 8–19% относительно контроля. Нитрат серебра 0.5, 1, 3 и 10 УДК не оказывал достоверного воздействия на активность фермента. Только при дозе 30 УДК нитрата серебра установлено ингибирование уреазы на 6% относительно контроля.
Рис. 4. Изменение активности ферментов класса гидролазы при загрязнении чернозема обыкновенного оксидами и нитратами Ag, Bi, Tl и Te: a – инвертаза (мг глюкозы/(г 24 ч)); b – уреаза (мг NH3/(г 24 ч)).
Оксид висмута в дозах от 3 до 30 УДК ингибировал уреазу на 7–21% относительно контроля. Нитрат висмута 0.5 и 1 УДК оказывал стимулирующее воздействие на активность уреазы на 12 и 7% соответственно. С ростом концентрации от 3 до 30 УДК установлено ингибирование активности на 8 и 10% относительно контроля.
Только при 30 УДК оксида таллия установлено снижение активности фермента на 11% относительно контроля. Содержание нитрата теллура в дозах 0.5, 1 и 3 УДК достоверно не влияет на активность уреазы. Похожая закономерность проявилась и при изучении воздействия нитрата теллура – только при 10 и 30 УДК установлено ингибирование активности на 7 и 12% относительно контроля.
Оксид теллура при дозах 0.5 и 1 УДК оказывали стимулирующее воздействие на активность уреазы на 12 и 10% относительно контроля. При повышении дозы от 3 до 30 УДК достоверного отличия от контроля не обнаружено. Нитрат теллура в дозах 10 и 30 УДК ингибируют активность уреазы на 7 и 10% соответственно.
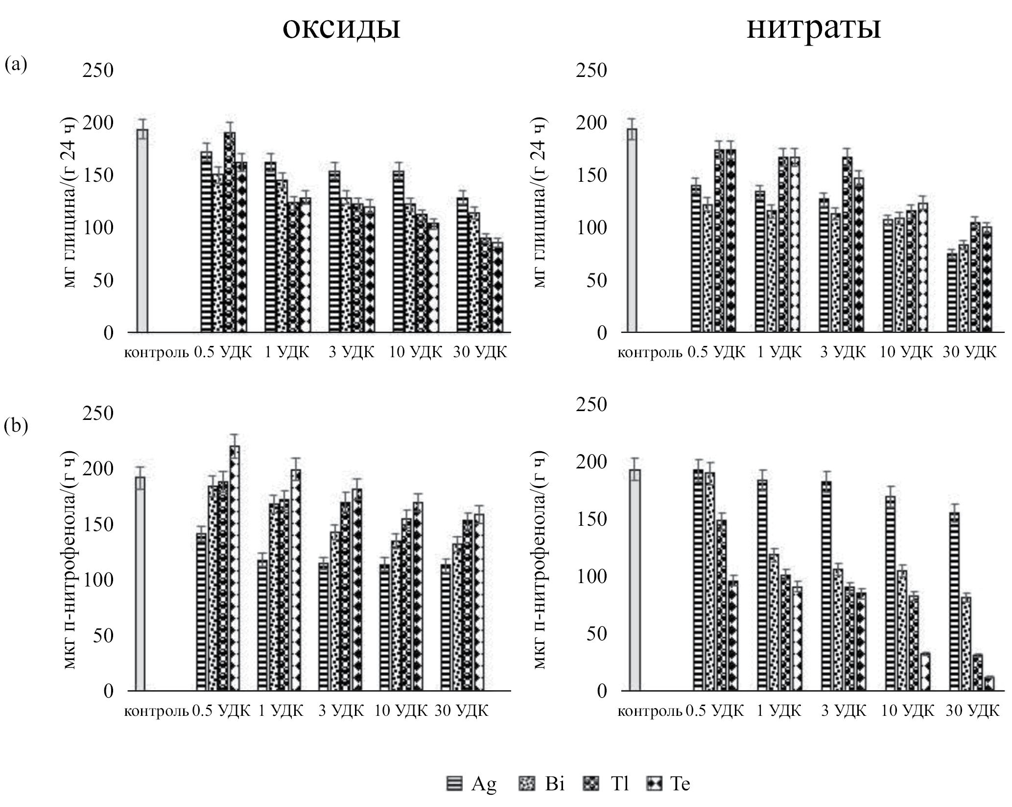
Оксид серебра при дозе 0.5 УДК ингибировал активность протеазы на 8% относительно контроля (рис. 5a). При повышении дозы от 1 до 30 УДК установлено ингибирование активности на 13–31% относительно контроля соответственно. Нитрат серебра 0.5 УДК ингибировал активность протеазы на 25% относительно контроля. С повышением концентрации нитрата серебра от 1 до 30 УДК ингибирование увеличивалось на 28–60% относительно контроля.
Оксид висмута 0.5 УДК ингибировал активность протеазы на 19%. С повышением концентрации от 1 до 30 УДК активность была ингибирована на 22–39% относительно контроля. Нитрат висмута вызывал ингибирование активности протеазы на 34% ниже, чем в контроле. С ростом концентрации нитрата висмута от 1 до 30 УДК активность фермента была ингибирована на 38–55% относительно контроля.
Оксид таллия в диапазоне доз от 1 до 30 УДК ингибировал протеазу на 34–52% относительно контроля. Нитрат таллия 0.5 УДК также не оказывал достоверного воздействия на активность фермента. С ростом дозы от 1 до 30 УДК снижение активности составило 10–43% относительно контроля.
Оксид теллура в концентрации 0.5 УДК ингибировал активность фермента на 13%. С повышением концентрации от 1 до 30 УДК активность протеазы была ингибирована на 31–54% относительно контроля. Нитрат теллура 0.5 УДК не оказывал достоверного воздействия на активность протеазы. Только при повышении концентрации от 1 УДК и до 30 УДК установлено ингибирование активности на 10–46% относительно контроля.
Оксид серебра при 0.5 УДК вызывал ингибирование активности фосфатазы на 26% относительно контроля (рис. 5b). При повышении дозы от 1 до 30 УДК ингибирование активности фермента составляет 39–41% относительно контроля. Активность фосфатазы при загрязнении нитратом серебра 0.5 и 1 УДК достоверно не изменяется. При повышении концентрации от 3 до 30 УДК установлено ингибирование активности на 6–20% относительно контроля.
Рис. 5. Изменение активности ферментов класса гидролазы при загрязнении чернозема обыкновенного оксидами и нитратами Ag, Bi, Tl и Te: a – протеаза (мг глицина/(г 24 ч)); b – фосфатаза (мкг п-нитрофенола/(г ч)).
Оксид висмута в дозах от 1 до 30 УДК ингибировал фосфатазу на 12–31% относительно контроля. Нитрат висмута в дозах от 1 до 30 УДК ингибировал активность фермента на 38–58% по отношению к контролю.
Оксид таллия при дозах от 1 до 30 УДК достоверно снижал активность фермента на 10–20% относительно контроля. Нитрат таллия 0.5 УДК ингибировал активность почвы на 23%. При повышении концентрации нитрата таллия от 1 до 30 УДК ингибирование активности составило 47–84% относительно контроля.
Оксид теллура только при повышении до 10 и 30 УДК достоверно ингибировал фосфатазу на 12 и 17% относительно контроля. Нитрат таллия 0.5 УДК ингибировал активность почвы на 50%. При повышении концентрации нитрата таллия от 1 до 30 УДК ингибирование активности составило 53–94% относительно контроля.
По активности ферментов класса гидролазы установлено, что наибольшее токсическое воздействие на активность ферментов оказывают нитраты теллура и таллия. Наиболее чувствительной к загрязнению оказалась активность протеазы и фосфатазы.
Интегральный показатель ферментативной активности чернозема. В результате расчета интегрального показателя ферментативной активности (ИПФА) было установлено, что оксидоредуктазы реагируют на загрязнение Ag, Bi, Tl и Te иначе, чем гидролазы (рис. 6). Серебро и висмут в форме оксидов оказывают менее выраженное токсическое воздействие с ростом дозы от 0.5 до 30 УДК на интегральную активность оксидоредуктаз (ИПФАокс), чем гидролаз (ИПФАгидр). Таллий и теллур в форме оксида, напротив, оказывают менее токсическое воздействие на интегральную активность гидролаз (ИПФАгидр), чем оксидоредуктаз (ИПФАокс): разница составляет на 85–88% и 79–84% соответственно. Ряд токсичности тяжелых металлов по воздействию на активность почвенных ферментов может быть представлен следующим образом: Tl > Ag > Bi > Te.
Рис. 6. Изменение интегрального показателя ферментативной активности чернозема обыкновенного при загрязнении оксидами и нитратами Ag, Bi, Tl и Te: a – класс оксидоредуктазы; b – класс гидролазы.
Нитраты серебра оказывает более выраженное токсическое воздействие на активность ферментов класса оксидоредуктазы (79% ниже контроля), чем класса гидролазы (86% ниже контроля), а нитраты висмута оказывают более выраженное токсическое воздействие только на активность гидролаз – 26% ниже контроля. Нитраты таллия и теллура оказывали более токсическое воздействие на активность ферментов класса оксидоредуктазы (37 и 36% ниже контроля), чем класса гидролазы (24 и 29% ниже контроля).
Оценка чувствительности ферментов. Результаты расчета чувствительности ферментов для разных химических форм (оксидов, нитратов), по каждому элементу (Ag, Bi, Tl и Te), для оксидоредуктаз и гидролаз представлены в табл. 3.
Таблица 3. Оценка чувствительности ферментов1 в черноземе обыкновенном при загрязнении почв оксидами и нитратами Ag, Bi, Tl и Te,
Параметр | Акат | Адг | Апер | Апфо | Афер | Ааск | Апр | Афос | Аинв | Аур | ИПФА3 |
Контроль (абсолютные значения)2 | 7 | 25 | 0.7 | 1.0 | 2.2 | 6.5 | 193 | 191 | 35 | 3 | – |
Химические формы4,% | |||||||||||
Оксиды | 77 | 84 | 96 | 86 | 74 | 103 | 76 | 85 | 87 | 97 | 85 |
Нитраты | 65 | 70 | 73 | 72 | 58 | 101 | 74 | 65 | 84 | 99 | 76 |
Элементы5, % | |||||||||||
Ag | 74 | 85 | 93 | 85 | 73 | 103 | 77 | 81 | 88 | 96 | 83 |
Bi | 78 | 82 | 100 | 86 | 68 | 104 | 71 | 76 | 85 | 96 | 82 |
Tl | 63 | 69 | 79 | 74 | 66 | 102 | 78 | 73 | 85 | 98 | 76 |
Te | 67 | 70 | 65 | 71 | 56 | 101 | 75 | 71 | 84 | 102 | 73 |
Классы ферментов6, % | |||||||||||
Оксидоредуктазы | 71 | 77 | 84 | 79 | 66 | 102 | – | – | – | – | 80 |
Гидролазы | – | – | – | – | – | – | 75 | 75 | 85 | 98 | 79 |
1Оценка чувствительности проведена по среднему значению 5ти концентраций Ag, Bi, Tl и Te.
2Абсолютные значения активности почвенных ферментов, единицы измерения представлены в примечании.
3В расчете интегрального показателя ферментативной активности почв не использовали активность аскорбатоксидазы, как нечувствительного и неинформативного фермента.
4Данные представлены по среднему значению для 4-х химических элементов (Ag, Bi, Tl и Te).
5Данные представлены по среднему значению по двум химическим формам (оксидам и нитратам).
6Данные представлены по среднему значению по 4-м элементам (Ag, Bi, Tl и Te) и двум формам (оксидам и нитратам).
Примечание. Акат – активность каталазы (мл О2/(г 1 мин)); Адг – активность дегидрогеназ (мг ТФФ/(г 24 ч)); Апер – активность пероксидаз (мг 1, 4 бензохинона/(г 30 мин)); Апфо – активность полифенолоксидаз (мг 1, 4 бензохинона/(г 30 мин)); Афер – активность ферриредуктазы (мг Fe2O3/(100 г 48 ч)); Ааск – активность аскорбатоксидазы (мг ДГАК/(г ч)); Апр – активность протеазы (мг глицина/(г 24 ч)); Афос – активность фосфатазы (мкг п-нитрофенола/(г ч)); Аинв – активность инвертазы (мг глюкозы/(г 24 ч)); Аур – активность уреазы (мг NH3/(г 24 ч)).
Таким образом, среди оксидоредуктаз наибольшая чувствительность по отношению к исследуемым соединениям Ag, Bi, Te и Tl была обнаружена у ферриредуктазы, а наименьшая – у аскорбатоксидазы. По гидролазам наибольшей чувствительностью обладает инвертаза, а наименьшей – уреаза.
Оценка информативности ферментов. Информативность показателей сравнивали по коэффициентам корреляции Спирмена (r) между содержанием элемента в зависимости от концентрации Ag, Bi, Te и Tl и значения ферментативной активности почв (табл. 4).
Таблица 4. Коэффициенты корреляции Спирмена между относительной активностью ферментов и УДК загрязняющего элемента (n = 6)
Показатель | Акат | Адг | Апер | Апфо | Афер | Ааск | Апр | Афос | Аинв | Аур | ИПФА* |
Химические формы | |||||||||||
Оксиды | –0.81 | –0.78 | –0.82 | –0.74 | –0.78 | –0.52 | –0.76 | –0.68 | –0.81 | –0.81 | –0.84 |
Нитраты | –0.69 | –0.67 | –0.75 | –0.75 | –0.72 | –0.40 | –0.82 | –0.79 | –0.96 | –0.80 | –0.82 |
Элементы | |||||||||||
Ag | –0.74 | –0.80 | –0.88 | –0.79 | –0.75 | –0.85 | –0.70 | –0.94 | –0.80 | –0.83 | –0.74 |
Bi | –0.70 | –0.65 | –0.77 | –0.56 | –0.75 | –0.66 | –0.70 | –0.90 | –0.80 | –0.82 | –0.70 |
Tl | –0.73 | –0.72 | –0.81 | –0.82 | –0.78 | –0.79 | –0.79 | –0.81 | –0.91 | –0.84 | –0.73 |
Te | –0.82 | –0.72 | –0.69 | –0.81 | –0.73 | –0.83 | –0.76 | –0.89 | –0.70 | –0.82 | –0.82 |
Классы ферментов | |||||||||||
Оксидо- редуктазы | –0.75 | –0.72 | –0.79 | –0.74 | –0.75 | –0.46 | –0.75 | ||||
Гидролазы | –0.79 | –0.74 | –0.88 | –0.80 | –0.83 | ||||||
* В расчете интегрального показателя ферментативной активности почв не использовали активности аскорбатоксидазы, как нечувствительного и неинформативного фермента.
Примечание. Акат – активность каталазы; Адг – активность дегидрогеназ; Апер – активность пероксидаз; Апфо – активность полифенолоксидаз; Афер – активность ферриредуктаз; Ааск – активность аскорбатоксидазы; Апр – активность протеазы; Афос – активность фосфатазы; Аинв – активность инвертазы; Аур – активность уреазы.
Наибольшей информативностью среди всех ферментов при загрязнении оксидами Ag, Bi, Te и Tl обладают пероксидаза и каталаза, а при внесении нитратной формы исследуемых элементов — инвертаза и протеаза. В оценке информативности ферментов при загрязнении каждым элементом (Ag, Bi и Te) установлена наибольшая чувствительность инвертазы, а для Tl – активность уреазы и полифенолоксидазы. Среди оксидоредуктаз лучшая информативность обнаружена у пероксидазы а худшая – по активности у аскорбатоксидазы. По ферментам класса гидролазам наибольшей чувствительностью обладает инвертаза, а наименьшей – активность фосфатазы.
В предыдущих исследованиях установлено ингибирование активности ферментов класса оксидоредуктазы (каталазы и дегидрогеназ) при загрязнении почв разного гранулометрического состава оксидами Ag, Bi, Te и Tl [31, 33–35, 54]. Отмечено ингибирующее влияние Bi на активность дегидрогеназ в бурых лесных почвах (Eutric Cambisol) и коричневых почвах (Eutric Fluvisol) [41]. Активность уреазы и фосфатазы снижалась сильнее под влиянием наночастиц серебра, чем нитрата серебра [50]. Существуют исследования, подтверждающие более сильное ингибирование активности почвенных ферментов (каталазы и дегидрогеназ) под влиянием нитрата серебра [33], чем под влиянием наночастиц серебра [34].
При оценке экотоксичности металлов, неметаллов и металлоидов на биологические показатели чернозема обыкновенного (в том числе активность каталазы и дегидрогеназ) за 15 лет (2005–2020 гг.) исследования было установлено, что к I классу опасности относится ряд элементов: Te, Ag, Se, Cr, Bi, Ge, Sn, Tl, Hg, Yb, W, Cd [29]. Среди самых опасных элементов авторы выделили токсичность элементов по степени убывания: Tl > Bi > Ag > Te. При этом токсичность теллура составляла более 70% по сравнению с незагрязненным вариантом. Высокая токсичность для микробиоты была выявлена при сравнении токсичности 28 тяжелых металлов, металлоидов и неметаллов, содержащихся в отходах предприятий горной промышленности, по степени снижения общей численности бактерий в бурой лесной слабоненасыщенной почве [3]. Было установлено, что наиболее опасными токсикантами для бактерий в бурой лесной почве являются Cr, Se, Te и Ag.
Наибольшая чувствительность ферриредуктазы по сравнению с другими оксидоредуктазами была ранее показана в работе [6]. Высокая активность ферриредуктазы дает представление о доступности железа растениям [4]. Возможно, что при загрязнении почвы оксидами и нитратами Ag, Bi, Te и Tl доступ к закисному железу растениям ограничен.
ЗАКЛЮЧЕНИЕ
По степени ингибирования активности почвенных ферментов исследуемые элементы можно расположить в следующей последовательности: Tl > Ag > Bi > Te. С ростом концентрации тяжелых металлов увеличивалось токсическое воздействие на активность всех ферментов, кроме аскорбатоксидазы. Оксиды металлов оказали менее выраженное токсическое действие на активность почвенных ферментов, чем нитраты. Окидоредуктазы (кроме аскорбатоксидазы) проявили большую чувствительность к загрязнению Ag, Bi, Te и Tl, чем гидролазы. Все исследованные ферменты, кроме аскорбатоксидазы, рекомендуется использовать в биодиагностике загрязнения почв Ag, Bi, Te и Tl в связи с их высокой чувствительностью и информативностью. Самым чувствительным ферментом по отношению к изученным металлам является активность ферриредуктазы, а наиболее информативной – активность инвертазы, что позволяет рекомендовать использование этих ферментов в первую очередь.
ФИНАНСИРОВАНИЕ РАБОТЫ
Исследование выполнено за счет гранта Российского научного фонда № 22-24-01041 в Южном федеральном университете.
КОНФЛИКТ ИНТЕРЕСОВ
Авторы заявляют об отсутствии конфликта интересов.
About the authors
T. V. Minnikova
Southern Federal University
Author for correspondence.
Email: tminnikova@sfedu.ru
Russian Federation, Rostov-on-Don
S. I. Kolesnikov
Southern Federal University
Email: tminnikova@sfedu.ru
Russian Federation, Rostov-on-Don
N. A. Evstegneeva
Southern Federal University
Email: tminnikova@sfedu.ru
Russian Federation, Rostov-on-Don
A. N. Timoshenko
Southern Federal University
Email: tminnikova@sfedu.ru
Russian Federation, Rostov-on-Don
N. I. Tsepina
Southern Federal University
Email: tminnikova@sfedu.ru
Russian Federation, Rostov-on-Don
K. Sh. Kazeev
Southern Federal University
Email: tminnikova@sfedu.ru
Russian Federation, Rostov-on-Don
References
- Водяницкий Ю.Н. Загрязнение почв тяжелыми металлами и металлоидами и его экологическая опасность (аналитический обзор) // Почвоведение. 2013. № 7. С. 772–881. https://doi.org/10.1134/S1064229313050153
- Дружинин А.В., Карелина Е.В. Основные типы месторождений технического серебра // Вестник Рос. ун-та дружбы народов: Сер. инженерных исследований. 2008. № 1. С. 35–41.
- Евстегнеева Н.А., Колесников С.И., Минникова Т.В., Тимошенко А.Н. Оценка токсичности тяжелых металлов, металлоидов и неметаллов, содержащихся в отходах добычи полезных ископаемых // Горный информационно-аналитический бюл. 2023. Т. 5-1. C. 73–85. https://doi.org/10.25018/0236_1493_2023_51_0_73
- Иванищев В.В. Доступность железа в почве и его влияние на рост и развитие растений // Известия Тульского гос. ун-та. Естественные науки. 2019. № 3. С. 127–138.
- Ляпунов М.Ю. Закономерности распределения химических элементов в почвах Пионерского золоторудного месторождения. Геохимия Амурской области // Вестник Томского политех. ун-та. 2014. Т. 325. № 1. С. 57–68.
- Минникова Т.В., Мокриков Г.В., Казеев К.Ш., Акименко Ю.В., Колесников С.И. Оценка ферментативной активности черноземов Ростовской области при бинарных посевах подсолнечника // Известия Тимирязевской сельскохозяйственной академии. 2017. № 6. С. 141–155. https://doi.org/10.26897/0021-342X-2017-6-141-155
- Минникова Т.В., Мокриков Г.В., Казеев К.Ш., Акименко Ю.В., Колесников С.И. Оценка зависимостей между гидротермическими показателями и ферментативной активностью черноземов Ростовской области при использовании различных агротехнологий // Агрофизика. 2018. № 1. С. 9–17. https://doi.org/10.25695/AGRPH.2018.01.02
- Минникова Т.В., Колесников С.И., Денисова Т.В. Влияние азотных и гуминовых удобрений на биохимическое состояние нефтезагрязненного чернозема // Юг России: Экология, развитие. 2019. Т. 14. № 2. С.189–201. https://doi.org/10.18470/1992-1098-2019-2-189-201
- Новосёлова Е.И., Волкова О.О., Турьянова Р.Р. Ферментативная трансформация органических остатков в почвах, загрязненных тяжелыми металлами // Экология урбанизированных территорий. 2019. № 1. С. 75–81. https://doi.org/10.24411/1816-1863-2019-11075
- Новосёлова Е.И., Волкова О.О., Хазиев Ф.Х., Турьянова Р.Р. Особенности ферментативного дегидрирования органических веществ в почвах, загрязненных тяжелыми металлами // Научная жизнь. 2020. Т. 15. № 10 (110). С. 1312–1320. https://doi.org/10.35679/1991-9476-2020-15-10-1312-1320
- Поляк Ю.М., Сухаревич В.И. Почвенные ферменты и загрязнение почв: биодеградация, биоремедиация, биоиндикация // Агрохимия. 2020. № 3. С. 83–93. https://doi.org/10.31857/S0002188120010123.
- Хазиев Ф.Х. Методы почвенной энзимологии. М.: Наука, 2005. 252 с.
- Якушев А.В., Журавлева А.И., Кузнецова И.Н. Влияние длительной и кратковременных засух на гидролитические ферменты серой почвы // Почвоведение. Почвоведение. 2023. № 6. С. 745–757. https://doi.org/10.31857/S0032180X2260130X
- Alekseenko V.A., Alekseenko A.V. Chemical elements in geochemical systems. Clarks of soils in residential landscapes. Rostov n/D: Publishing House of the Southern Federal University. 2013. 380 p.
- Cao C., Huang J., Ca W., Yan C., Liu J., Jiang Y. Effects of Silver Nanoparticles on Soil Enzyme Activity of Different Wetland Plant Soil Systems // Soil and Sediment Contamination: Int. J. 2017. V. 26 (5). P. 558–567. https://doi.org/10.1080/15320383.2017.1363158
- Eivazi F., Afrasiabi Z., Jose E. Pedosphere Effects of Silver Nanoparticles on the Activities of Soil Enzymes Involved in Carbon and Nutrient Cycling // Pedosphere. 2018. V. 28. P. 209–214. https://doi.org/10.1016/S1002-0160(18)60019-0
- Elekes C.C., Busuioc G. The mycoremediation of metals polluted soils using wild growing species of mushrooms // Latest Trends on Engineering Education. Р. 36–39.
- Farag M.R., Alagawany M., Khalil S.R., Moustafa A.A., Mahmoud H.K., Abdel-Latife H.M.R. Astragalus membranaceus polysaccharides modulate growth, hemato-biochemical indices, hepatic antioxidants, and expression of HSP70 and apoptosis-related genes in Oreochromis niloticus exposed to sub-lethal thallium toxicity // Fish Shellfish Immunology. 2021. V. 118. P. 251–260. https://doi.org/10.1016/j.fsi.2021.09.009
- Filella M., Reimann C., Biver M., Rodushki I., Rodushkina K. Tellurium in the environment: current knowledge and identification of gaps // Environmental Chemistry. 2019. V. 16(4). https://doi.org/10.1071/EN18229
- Grösslová Z., Vaněk A., Oborná V., Mihaljevič M., Ettler V., Trubač J., Drahota P. et al. Thallium contamination of desert soil in Namibia: Chemical, mineralogical and isotopic insights // Environ. Poll. 2018. V. 239 P. 272–280. https://doi.org/10.1016/j.envpol.2018.04.006
- Grün A., Straskraba S., Schulz S., Schloter M., Emmerling C. Long-term effects of environmentally relevant concentrations of silver nanoparticles on microbial biomass, enzyme activity, and functional genes involved in the nitrogen cycle of loamysoil // J. Environ. Sci. 2018. V. 69. P. 12–22. https://doi.org/10.1016/j.jes.2018.04.013
- Grygoyć K., Jabłońska-Czapla M. Development of a Tellurium Speciation Study Using IC-ICP-MS on Soil Samples Taken from an Area Associated with the Storage, Processing, and Recovery of Electrowaste // Molecules. 2021. V. 26. P. 2651. https://doi.org/10.3390/molecules26092651
- Hayes S.M., Ramos N.A. Surficial geochemistry and bioaccessibility of tellurium in semiarid mine tailings // Environ. Chem. 2019. V. 16(4). P. 251–265.
- Jones K.C, Davies B.E., Peterson P.J. Silver in Welsh soils: Physical and chemical distribution studies // Geoderma. 1986. V. 37. P. 157–174. https://doi.org/10.1016/0016-7061(86)90028-5
- Kabata-Pendias A. Trace Elements in Soils and Plants. Boca Raton, FL: Crc Pressрр. 2010. 548 p.
- Karbowska B. Presence of thallium in the environment: sources of contaminations, distribution and monitoring methods // Environ. Monit. Assess. 2016. V. 188. P. 640–659.
- Kearns J., Turner A. An evaluation of the toxicity and bioaccumulation of bismuth in the coastal environment using three species of macroalga // Environ. Poll. 2016. V. 208. P. 435–441. https://doi.org/10.1016/j.envpol.2015.10.011
- Kinraide T.B.; Yermiyahu U. A scale of metal ion binding strengths correlating with ionic charge, Pauling electronegativity, toxicity, and other physiological effects // J. Inorg. Biochem. 2007. V. 101. P. 1201–1213.
- Kolesnikov S., Minnikova T., Kazeev K., Akimenko Yu., Evstegneeva N. Assessment of the Ecotoxicity of Pollution by Potentially Toxic Elements by Biological Indicators of Haplic Chernozem of Southern Russia (Rostov region) // Water, Air, Soil Pollution. 2022. V. 233. P. 18. https://doi.org/10.1007/s11270-021-05496-3
- Kolesnikov S.I. Impact of Contamination with Tellurium on Biological Properties of Ordinary Chernozem // Soil and Sediment Contamination: Int. J. 2019. V. 28. P. 792–800. https://doi.org/10.1080/15320383.2019.1666793
- Kolesnikov S.I., Kazeev K.S., Akimenko Yu.V. Development of regional standards for pollutants in the soil using biological parameters // Environ. Monit. Assess., 2019. 191. 544. https://doi.org/10.1007/s10661-019-7718-3
- Kolesnikov S.I., Sudina L.V., Kuzina A.A., Minnikova T.V., Tsepina N.I., Kazeev K.Sh., Akimenko Yu.V. The effect of bismuth contamination on the soil biological properties // Agriculture and Natural Resources. 2022. V. 56. P. 417–428. https://doi.org/10.34044/j.anres.2022.56.2.19
- Kolesnikov S.I., Tsepina N.I., Sudina L.V., Minnikova T.V., Kazeev K. Sh., Akimenko Yu.V. Silver Ecotoxicity Estimation by the Soil State Biological Indicators // Appl. Environ. Soil Sci. 2020. P. 1207210. https://doi.org/10.1155/2020/1207210
- Kolesnikov S., Tsepina N., Minnikova T., Kazeev K., Mandzhieva S., Sushkova S., Minkina T., Mazarji M., Singh R.K., Rajput V.D. Influence of Silver Nanoparticles on the Biological Indicators of Haplic Chernozem // Plants. 2021. V. 10. P. 1022. https://doi.org/ 10.3390/plants10051022
- Kolesnikov S., Minnikova T., Minkina T., Rajput V.D., Tsepina N., Kazeev K., Zhadobin A., Nevedomaya E., Ter-Misakyants T., Akimenko Yu., Mandzhieva S., Sushkova S., Ranjan A., Asylbaev I., Popova V., Tymoshenko A. Toxic Effects of Thallium on Biological Indicators of Haplic Chernozem Health: A Case Study // Environments. 2021. V. 8. P. 119. https://doi.org/10.3390/environments8110119
- Liu J., Wang J., Chen Y.H., Shen C.C., Jiang X.Y., Xie X.F., Chen D.Y., Lippold H., Wang C.L. Thallium dispersal and contamination in surface sediments from South China and its source identification // Environ. Poll. 2016. V. 213. P. 878–887. https://doi.org/10.1016/j.envpol.2019.02.089
- Liu J., Wang, J., Xiao T.F., Bao Z.A., Lippold H., Luo X.W., Yin M.L., Ren J.M., Chen Y.H., Linghu W.S. Geochemical dispersal of thallium and other metals in sediment profiles from a smelter-impacted area in South China // Appl. Geochem. 2018. V. 88. P. 239–246.
- Minnikova T., Kolesnikov S., Revina S., Ruseva A., Gaivoronsky V. Enzymatic Assessment of the State of Oil-Contaminated Soils in the South of Russia after Bioremediation // Toxics. 2023. V. 11. P.355. https://doi.org/10.3390/toxics11040355
- Mokrikov G., Minnikova T., Kazeev K., Kolesnikov S. Use of soil enzyme activity in assessing the effect of No-Till in the South of Russia // Agronomy Research. 2021. V. 19. P. 171–184. https://doi.org/10.15159/AR.20.240
- Montes de Oca-Vásquez G., Solano-Campos F., Vega-Baudrit J.R, López-Mondéjar R., Vera A., Morenof J. L., Bastidaf F. Organic amendments exacerbate the effects of silver nanoparticles on microbial biomass and community composition of a semiarid soil // Sci. Total Environ. 2020. Vol 744. P. 140919. https://doi.org/10.1016/j.scitotenv.2020.140919
- Murata T. Effects of bismuth contamination on the growth and activity of soil microorganisms using thiols as model compounds // J. Environ. Sci. Health A. Tox Hazard Subst. Environ Eng. 2006. V. 41. Р. 161–172. https://doi.org/ 10.1080/10934520500349276
- Najimi S., Shakibaie M., Jafari E., Ameri A., Rahimi N., Forootanfar H., Yazdanpanah M., Rahimiae H.R. Acute and subacute toxicities of biogenic tellurium nanorods in mice // Regulatory Toxicology and Pharmacology. 2017. V. 90. P. 222–230. https://doi.org/10.1016/j.yrtph.2017.09.014
- Nelson B., Chen Y.-W. Tellurium in the environment: A critical review focused on natural waters, soils, sediments and airborne particles. Applied Geochemistry. 2015. V. 63. P. 83–92.
- Nelson B., Chen Y.-W. Thallium in the environment: A critical review focused on natural waters, soils, sediments and airborne particles //Appl. Geochem. 2017. V. 84. P. 218–243.
- Pavoni E., Petranich E., Adami G., Baracchini E., Crosera M., Emili A., Lenaz D., Higueras P., Covelli S. Bioaccumulation of thallium and other trace metals in Biscutella laevigata nearby a decommisioned zinc-lead mine (Northeastern Italian Alps) // J. Environ. Manag. 2017. V. 186. P. 214–224.
- Perkins W.T. Extreme selenium and tellurium contamination in soils – an eighty year-old industrial legacy surrounding a Ni refinery in the Swansea Valley // Sci. Total Environ. 2011. V. 412–413, P. 162–169.
- Peyrot C., Wilkinson K.J, Desrosiers M., Sauvé S. Effects of silver nanoparticles on soil enzyme activities with and without added organic matter // Environ. Toxicology Chem. 2014. V. 33. P. 115–25. https://doi.org/10.1002/etc.2398
- Presentato A., Turner R.J., Vásquez C.C., Yurkov V., Zannoni D. Tellurite-dependent blackening of bacteria emerges from the dark ages // Environmental Chemistry. 2019. V. 16(4). P. 266–288.
- Pulit-Prociak J., Banach M. Silver nanoparticles – a material of the future? // Open Chem. 2016. V. 14. P. 76–91. https://doi.org/10.1515/chem-2016-0005
- Rahmatpour S., Shirvani M., Mosaddeghi M.R., Farshid N., Bazarganipour M. Dose – response effects of silver nanoparticles and silver nitrate on microbial and enzyme activities in calcareous soils // Geoderma. 2017. V. 285. Р. 313–322. https://doi.org/10.1016/j.geoderma.2016.10.006
- Samarajeewa A.D., Velicogna J.R., Princz J.I., Subasinghe R.M., Scroggins R.P., Beaudette L.A. Effect of silver nano-particles on soil microbial growth, activity and community diversity in a sandy loam soil // Environ. Poll. 2017. V. 220. P. 504–513.
- Shin Y.J, Kwak J.I, An Y.J. Evidence for the inhibitory effects of silver nanoparticles on the activities of soil exoenzymes // Chemosphere. 2012. V. 88. P. 524–529. https://doi.org/10.1016/j.chemosphere.2012.03.010
- Stangherlin E.C., Ardais A.P., Rocha J.B.T., Nogueira C.W. Exposure to diphenyl ditelluride, via maternal milk, causes oxidative stress in cerebral cortex, hippocampus and striatum of young rats // Arch. Toxicol. 2009. 83. P. 485–491.
- Sudina L., Kolesnikov S., Minnikova T., Kazeev K., Sushkova S., Minkina T. Assessment of ecotoxicity of the bismuth by biological indicators of soil condition // Eur. J. Soil Sci. 2021. V. 10. P. 236–242. https://doi.org/10.18393/ejss.926759
- Tabatabai M.A., Dick W.A. Enzymes in soil: research and developments in measuring activities // Enzymes in the environment: Activity, ecology, and applications. N.Y.: Marcel Dekker, 2002. P. 567–596.
- Tighe M., Heidi B., Knaub C., Sisk M., Peaslee F.G., Lieberman M. Risky bismuth: Distinguishing between lead contamination sources in Soil // Chemosphere. 2019. V. 234. Р. 297–301.
- Tóth G., Montanarella L., Stolbovoy V., Máté F., Bódis K., Jones A., Panagos P., van Liedekerke M. Soils of the European Union. Luxembourg: Office for Official Publications of the European Communities. 2008. 85 p.
- Wiklund J.A., Kirk J.L., Muir D.C.G., Carrier J., Gleason A., Yang F., Evans M., Keating J. Widespread Atmospheric Tellurium Contamination in Industrial and Remote Regions of Canada // Environ. Sci. Technol. 2018. V. 52. P. 6137–6145. https://doi.org/10.1021/acs.est.7b06242
- World Reference Base for Soil Resources. International soil classification system for naming soils and creating legends for soil maps. 4th edition published in 2022 by the International Union of Soil Sciences (IUSS), Vienna, 2022, 234 p.
- Xing G., Zhu J., Xiong Z. Ag, Ta, Ru, and Ir enrichment in surface soil: Evidence for land pollution of heavy metal from atmospheric deposition // Global Biogeochem Cycles. 2004. V. 18. https://doi.org/10.1029/2003GB002123
- Yan C., Huang J., Cao C., Li R., Ma Y., Wang Y. Effects of PVP-coated silver nanoparticles on enzyme activity, bacterial and archaeal community structure and function in a yellow-brown loam soil // Environ. Sci. Poll. Res. 2020. V. 27. P. 8058–8070.
- Yang G., Zheng J., Tagami K., Uchida S. Rapid and sensitive determination of tellurium in soil and plant samples by sector-field inductively coupled plasma mass spectrometry // Talanta. 2013. V. 116. P. 181–187.
- Yildirim D., Sasmaz A. Phytoremediation of As, Ag, and Pb in contaminated soils using terrestrial plants grown on Gumuskoy mining area (Kutahya Turkey) // J. Geochem. Exploration. 2017. V. 182. P. 228–234. https://doi.org/10.1016/j.gexplo.2016.11.005
Supplementary files








