Разнообразие бактерий, культивируемых из аридных почв и пород в условиях дефицита доступной воды
- Авторы: Чепцов В.С.1,2, Белов А.А.1, Сотников И.В.3
-
Учреждения:
- МГУ им. М.В. Ломоносова
- Институт космических исследований РАН
- Институт проблем экологии и эволюции им. А.Н. Северцова РАН
- Выпуск: № 5 (2023)
- Страницы: 525-535
- Раздел: ТАКСОНОМИЧЕСКОЕ И ФУНКЦИОНАЛЬНОЕ РАЗНООБРАЗИЕ ПОЧВЕННЫХ МИКРОБИОМОВ
- URL: https://ogarev-online.ru/0032-180X/article/view/138062
- DOI: https://doi.org/10.31857/S0032180X22601372
- EDN: https://elibrary.ru/IFLUFI
- ID: 138062
Цитировать
Полный текст
Аннотация
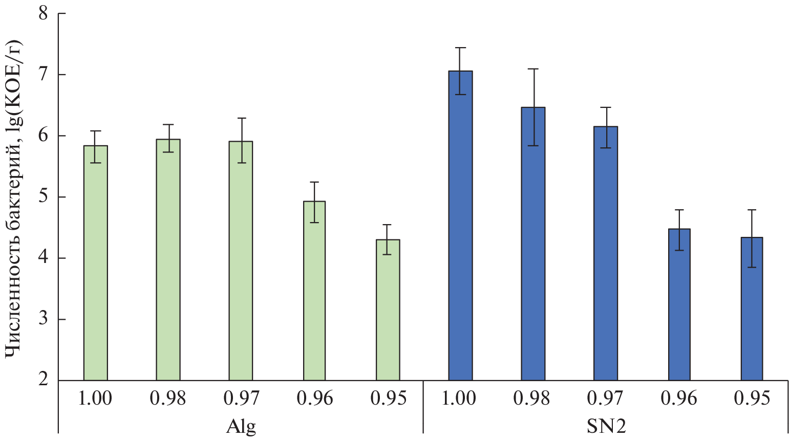
Проведено исследование разнообразия бактерий, выделенных из почвы пустыни Негев (Израиль, образец SN2) и осадочной породы пустыни Сахара (Тунис, образец Alg). Для оценки способности бактерий к метаболизму при различных уровнях доступности влаги и для более полного выявления бактериального разнообразия культивирование проводили на средах R2A с добавлением глицерина в различных концентрациях для установления определенного уровня активности воды (Aw) в среде в диапазоне от 1.0 до 0.9 (с шагом 0.01 Aw). После инкубации уникальные морфотипы культивируемых бактерий выделяли, описывали, идентифицировали с помощью секвенирования 16S рРНК и тестировали на способность к росту в градиенте Aw в чистых культурах. После инкубации и выделения было идентифицировано и протестировано 355 штаммов. Культивируемые бактерии обнаруживали на средах с Aw 0.95 и больше. При уменьшении Aw от 1 до 0.95 численность культивируемых бактерий уменьшалась от 105 и 107 КОЕ/г в образцах SN2 и Alg соответственно до 2 × 104 КОЕ/г в обоих исследованных образцах. В результате культивирования выделили представителей 34 родов бактерий, преимущественно филума Actinobacteria; доминировали представители родов Arthrobacter, Kocuria и Pseudarthrobacter. При этом выявили 38 штаммов с низким сходством нуклеотидных последовательностей с базами данных, вероятно, являющихся представителями ранее не описанных видов родов Agrococcus, Arthrobacter, Bacillus, Brachybacterium, Cellulomonas, Conyzicola, Kocuria, Microbacterium, Okibacterium, Rathayibacter и Sphingomonas. Тестирование штаммов на способность к росту в чистой культуре в градиенте значений Aw позволило обнаружить 18 штаммов родов Arthrobacter, Kocuria, Brachybacterium, Serratia и Leucobacter, способных к росту на питательной среде с Aw 0.91. Проведенное исследование подтверждает, что пустынные почвы и породы являются депозитарием ранее не описанных видов бактерий, а также могут быть ценным источником биотехнологически перспективных штаммов.
Ключевые слова
Об авторах
В. С. Чепцов
МГУ им. М.В. Ломоносова; Институт космических исследований РАН
Автор, ответственный за переписку.
Email: cheptcov.vladimir@gmail.com
Россия, 119991, Москва, Ленинские горы, 1; Россия, 117997, Москва, ул. Профсоюзная, 84/32
А. А. Белов
МГУ им. М.В. Ломоносова
Email: cheptcov.vladimir@gmail.com
Россия, 119991, Москва, Ленинские горы, 1
И. В. Сотников
Институт проблем экологии и эволюции им. А.Н. Северцова РАН
Email: cheptcov.vladimir@gmail.com
Россия, 119071, Москва, Ленинский пр-т, 33
Список литературы
- Белов А.А., Чепцов В.С., Лысак Л.В. Методы идентификации почвенных микроорганизмов. М.: МАКС Пресс, 2020. 196 с.
- Albdaiwi R.N., Khyami-Horani H., Ayad J.Y., Alananbeh K.M., Al-Sayaydeh R. Isolation and characterization of halotolerant plant growth promoting rhizobacteria from durum wheat (Triticum turgidum subsp. durum) cultivated in saline areas of the dead sea region // Front. Microbiol. 2019. V. 10. P 1639. https://doi.org/10.3389/fmicb.2019.01639
- Belov A.A., Cheptsov V.S., Vorobyova E.A. Soil bacterial communities of Sahara and Gibson deserts: Physiological and taxonomical characteristics // AIMS Microbiol. 2018. V. 4. № 4. P. 685. https://doi.org/10.3934/microbiol.2018.4.685
- Belov A.A., Cheptsov V.S., Vorobyova E.A., Manucharova N.A., Ezhelev Z.S. Stress-tolerance and taxonomy of culturable bacterial communities isolated from a central Mojave Desert soil sample // Geosciences. 2019. V. 9 № 4. P. 166. https://doi.org/10.3390/geosciences9040166
- Belov A.A., Cheptsov V.S., Manucharova N.A., Ezhelev Z.S. Bacterial communities of Novaya Zemlya archipelago ice and permafrost // Geosciences. 2020. V. 10. № 2. P. 67. https://doi.org/10.3390/geosciences10020067
- Bianchi M.A., Bianchi A.J. Statistical sampling of bacterial strains and its use in bacterial diversity measurement // Microb. Ecol. 1982. V. 8. № 1. P. 61–69. https://doi.org/10.1007/BF02011462
- Bose H., Satyanarayana T. Microbial carbonic anhydrases in biomimetic carbon sequestration for mitigating global warming: prospects and perspectives // Front. Microbiol. 2017. V. 8. P. 1615. https://doi.org/10.3389/fmicb.2017.01615
- Brown A. Microbial water stress // Bacteriol. Rev. 1976. V. 40. № 4. P. 803–846. https://doi.org/10.1128/br.40.4.803-846.1976
- Bull A.T. Actinobacteria of the extremobiosphere // Extremophiles Handbook / Ed. K. Horikoshi Springer, 2011. P. 1203–1240. https://doi.org/10.1007/978-4-431-53898-1
- Cervenka L., Vytrasova M., Jelinek D., Brezina P. Determination of minimum water activity values for the survival of bacteria in a culture medium // Bull. Food Res. 2002. V. 41. № 1. P. 59–68. https://agris.fao.org/agris-search/ search.do?recordID=SK2002000296
- Chanal A., Chapon V., Benzerara K., Barakat M., Christen R., Achouak W., Heulin T. The desert of Tataouine: an extreme environment that hosts a wide diversity of microorganisms and radiotolerant bacteria // Environ. Microbiol. 2006. V. 8. № 3. P. 514–525. https://doi.org/10.1111/j.1462-2920.2005.00921.x
- Chen M.S., Li F.N., Chen X.H., Yan X.R., Tuo L. Brachybacterium halotolerans sp. nov., a halotolerant, endophytic actinomycete isolated from branch of Bruguiera gymnoirhiza // Antonie van Leeuwenhoek. 2021. V. 114. № 6. P. 875–884. https://doi.org/10.1007/s10482-021-01565-z
- Cheptsov V.S., Vorobyova E.A., Manucharova N.A., Gorlenko M.V., Pavlov A.K., Vdovina M.A., Bulat S.A. 100 kGy gamma-affected microbial communities within the ancient Arctic permafrost under simulated Martian conditions // Extremophiles. 2017. V. 21. № 6. P. 1057–1067. https://doi.org/10.1007/s00792-017-0966-7
- Cheptsov V., Vorobyova E., Belov A., Pavlov A., Tsurkov D., Lomasov V., Bulat S. Survivability of soil and permafrost microbial communities after irradiation with accelerated electrons under simulated Martian and open space conditions // Geosciences. 2018. V. 8. № 8. P. 298. https://doi.org/10.3390/geosciences8080298
- Chun J., Oren A., Ventosa A., Christensen H., Arahal D.R., da Costa M.S., Trujillo M.E. Proposed minimal standards for the use of genome data for the taxonomy of prokaryotes // Int. J. Syst. Evol. Microbiol. 2018. V. 68. № 1. P. 461–466. https://doi.org/10.1099/ijsem.0.002516
- Cox M.M., Battista J.R. Deinococcus radiodurans – the consummate survivor // Nat. Rev. Microbiol. 2005. V. 3. № 11. P. 882–892. https://doi.org/10.1038/nrmicro1264
- Degré A., van der Ploeg M.J., Caldwell T., Gooren H.P. Comparison of soil water potential sensors: a drying experiment // Vadose Zone J. 2017. V. 16. № 4. P. 1–8. https://doi.org/10.2136/vzj2016.08.0067
- Dieser M., Greenwood M., Foreman C.M. Carotenoid pigmentation in Antarctic heterotrophic bacteria as a strategy to withstand environmental stresses // Arct. Antarct. Alp. Res. 2010. V. 42. № 4. P. 396–405. https://doi.org/10.1657/1938-4246-42.4.396
- Drees K.P., Neilson J.W., Betancourt J.L., Quade J., Henderson D.A., Pryor B.M., Maier R.M. Bacterial community structure in the hyperarid core of the Atacama Desert, Chile // Appl. Environ. Microbiol. 2006. V. 72. № 12. P. 7902–7908. https://doi.org/10.1128/AEM.01305-06
- El-Registan G.I., Mulyukin A.L., Nikolaev Y.A., Suzina N.E., Gal’chenko V.F., Duda V.I. Adaptogenic functions of extracellular autoregulators of microorganisms // Microbiology. 2006. V. 75. № 4. P. 380–389. https://doi.org/10.1134/S0026261706040035
- Fontana Jr A.J. D Minimum Water Activity Limits for Growth of Microorganisms. // Water Activity in Foods. 2020. V. 406. P. 571–572. https://doi.org/10.1002/9781118765982
- Goodfellow M., Nouioui I., Sanderson R., Xie F., Bull A.T. Rare taxa and dark microbial matter: novel bioactive actinobacteria abound in Atacama Desert soils // Antonie van Leeuwenhoek. 2018. V. 111. № 8. P. 1315–1332. https://doi.org/10.1007/s10482-018-1088-7
- Grant W.D. Life at low water activity // Philosophical Transactions of the Royal Society of London. Series B: Biological Sciences. 2004. V. 359. № 1448. P. 1249–1267. https://doi.org/10.1098/rstb.2004.1502
- Gunde-Cimerman N., Plemenitaš A., Oren A. Strategies of adaptation of microorganisms of the three domains of life to high salt concentrations // FEMS Microbiol. Rev. 2018. V. 42. № 3. P. 353–375. https://doi.org/10.1093/femsre/fuy009
- Huang W., Ertekin E., Wang T., Cruz L., Dailey M., DiRuggiero J., Kisailus D. Mechanism of water extraction from gypsum rock by desert colonizing microorganisms // Proc. Natl. Acad. Sci. U.S.A. 2020. V. 117. № 20. P. 10681–10687. https://doi.org/10.1073/pnas.2001613117
- Ishii N., Fuma S., Tagami K., Honma–Takeda S., Shikano S. Responses of the bacterial community to chronic gamma radiation in a rice paddy ecosystem // Int. J. Radiat. Biol. 2011. V. 87. № 7. P. 663–672. https://doi.org/10.3109/09553002.2010.549534
- Karan R., Capes M.D., DasSarma S. Function and biotechnology of extremophilic enzymes in low water activity // Aquat. Biosyst. 2012. V. 8. № 1. P. 1–15. https://doi.org/10.1186/2046-9063-8-4
- Köberl M., Müller H., Ramadan E.M., Berg G. Desert farming benefits from microbial potential in arid soils and promotes diversity and plant health // PLoS One. 2011. V. 6. № 9. P. e24452. https://doi.org/10.1371/journal.pone.0024452
- Lester E.D., Satomi M., Ponce A. Microflora of extreme arid Atacama Desert soils // Soil Biol. Biochem. 2007. V. 39. № 2. P. 704–708. https://doi.org/10.1016/j.soilbio.2006.09.020
- Margesin R., Collins T. Microbial ecology of the cryosphere (glacial and permafrost habitats): current knowledge // Appl. Microbiol. Biotechnol. 2019. V. 103. № 6. P. 2537–2549. https://doi.org/10.1007/s00253-019-09631-3
- McKnight D.T., Huerlimann R., Bower D.S., Schwarzkopf L., Alford R.A., Zenger K.R. Methods for normalizing microbiome data: an ecological perspective // Methods Ecol. Evol. 2019. V. 10. № 3. P. 389–400. https://doi.org/10.1111/2041-210X.13115
- Mohammadipanah F., Wink J. Actinobacteria from arid and desert habitats: diversity and biological activity // Front. Microbiol. 2016. V. 6. P. 1541. https://doi.org/10.3389/fmicb.2015.01541
- Molina-Menor E., Gimeno-Valero H., Pascual J., Peretó J., Porcar M. High culturable bacterial diversity from a European desert: The Tabernas desert // Front. Microbiol. 2021. V. 11. P. 583120. https://doi.org/10.3389/fmicb.2020.583120
- Moyano F.E., Manzoni S., Chenu C. Responses of soil heterotrophic respiration to moisture availability: An exploration of processes and models // Soil Biol. Biochem. 2013. V. 59. 72–85. https://doi.org/10.1016/j.soilbio.2013.01.002
- Musilova M., Wright G., Ward J.M., Dartnell L.R. Isolation of radiation-resistant bacteria from Mars analog Antarctic Dry Valleys by preselection, and the correlation between radiation and desiccation resistance // Astrobiology. 2015. V. 15. № 12. P. 1076–1090. https://doi.org/10.1089/ast.2014.1278
- Nafis A., Raklami A., Bechtaoui N., El Khalloufi F., El Alaoui A., Glick B.R., Hassani L. Actinobacteria from extreme niches in morocco and their plant growth-promoting potentials // Diversity. 2019. V. 11. № 8. P. 139. https://doi.org/10.3390/d11080139
- Narváez–Reinaldo J.J., Barba I., González–López J., Tunnacliffe A., Manzanera M. Rapid method for isolation of desiccation-tolerant strains and xeroprotectants // Appl. Environ. Microbiol. 2010. V. 76. № 15. P. 5254–5262. https://doi.org/10.1128/AEM.00855-10
- Nithya K., Muthukumar C., Biswas B., Alharbi N.S., Kadaikunnan S., Khaled J.M., Dhanasekaran D. Desert actinobacteria as a source of bioactive compounds production with a special emphases on Pyridine-2, 5-diacetamide a new pyridine alkaloid produced by Streptomyces sp. DA3-7 // Microbiol. Res. 2018. V. 207. P. 116–133. https://doi.org/10.1016/j.micres.2017.11.012
- Okoro C.K., Brown R., Jones A.L., Andrews B.A., Asenjo J.A., Goodfellow M., Bull A.T. Diversity of culturable actinomycetes in hyper-arid soils of the Atacama Desert, Chile // Antonie Van Leeuwenhoek. 2009. V. 95. № 2. P. 121–133. https://doi.org/10.1007/s10482-008-9295-2
- Oren A., Garrity G.M. Notification that new names of prokaryotes, new combinations, and new taxonomic opinions have appeared in volume 71, part 10 of the IJSEM // Int. J. Syst. Evol. Microbiol. 2022. V. 72. № 1. P. 005165. https://doi.org/10.1099/ijsem.0.001620
- Osman S., Peeters Z., La Duc M.T., Mancinelli R., Ehrenfreund P., Venkateswaran K. Effect of shadowing on survival of bacteria under conditions simulating the Martian atmosphere and UV radiation // Appl. Environ. Microbiol. 2008. V. 74. № 4. P. 959–970. https://doi.org/10.1128/AEM.01973-07
- Pascual I., Antolín M.C., García C., Polo A., Sánchez–Díaz M. Effect of water deficit on microbial characteristics in soil amended with sewage sludge or inorganic fertilizer under laboratory conditions // Bioresour. Technol. 2007. V. 98. № 1. P. 29–37. https://doi.org/10.1016/j.biortech.2005.11.026
- Patel S., Jinal H.N., Amaresan N. Isolation and characterization of drought resistance bacteria for plant growth promoting properties and their effect on chilli (Capsicum annuum) seedling under salt stress // Biocatal. Agric. Biotechnol. 2017. V. 12. P. 85–89. https://doi.org/10.1016/j.bcab.2017.09.002
- Ramakrishna W., Rathore P., Kumari R., Yadav R. Brown gold of marginal soil: Plant growth promoting bacteria to overcome plant abiotic stress for agriculture, biofuels and carbon sequestration // Sci. Total Environ. 2020. V. 711. P. 135062. https://doi.org/10.1016/j.scitotenv.2019.135062
- Reasoner D.J., Geldreich E.E. A new medium for the enumeration and subculture of bacteria from potable water // Appl. Environ. Microbiol. 1985. V. 49. № 1. P. 1–7. https://doi.org/10.1128/aem.49.1.1-7.1985
- Rebelo Romão I., Rodrigues dos Santos A.S., Velasco L., Martínez–Ferri E., Vilchez J.I., Manzanera M. Seed-Encapsulation of Desiccation-Tolerant Microorganisms for the Protection of Maize from Drought: Phenotyping Effects of a New Dry Bioformulation // Plants. 2022. V. 11. № 8. P. 1024. https://doi.org/10.3390/plants11081024
- Rietz D.N., Haynes R.J. Effects of irrigation-induced salinity and sodicity on soil microbial activity // Soil Biol. Biochem. 2003. V. 35. № 6. P. 845–854. https://doi.org/10.1016/S0038-0717(03)00125-1
- Siebielec S., Siebielec G., Klimkowicz–Pawlas A., Gałązka A., Grządziel J., Stuczyński T. Impact of water stress on microbial community and activity in sandy and loamy soils // Agronomy. 2020. V. 10. № 9. P. 1429. https://doi.org/10.3390/agronomy10091429
- Stanaszek–Tomal E. Environmental factors causing the development of microorganisms on the surfaces of national cultural monuments made of mineral building materials // Coatings. 2020. V. 10. № 12. P. 1203. https://doi.org/10.3390/coatings10121203
- Stevenson A., Burkhardt J., Cockell C.S., Cray J.A., Dijksterhuis J., Fox-Powell M., Hallsworth J.E. Multiplication of microbes below 0.690 water activity: implications for terrestrial and extraterrestrial life // Environ. Microbiol. 2015. V. 17. № 2. P. 257–277. https://doi.org/10.1111/1462-2920.12598
- Stevenson A., Hallsworth J.E. Water and temperature relations of soil Actinobacteria // Environ. Microbiol. Rep. 2014. V. 6. № 6. P. 744–755. https://doi.org/10.1111/1758-2229.12199
- Stevenson A., Hamill P.G., O’Kane C.J., Kminek G., Rummel J.D., Voytek M.A., Hallsworth J.E. Aspergillus penicillioides differentiation and cell division at 0.585 water activity // Environ. Microbiol. 2017. V. 19. № 2. P. 687–697. https://doi.org/10.1111/1462-2920.13597
- Sun Y., Shi Y.L., Wang H., Zhang T., Yu L.Y., Sun H., Zhang Y.Q. Diversity of bacteria and the characteristics of actinobacteria community structure in Badain Jaran Desert and Tengger Desert of China // Front. Microbiol. 2018. V. 9. P. 1068. https://doi.org/10.3389/fmicb.2018.01068
- Warren–Rhodes K.A., Lee K.C., Archer S.D., Cabrol N., Ng-Boyle L., Wettergreen D., Pointing S.B. Subsurface microbial habitats in an extreme desert Mars-analog environment // Front. Microbiol. 2019. V. 69. P. 1–11. https://doi.org/10.3389/fmicb.2019.00069
- Wassmann M., Moeller R., Reitz G., Rettberg P. Adaptation of Bacillus subtilis cells to Archean-like UV climate: relevant hints of microbial evolution to remarkably increased radiation resistance // Astrobiology. 2010. V. 10. № 6. P. 605–615. https://doi.org/10.1089/ast.2009.0455
- Williams J.P., Hallsworth J.E. Limits of life in hostile environments: no barriers to biosphere function? // Environ. Microbiol. 2009. V. 11. № 12. P. 3292–3308. https://doi.org/10.1111/j.1462-2920.2009.02079.x
- Winston P.W., Bates D.H. Saturated solutions for the control of humidity in biological research // Ecology. 1960. V. 41. № 1. P. 232–237. https://doi.org/10.2307/1931961
- Wright P.C., Tanaka T. Physiological modelling of the response of Kocuria rosea exposed to changing water activity // Biotechnol. Lett. 2002. V. 24. № 8. P. 603–609.
- Zenova G.M., Manucharova N.A., Zvyagintsev D.G. Extremophilic and extremotolerant actinomycetes in different soil types // Eurasian Soil Sci. 2011. V. 44. № 4. P. 417–436. https://doi.org/10.1134/S1064229311040132
- Zvyagintsev D.G., Zenova G.M., Sudnitsyn I.I., Gracheva T.A., Lapygina E.V., Napol’skaya K.R., Sydnitsyna A.E. Development of actinomycetes in brown semidesert soil under low water pressure // Eurasian Soil Sci. 2012. V. 45. № 7. P. 717–723. https://doi.org/10.1134/S1064229312030155
- Zvyagintsev D.G., Zenova G.M., Sudnitsyn I.I., Gracheva T.A., Napol’skaya K.R., Belousova M.A. Dynamics of spore germination and mycelial growth of streptomycetes under low humidity conditions // Microbiology. 2009. V. 78. № 4. P. 440–444. https://doi.org/10.1134/S0026261709040079
Дополнительные файлы






