Дыхание почвы в аграрных и природных экосистемах европейской территории России
- Авторы: Суховеева О.Э.1, Карелин Д.В.1, Золотухин А.Н.1, Почикалов А.В.1
-
Учреждения:
- Институт географии РАН
- Выпуск: № 9 (2023)
- Страницы: 1077-1088
- Раздел: ДЫХАНИЕ ПОЧВ В ПРИРОДНЫХ ЦЕНОЗАХ
- URL: https://ogarev-online.ru/0032-180X/article/view/138185
- DOI: https://doi.org/10.31857/S0032180X23600488
- EDN: https://elibrary.ru/UWKLZI
- ID: 138185
Цитировать
Полный текст
Аннотация
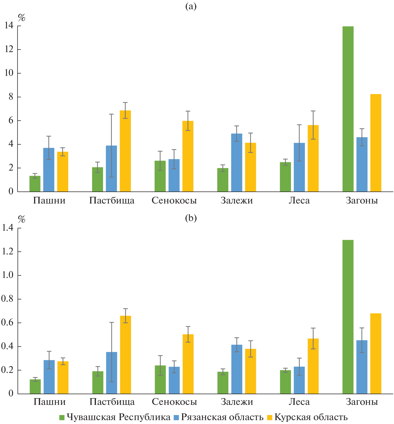
Представлены результаты оценки дыхания почвы в трех регионах: Чувашской Республике, Рязанской и Курской областях. Аграрные и природные экосистемы разделены на семь групп: пашни, пастбища, сенокосы, залежи, леса, места содержания животных и открытые компостные хранилища. Измерения эмиссии СО2 проводили в 2020–2022 гг. камерным методом. Экосистемы оказались ранжированы по возрастанию скорости эмиссии СО2 из почвы в следующем порядке: пашни (0.03–0.24 г C–CО2/(м2 ч)) < пастбища (0.07–0.33 г C–CО2/(м2 ч)) ≤ сенокосы (0.06–0.35 г C–CО2/(м2 ч)) ≤ леса (0.07–0.28 г C–CО2/(м2 ч)) ≤ залежи (0.08–0.37 г C–CО2/(м2 ч)) \( \ll \) \( \ll \) загоны (0.21–8.61 г C–CО2/(м2 ч)) \( \ll \) компостные хранилища (1.15–13.85 г C–CО2/(м2 ч)); причем оценки эмиссии СО2 из почв пастбищ, сенокосов, лесов и залежей в большинстве случаев статистически не различались. Проанализирована зависимость скорости дыхания почвы от гидротермических (температура и влажность верхнего слоя почвы, температура воздуха) и агрохимических (содержание общего углерода и общего азота в верхнем слое почвы, его рН) показателей по географическим регионам и по типам экосистем. Важнейшим среди оцениваемых факторов как на уровне экосистемы, так и на уровне региона является температура почвы на глубине 10 см (rр = 0.41–0.88, p < 0.05). Условия увлажнения не играют значимой роли в формировании потока СО2. В региональном масштабе имеет значение содержание углерода и азота (rр = 0.33–0.92, p < 0.05), которое больше зависит от географического положения объектов, чем от характера хозяйственной деятельности. Рассмотренные показатели на 17–78% определяют дисперсию эмиссии СО2 из почв исследованных экосистем.
Ключевые слова
Об авторах
О. Э. Суховеева
Институт географии РАН
Автор, ответственный за переписку.
Email: olgasukhoveeva@gmail.com
Россия, 119017, Москва, Старомонетный пер., 29
Д. В. Карелин
Институт географии РАН
Email: olgasukhoveeva@gmail.com
Россия, 119017, Москва, Старомонетный пер., 29
А. Н. Золотухин
Институт географии РАН
Email: olgasukhoveeva@gmail.com
Россия, 119017, Москва, Старомонетный пер., 29
А. В. Почикалов
Институт географии РАН
Email: olgasukhoveeva@gmail.com
Россия, 119017, Москва, Старомонетный пер., 29
Список литературы
- Доклад о состоянии и использовании земель сельскохозяйственного назначения Российской Федерации в 2020 г. М.: ФГБНУ “Росинформагротех”, 2022. 384 с.
- Мониторинг потоков парниковых газов в природных экосистемах / Под ред. Замолодчикова Д.Г. и др. Саратов: Амирит, 2017. 279 с.
- Национальный доклад Российской Федерации о кадастре антропогенных выбросов из источников и абсорбции поглотителями парниковых газов, не регулируемых Монреальским протоколом за 1990–2010 гг. М.: Росгидромет, 2022. Ч. 1. 468 с.
- Пулы и потоки углерода в наземных экосистемах России / Под ред. Заварзина Г.А. М.: Наука, 2007. 315 с.
- Akbas M., Tufekcioglu A. Contribution of the root component to soil respiration in oriental beech stands in Artvin, Turkey // Forest Science. 2022. V. 68. P. 399–409. https://doi.org/10.1093/forsci/fxac022
- Anokye J., Logah V., Opoku A. Soil carbon stock and emission: estimates from three land-use systems in Ghana // Ecological Processes. 2021. V. 10. P. 11. https://doi.org/10.1186/s13717-020-00279-w
- Apostolakis A., Schöning I., Michalzik B., Klaus V.H., Boeddinghaus R.S., Kandeler E., Marhan S., Bolliger R., Fischer M., Prati D., Hänsel F., Nauss T., Hölzel N., Kleinebecker T., Schrumpf M. Drivers of soil respiration across a management intensity gradient in temperate grasslands under drought // Nutrient Cycling in Agroecosystems. 2022. V. 124. P. 101–116. https://doi.org/10.1007/s10705-022-10224-2
- Balafoutis A., Beck B., Fountas S., Vangeyte J., Wal T.V.d., Soto I., Gómez-Barbero M., Barnes A., Eory V. Precision agriculture technologies positively contributing to GHG emissions mitigation, farm productivity and economics // Sustainability. 2017. V. 9. P. 1339. https://doi.org/10.3390/su9081339
- Bispo A., Andersen L., Angers D.A., Bernoux M., Brossard M., Cécillon L., Comans R.N.J. et al. Accounting for carbon stocks in soils and measuring GHGs emission fluxes from soils: Do we have the necessary standards? // Frontiers in Environmental Science. 2017. V. 5. P. 41. https://doi.org/10.3389/fenvs.2017.00041
- Bond–Lamberty B., Thomson A. Temperature associated increases in the global soil respiration record // Nature. 2010. V. 464. P. 579–582. https://doi.org/10.1038/nature08930
- Bond-Lamberty B.P., Thomson A.M. A global database of soil respiration data, Version 3.0. ORNL DAAC, Oak Ridge, Tennessee, USA. 2014. https://doi.org/10.3334/ORNLDAAC/1235
- Brito L.F., Azenha M.V., Janusckiewicz E.R., Cardoso A.S., Morgado E.S., Malheiros E.B., La Scala N.Jr., Reis R.A., Ruggieri A.C. Seasonal fluctuation of soil carbon dioxide emission in differently managed pastures // Agronomy J. 2015. V. 107. P. 957–962. https://doi.org/10.2134/agronj14.0480
- Deluz C., Nussbaum M., Sauzet O., Gondret K., Boivin P. Evaluation of the potential for soil organic carbon content monitoring with farmers // Frontiers in Environmental Science. 2020. V. 8. P. 113. https://doi.org/10.3389/fenvs.2020.00113
- Eisen M.B., Brown P.O. Rapid global phaseout of animal agriculture has the potential to stabilize greenhouse gas levels for 30 years and offset 68 percent of CO2 emissions this century // PLOS Climate. 2022. V. 1. P. e0000010. https://doi.org/10.1371/journal.pclm.0000010
- Francioni M., Trozzo L., Toderi M., Baldoni N., Allegrezza M., Tesei G., Kishimoto-Mo A.W., Foresi L. et al. Soil respiration dynamics in Bromus erectus-dominated grasslands under different management intensities // Agriculture. 2020. V. 10. P. 9. https://doi.org/10.3390/agriculture10010009
- Friedlingstein P., Jones M.W., O’Sullivan M., Andrew R.M., Bakker D.C.E., Hauck J., Le Quéré C., Peters G.P. et al. Global Carbon Budget 2021 // Earth System Science Data. 2022. V. 14. P. 1917–2005. https://doi.org/10.5194/essd-14-1917-2022
- Gennadiev A.N., Zhidkin A.P., Kachinskii V.L., Olson K.R. Soil erosion under different land uses: assessment by the magnetic tracer method // Eurasian Soil Science. 2010. V. 43. P. 1047–1054. https://doi.org/10.1134/S1064229310090127
- Gerosa G., Finco A., Boschetti F., Brenna S., Marzuoli R. Measurements of soil carbon dioxide emissions from two maize agroecosystems at harvest under different tillage conditions // The Scientific World J. 2014. V. 2014. P. 141345. https://doi.org/10.1155/2014/141345
- Holka M., Kowalska J., Jakubowska M. Reducing carbon footprint of agriculture – can organic farming help to mitigate climate change? // Agriculture. 2022. V. 12. P. 1383. https://doi.org/10.3390/agriculture12091383
- Huang N., Wang L., Song X.-P., Black T.A., Jassal R.S., Myneni R.B., Wu C. et al. Spatial and temporal variations in global soil respiration and their relationships with climate and land cover // Science Advances. 2020. V. 6. P. eabb8508.https://doi.org/10.1126/sciadv.abb8508
- IPCC, 2022: Summary for Policymakers // Climate Change 2022: Mitigation of Climate Change. Contribution of Working Group III to the Sixth Assessment Report of the Intergovernmental Panel on Climate Change. Cambridge University Press, Cambridge, UK and New York, NY, USA. https://doi.org/10.1017/9781009157926.001.
- Ismagilova N., Körschens M. The evaluation of changes in soil humic substances composition and their nature in long-term experiments of Germany and Russia // Archives of Agronomy and Soil Science. 2003. V. 49. P. 141–147. https://doi.org/10.1080/0365034031000079748
- Jansson C., Faiola C., Wingler A., Zhu X.-G., Kravchenko A., de Graaff M.-A., Ogden A.J., Handakumbura P.P., Werner C., Beckles D.M. Crops for carbon farming // Frontier in Plant Science. 2021. V. 12, P. 636709. https://doi.org/10.3389/fpls.2021.636709
- Johnson D.C., Teague R., Apfelbaum S., Thompson R., Byck P. Adaptive multi-paddock grazing management’s influence on soil food web community structure for: increasing pasture forage production, soil organic carbon, and reducing soil respiration rates in southeastern USA ranches // PeerJ. 2022. V. 10. P. e13750. https://doi.org/10.7717/peerj.13750
- Kang X., Hao Y., Cui X., Chen H., Li C., Rui Y., Tian J., Kardol P., Zhong L., Wang J., Wang Y. Effects of grazing on CO2 balance in a semiarid steppe: field observations and modeling // Journal of Soils and Sediments. 2013. V. 13. P. 1012–1023. https://doi.org/10.1007/s11368-013-0675-5
- Karavanova E.I. Dissolved organic matter: Fractional composition and sorbability by the soil solid phase (Review of literature) // Eurasian Soil Science. 2013. V. 46. P. 833–844. https://doi.org/10.7868/S0032180X13080042
- Lal R. Soil carbon sequestration to mitigate climate change // Geoderma. 2004. V. 123. P. 032. https://doi.org/10.1016/j.geoderma.2004.01.032
- Larionova A.A., Ermolaev A.M., Nikitishen V.I., de Gerenyu V.O.L., Evdokimov I.V. Carbon budget in arable gray forest soils under different land use conditions // Eurasian Soil Science. 2009. V 42. P. 1364–1373. https://doi.org/10.1134/S1064229309120060
- Larionova A.A., Yevdokimov I.V., Kurganova I.N., Sapronov D.V., Gerenju V.O.L.De., Kuznetsova L.G. Root respiration and its contribution to the CO2 emission from soil // Eurasian Soil Science. 2003. V. 36. P. 173–184.
- Lehmann J., Hansel C.M., Kaiser C., Kleber M., Maher K., Manzoni S., Nunan N., Reichstein M., Schimel J.P., Torn M.S., Wieder W.R., Kögel-Knabner I. Persistence of soil organic carbon caused by functional complexity // Nature Geoscience. 2020. V. 13. P. 529–534. https://doi.org/10.1038/s41561-020-0612-3
- Lei J., Guo X., Zeng Y., Zhou J., Gao Q., Yang Y. Temporal changes in global soil respiration since 1987 // Nature Communications. 2021. V. 12. P. 403. https://doi.org/10.1038/s41467-020-20616-z
- Lei N., Wang H., Zhang Y., Chen T. Components of respiration and their temperature sensitivity in four reconstructed soils // Scientific Reports. 2022. V. 12. P. 6107. https://doi.org/10.1038/s41598-022-09918-y
- Mathew I., Shimelis H., Mutema M., Chaplot V. What crop type for atmospheric carbon sequestration: Results from a global data analysis // Agriculture, Ecosystems Environ. 2017. V. 243. P. 34–46. https://doi.org/10.1016/j.agee.2017.04.008
- Meier E.A., Thorburn P.J., Bell L.W., Harrison M.T., Biggs J.S. Greenhouse gas emissions from cropping and grazed pastures are similar: a simulation analysis in Australia // Frontiers in Sustainable Food Systems. 2020. V. 3. P. 121. https://doi.org/10.3389/fsufs.2019.00121
- Mohammed S., Mirzaei M., Pappné Töro A., Anari M.G., Moghiseh E., Asadi H., Szabó S., Kakuszi-Széles A., Harsányi E. Soil carbon dioxide emissions from maize (Zea mays L.) fields as influenced by tillage management and climate // Irrigation and Drainage. 2022. V. 71. P. 228–240. https://doi.org/10.1002/ird.2633
- Morell F.J., Whitmore A.P., Álvaro-Fuentes J., Lampurlanés J., Cantero-Martínez C. Root respiration of barley in a semiarid Mediterranean agroecosystem: field and modelling approaches // Plant and Soil. 2012. V. 351. P. 135–147. https://doi.org/10.1007/s11104-011-0938-0
- Morris K.A., Hornum S., Crystal-Ornelas R., Pennington S.C., Bond-Lamberty B. Soil respiration response to simulated precipitation change depends on ecosystem type and study duration // J. Geophys. Res: Biogeosciences. 2022. V. 127. P. e2022JG006887. https://doi.org/10.1029/2022JG006887
- Mukhortova L., Schepaschenko D., Moltchanova E., Shvidenko A., Khabarov N., See L. Respiration of Russian soils: Climatic drivers and response to climate change // Sci. The Total Environ. 2021. V. 785. P. 147314. https://doi.org/10.1016/j.scitotenv.2021.147314
- Oertel C., Matschullat J., Zurba K., Zimmermann F., Erasmi S. Greenhouse gas emissions from soils — A review. Geochemistry. 2016. V. 76. P. 327–352. https://doi.org/10.1016/j.chemer.2016.04.002
- Peel M.C., Finlayson B.L., McMahon T.A. Updated world map of the Köppen-Geiger climate classification // Hydrology and Earth System Sciences. 2007. V. 11. P. 1633–1644. https://doi.org/10.5194/hess-11-1633-2007
- Rahman M.M. Carbon dioxide emission from soil // Agricultural Research. 2013. V. 2. P. 132–139. https://doi.org/10.1007/s40003-013-0061-y
- Rastogi M., Singh S., Pathak H. Emission of carbon dioxide from soil // Current Science. 2002. V. 82. P. 510–517. https://www.jstor.org/stable/24105957
- Ray R.L., Griffin R.W., Fares A., Elhassan A., Awal R., Woldesenbet S., Risch E. Soil CO2 emission in response to organic amendments, temperature, and rainfall // Scientific Reports. 2020. V. 10. P. 5849. https://doi.org/10.1038/s41598-020-62267-6
- Ryan M.G., Law B.E. Interpreting, measuring, and modeling soil respiration // Biogeochemistry. 2005. V. 73. P. 3–27. https://doi.org/10.1007/s10533-004-5167-7
- Semenov V.M., Ivannikova L.A., Kuznetsova T.V., Semenova N.A., Tulina A.S. Mineralization of organic matter and the carbon sequestration capacity of zonal soils // Eurasian Soil Science. 2008. V. 41. P. 717–730. https://doi.org/10.1134/S1064229308070065
- van Wesemael B., Paustian K., Meersmans J., Goidts E., Barancikova G., Easter M. Agricultural management explains historic changes in regional soil carbon stocks // PNAS. 2010. V. 107. P. 14926–14930. https://doi.org/10.1073/pnas.1002592107
- Wang C., Amon B., Schulz K., Mehdi B. Factors that influence nitrous oxide emissions from agricultural soils as well as their representation in simulation models: a review // Agronomy. 2021. V. 11. P. 770. https://doi.org/10.3390/ agronomy11040770
- Yang Y., Li T., Pokharel P., Liu L., Qiao J., Wang Y., An S., Chang S.X. Global effects on soil respiration and its temperature sensitivity depend on nitrogen addition rate // Soil Biology and Biochemistry. 2022. V. 174. P. 108814. https://doi.org/10.1016/j.soilbio.2022.108814
- Yevdokimov I.V., Larionova A.A., Lopes de Gerenyu V.O., Schmitt M., Bahn M. Determination of root and microbial contributions to the CO2 emission from soil by the substrate-induced respiration method // Eurasian Soil Science. 2010. V. 43. P. 321–327. https://doi.org/10.1134/S1064229310030105
- Yilmaz G. Seasonal variations in soil CO2 emissions under continuous field crop production in semi-arid southeastern Turkey // Appl. Ecol. Environ. Res. 2019. V. 17. P. 6563–6579. https://doi.org/10.15666/aeer/1703_65636579
- Zhao Y., Xue Z., Guo H., Mu X., Li C. Effects of tillage and crop residue management on soil respiration and its mechanism // Transactions of the Chinese Society of Agricultural Engineering. 2004. V. 30. P. 155–165. https://doi.org/10.3969/j.issn.1002-6819.2014.19.019
Дополнительные файлы






