Seasonal Activity of Soil Peroxidase in Drained Swamp Pine Forests of Western Siberia: Systematic-Ecological Analysis
- Authors: Efremova T.T.1, Efremov S.P.1, Avrova A.F.1
-
Affiliations:
- Sukachev Institute of Forest, Krasnoyarsk Science Center, Siberian Branch of the Russian Academy of Sciences
- Issue: No 10 (2023)
- Pages: 1244-1258
- Section: SOIL CHEMISTRY
- URL: https://ogarev-online.ru/0032-180X/article/view/138256
- DOI: https://doi.org/10.31857/S0032180X23600774
- EDN: https://elibrary.ru/UJUOPN
- ID: 138256
Cite item
Full Text
Abstract
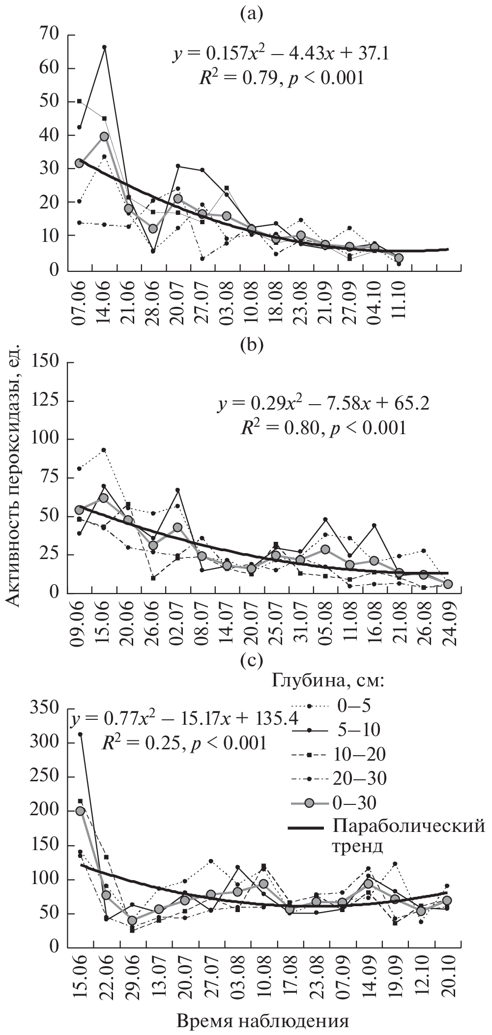
We studied a mesotrophic swamp drained 25 years ago, in the northern part of the Ob and Tom rivers (geographical coordinates 56°23′710″ N, 84°34′043″ E). In forest peat soils (0–30 cm), the weighted average of peroxidase activity for the season (base level) was in the mode of weak hydro reclamation 14.4, moderate – 21.9, intensive 70 units (ml I/g of abs. dry sample in 2 min). Second-order parabola is a most adequate function of the main trend of the development of seasonal fluctuations in peroxidase activity. Numerical values and signs of the parabolic trend parameters show that from June to October, the average peroxidase activity decreased weekly by 4.4, 7.6 and 15.2 units with weekly average acceleration by 0.31, 0.59 and 1.54 units in the mode of weak, moderate and intensive drainage, respectively. The seasonal wave of peroxidase activity relative to the baseline level is characterized by a June increase in growth rates, the maximum in the 0–10 cm layer. In July, there is a decrease in the growth rate according to the depth of reclamation: in the mode of weak and moderate drainage the process already covers the entire soil profile in August, in conditions of intensive drainage – in October. The enzyme activity is significantly positively related with soil bulk moisture and pH, negatively – with redox potential and multidirectionally – with soil temperature. Environmental conditions act as duplicate parameters when assessing their contribution to the seasonal dynamics of peroxidase, creating the effect of interchangeability of environmental gradients. Canonical determination indices approximate the cumulative impact of the discussed set by 52–74%, depending on the depth of reclamation. Canonical weights show that the main factor regulating the seasonal activity of peroxidase is the hydrothermal regime. According to canonical correlations, in conditions of weak drainage, to a greater extent under the influence of temperature, intensive – humidity, moderate drainage – humidity and temperature. The differentiated contribution of peroxidase activity in the formation of the humus state of peat soils of different degrees of drainage was revealed.
About the authors
T. T. Efremova
Sukachev Institute of Forest, Krasnoyarsk Science Center, Siberian Branch of the Russian Academy of Sciences
Author for correspondence.
Email: efr2@ksc.krasn.ru
Russia, 660036, Krasnoyarsk
S. P. Efremov
Sukachev Institute of Forest, Krasnoyarsk Science Center, Siberian Branch of the Russian Academy of Sciences
Email: efr2@ksc.krasn.ru
Russia, 660036, Krasnoyarsk
A. F. Avrova
Sukachev Institute of Forest, Krasnoyarsk Science Center, Siberian Branch of the Russian Academy of Sciences
Email: efr2@ksc.krasn.ru
Russia, 660036, Krasnoyarsk
References
- Гулько А.Е., Хазиев Ф.Х. Фенолоксидазы почв: продуцирование, иммобилизация, активность // Почвоведение. 1992. № 11. С. 55–68.
- Дырин В.А. Активность пероксидазы и полифенолоксидазы в торфе целинного и рекультивируемого участков болотной экосистемы низинного типа // Вестник Томского гос. пед. ун-та. 2015. № 2. С. 164–169.
- Ефремов С.П., Ефремова Т.Т. Влияние осушения на загруженность торфяной почвы корнями древесных и травянистых растений // Комплексная оценка болот и заболоченных лесов в связи с их мелиорацией. Новосибирск: Наука, 1973. С. 113–127.
- Ефремова Т.Т. Почвообразование и диагностика торфяных почв болотных экосистем // Почвоведение. 1992. № 12. С. 25–35.
- Ефремова Т.Т., Ефремов С.П., Воронков П.Т. Регрессионный анализ ферментативной активности осушенных торфяных почв // Особенности лесо-болотных экосистем Западной Сибири. Красноярск, 1978. С. 111–131.
- Ефремова Т.Т., Овчинникова Т.М., Суховольский В.Г. Многопараметрический анализ почвенных свойств лесных осушенных болот Западной Сибири // Почвоведение. 2006. № 6. С. 657–667.
- Ефремова Т.Т., Овчинникова Т.М. Оксидоредуктазная активность торфяных почв как показатель глубины биохимической трансформации лесных осушенных болот Западной Сибири // Известия РАН. Сер. биологическая. 2007. № 3. С. 360–367.
- Звягинцев Д.А. Проблемы биохимии почв // Вестник Моск. ун-та. Сер. 17. Почвоведение. 1977. № 1. С. 74–84.
- Инишева Л.И., Ивлева С.Н., Щербакова Т.А. Руководство по определению ферментативной активности торфяных почв и торфов. Томск: Изд-во Том. ун-та, 2003. 122 с.
- Инишева Л.И., Шайдак Л., Сергеева М.А. Динамика биохимических процессов и окислительно-восстановительное состояние в геохимически сопряженных ландшафтах олиготрофного болота // Почвоведение. 2016. № 4. С. 505–513.
- Инишева Л.И., Маслов С.Г., Щукина К.Е. Биохимическая активность торфа Обского региона // Химия твердого топлива. 2018. № 6. С. 33–41.
- Кауричев И.С., Орлов Д.С. Окислительно-восстановительные процессы и их роль в генезисе и плодородии почв. М.: Колос, 1982. 247 с.
- Козловская Л.С., Медведева В.М., Пьявченко Н.И. Динамика органического вещества в процессе торфообразования. Л.: Наука, 1978. 176 с.
- Кононова М.М. Органическое вещество почвы. М.: Изд-во АН СССР, 1963. 314 с.
- Купревич В.Ф., Щербакова Т.А. Почвенная энзимология. Минск: Наука и техника, 1966. 275 с.
- Ларина Г.В., Инишева Л.И., Порохина Е.В. Ферментативная активность болот горного Алтая // Вестник Алтайского гос. аграр. ун-та. 2016. № 10. С. 60–68.
- Морозова Р.М. К вопросу о классификации болотных и осушенных почв // Изменение лесоболотных биогеоценозов под влиянием осушения Петрозаводск, 1986. С. 108–124.
- Наумова Г.В., Жмакова Н.А., Макфрова Н.Л., Рассоха Н.Ф., Овчинникова Т.Ф. Энзиматическая активность торфа естественной и разрабатываемой торфяной залежи // Природопользование. 2018. № 1. С. 208–216.
- Орлов Д.С. Гумусовые кислоты почв и общая теория гумификации. М.: Изд-во Моск. ун-та, 1990. 325 с.
- Орлов Д.С., Бирюкова О.Н. О некоторых показателей биологической активности почв и вторичной трансформации гумусовых кислот // Экологические условия и ферментативная активность почв. Уфа, 1979. С. 78–98.
- Пономарева В.В., Николаева Т.А. Методы изучения органического вещества в торфяно-болотных почвах // Почвоведение. 1961. № 5. С. 88–95.
- Порохина Е.В., Голубина О.А. Ферментативная активность в торфяных залежах болота Таган // Вестник Томского гос. пед. ун-та. 2012. Т. 122. № 7. С. 171–176.
- Порохина Е.В., Инишева Л.И., Дырин В.А. Биологическая активность и сезонные изменения СО2 и СН4 в торфяных залежах эвтрофного болота // Вестник Томского гос. ун-та. Биология. 2015. № 3 (31). С. 157–176.
- Порохина Е.В., Сергеева М.А. Химический состав и биологическая активность торфяной залежи олиготрофного болота // Самарский научный вестник. 2018. Т. 7. № 3. С. 82–87.
- Пьявченко Н.И. О диагностике типов торфяных почв и залежей при изысканиях и проектировании лесоосушительных мелиораций // Исследования по лесному болотоведению и мелиорации. Петрозаводск, 1978. С. 5–24.
- Скрынникова И.Н. Классификация целинных болотных и мелиоративных торфяных почв СССР // Почвоведение. 1964. № 5. С. 14–27.
- Хазиев Ф.Х. Системно-экологический анализ ферментативной активности почв. М.: Наука, 1982. 203 с.
- Хазиев Ф.Х. Методы почвенной энзимологии. М.: Наука, 1990. 190 с.
- Хазиев Ф.Х. Экологические связи ферментативной активности почв // Экобиотех. 2018. Т. 1. № 2. С. 80–92. http://ecobiotech-journal.ru.
- Хазиев Ф.Х. О кинетике ферментативных процессов в почвах // Известия Уфимского научного центра РАН. 2018. № 3. С. 45–51.
- Халафян А.А. Statistica 6. Статистический анализ данных. М.: ООО Бином-Пресс, 2007. 515 с.
- Чекотовский Э.В. Графический анализ статистических данных в Microsoft Excel 2000. М.: Изд. дом Вильямс, 2002. 464 с.
- Щербакова Т.А. Роль ферментов в процессах трансформации поступающего в почву органического вещества // Экологические условия и ферментативная активность почв. Уфа, 1979. С. 59–78.
- Щербакова Т.А. Ферментативная активность почв и трансформация органического вещества (в естественных искусственных фитоценозах). Минск: Наука и техника, 1983. 222 с.
- Baldrian P., Stursova M. Enzymes in Forest Soils // Soil Enzymology. Berlin: Springer-Verlag. 2011. P. 61–73.
- Burns R.G., DeForest J.L, Marxsen J., Sinsabaugh R.L., Stromberger M.E., Wallenstein M.D., Weintraub M.N., Zoppini A. Soil enzymes in a changing environment: Current knowledge and future directions // Soil Biol. Biochem. 2013. V. 58. P. 216–234.
- Caldwel B.A. Enzyme activities as a component of soil biodiversity: A review // Pedobiologia. 2005. V. 49. № 6. P. 637–644.
- Esimbekovaa E.N., Torgashinaa I.G., Kalyabinaa V.P., Kratasyaka V.A. Enzymatic Biotesting: Scientific Basis and Application // Contemporary Problems of Ecology. 2021. V. 14. P. 209–304.
- Freeman C., Ostle N.J., Fenner N., Kang H. A regulator role for phenol oxidase during decomposition in peatlands // Soil Biol. Biochem. 2004. V. 36. № 10. P. 1663–1667.
- Karaca A., Cetin S.C., Turgay O.S., Kizilkaya R. Soil enzymes as indication of soil quality // Soil Enzymology. Berlin: Springer-Verlag, 2011. P. 119–148.
- Lia Q., Jiab W., Zhangc Q., Cheng X. Localized plant-soil-microbe interactions regulate spatial variations of soil oxidase activities within afforested systems in a subtropicalarea // Geoderma. 2022. V. 406. № 4. EDN: TPMGTLhttps://doi.org/10.1016/j.geoderma.2021.115499
- Makoi J.H., Ndakidemi P.A. Selected soil enzymes: exsamples of their potential roles in the ecosystem // African J. Biotech. 2008. V. 7. № 3. P. 181–191.
- Pinsonneault A.J., Moore T.R., Roulet N.T. Temperature the dominant control on the enzyme-latch across a range of temperate peatland types // Soil Biol. Biochem. 2016. V. 97. P. 121–130.
- Sinsabaugh R.L. Phenol oxidase, peroxidase and organic matter dynamics of soil // Soil Biol. Biochem. 2010. V. 42. P. 391–404.
- Steinweg M.J., Kostka J.E., Hanson P.J., Schadt C.W. Temperature sensitivity of extracellular enzymes differs with peat depth but not with season in an ombrotrophic bog // Soil Biol. Biochem. 2018. V. 125. P. 244–250.
- Zavarzina A.G. Heterophase synthesis of hymic acids in soils by immobized phenol oxidases // Soil Enzymology. Berlin: Springer-Verlag, 2011. P. 187–205.
Supplementary files








