Effect of Moisture on CO2 Flux of the Palsa Mire Soils (North of Western Siberia)
- Authors: Matyshak G.V.1, Chuvanov S.V.2, Goncharova O.Y.1, Trifonova V.A.1, Timofeeva M.V.2, Isaeva A.V.1, Tarkhov M.O.1
-
Affiliations:
- Lomonosov Moscow State University
- Dokuchaev Soil Science Institute
- Issue: No 4 (2023)
- Pages: 450-463
- Section: SOIL PHYSICS
- URL: https://ogarev-online.ru/0032-180X/article/view/138026
- DOI: https://doi.org/10.31857/S0032180X22600810
- EDN: https://elibrary.ru/HNXDLT
- ID: 138026
Cite item
Full Text
Abstract
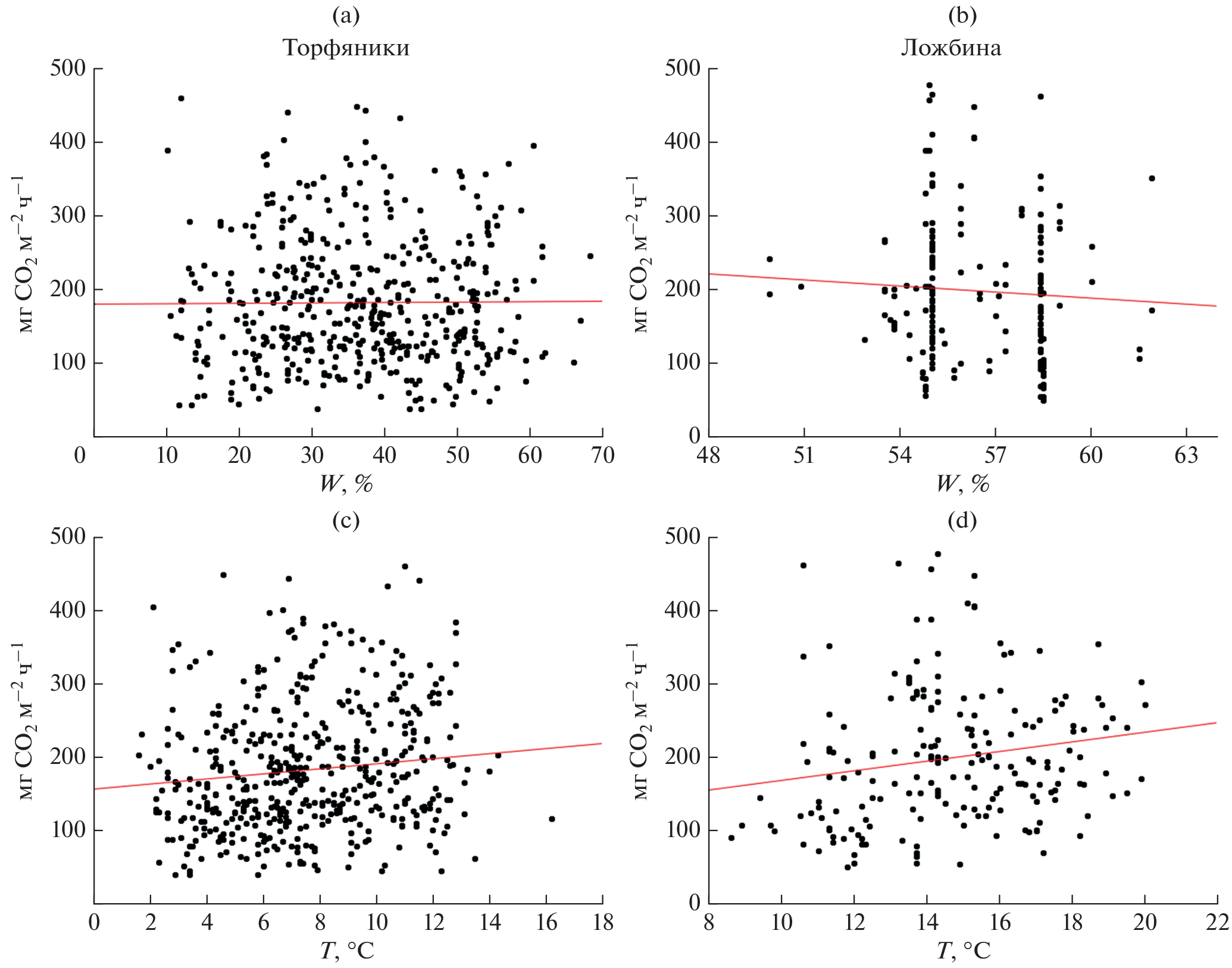
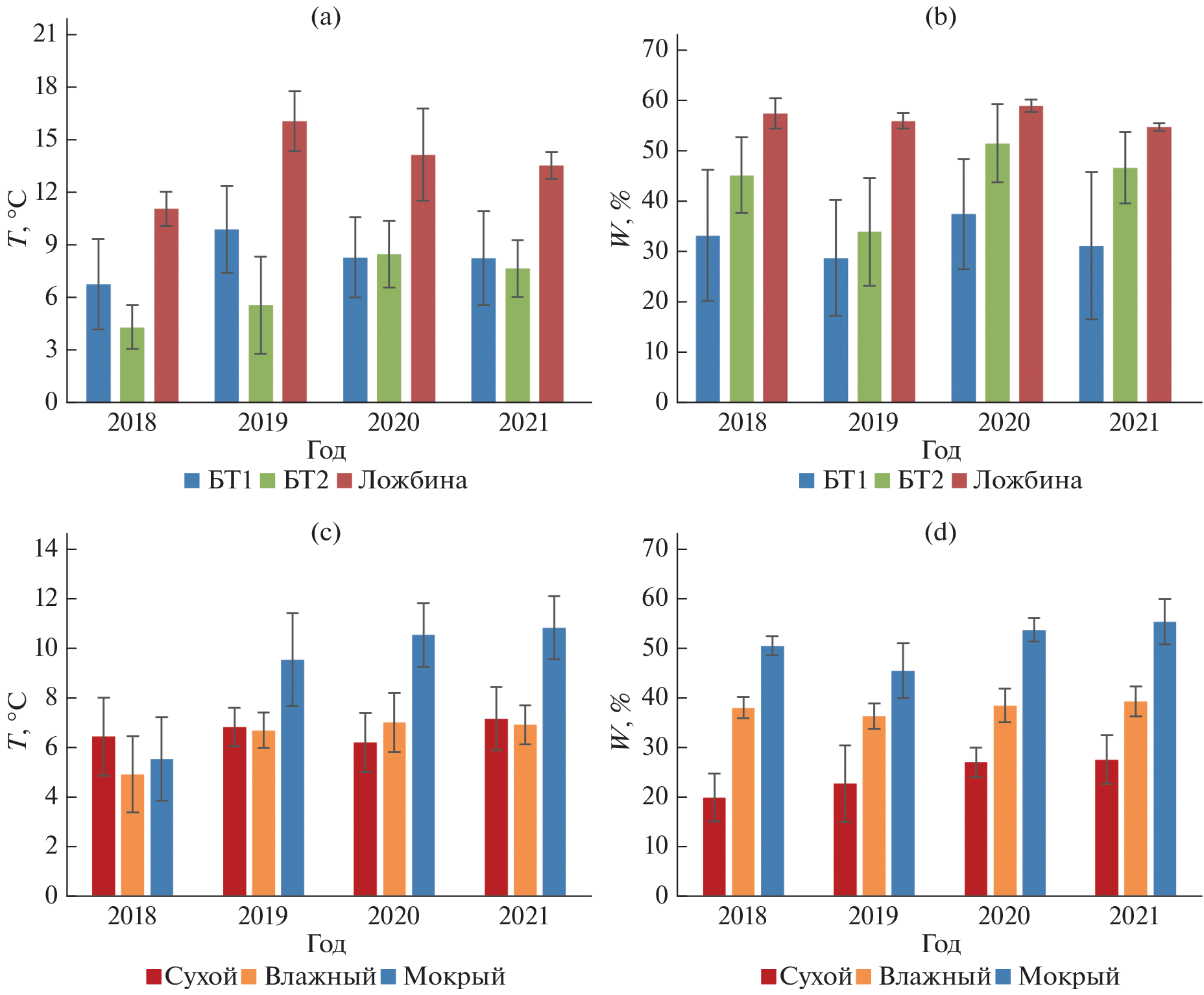
The effect of the moisture content on peat soils has been studied in discontinuous permafrost area in the north of the Western Siberia (Nadym region). СО2 flux was measured in palsa mire soils (Cryic Histosol) and surrounding bogs (Fibric Histosol) using the closed chamber method for 4 years at the peak of the growing season (August). Despite a significant difference in soil moisture (34.8 ± 13.2 and 56.2 ± 2.1% on average), no significant difference in CO2 emission between these ecosystems was found in any of the observation years (on average 199.1 ± 90.1 and 182.1 ± 85.1 mg CO2 m–2 h–1, respectively). Experimental wetting or drying (with two times difference in moisture content) of peat soil plots by transplantation method showed no significant effect on CO2 emission even 3 years after the experiment start. The absence of significant differences in CO2 flux between ecosystems and experiments was explained by the presence of permafrost and the influence of many multidirectional factors mitigating changes in CO2 production by soils. CO2 flux enhancing from the soils of the bog is possible due to the additional contribution of the methanotrophic filter, as well as the lateral runoff of dissolved CO2 over the permafrost table from palsa mire surrounding the bogs. The absence of a response of CO2 emission to a significant change in moisture may indicate a wide optimum of this parameter for microbiological activity in peat soils of the studied region. The results indicate that, in the study of cryogenic soils of hydromorphic landscapes, it is necessary, in addition to biogenic sources, to take into account additional factors, often of a physical nature, that change the balance of CO2 fluxes and CO2 emission by soils, respectively.
About the authors
G. V. Matyshak
Lomonosov Moscow State University
Email: stas.chuvanov@gmail.com
Russia, 119991, Moscow
S. V. Chuvanov
Dokuchaev Soil Science Institute
Author for correspondence.
Email: stas.chuvanov@gmail.com
Russia, 119017, Moscow
O. Yu. Goncharova
Lomonosov Moscow State University
Email: stas.chuvanov@gmail.com
Russia, 119991, Moscow
V. A. Trifonova
Lomonosov Moscow State University
Email: stas.chuvanov@gmail.com
Russia, 119991, Moscow
M. V. Timofeeva
Dokuchaev Soil Science Institute
Email: stas.chuvanov@gmail.com
Russia, 119017, Moscow
A. V. Isaeva
Lomonosov Moscow State University
Email: stas.chuvanov@gmail.com
Russia, 119991, Moscow
M. O. Tarkhov
Lomonosov Moscow State University
Email: stas.chuvanov@gmail.com
Russia, 119991, Moscow
References
- Бобрик А.А., Рыжова И.М., Гончарова О.Ю., Матышак Г.В., Макаров М.И., Волкер Д.А. Эмиссия СО2 и запасы органического углерода в почвах северотаежных экосистем Западной Сибири в различных геокриологических условиях // Почвоведение. 2018. № 6. С. 674–682. https://doi.org/10.1134/S1064229318060042
- Васильевская В.Д., Иванов В.В., Богатырев Л.Г. Почвы севера Западной Сибири. М.: Изд-во МГУ, 1986. 273 с.
- Васильчук Ю.К., Васильчук А.К., Буданцева Н.А., Чижова Ю.Н. Выпуклые бугры пучения многолетнемерзлых торфяных массивов. М.: Изд-во МГУ, 2008. 571 с.
- Глаголев М.В., Коцюрбенко О.Р., Сабреков А.Ф., Литти Ю.В., Терентьева И.Е. Обзор методов определения микробной продукции и эмиссии метана в почвах // Микробиология. 2021. Т. 90. № 1. С. 3–23. https://doi.org/10.1134/S0026261721010057
- Глаголев М.В., Сабреков А.Ф., Казанцев В.С. Физикохимия и биология торфа. Методы измерения газообмена на границе почва–атмосфера. Томск: Изд-во ТГПУ, 2010. 104 с.
- Гончарова О.Ю., Матышак Г.В., Бобрик А.А., Тимофеева М.В., Сефилян А.Р. Оценка вклада корневого и микробного дыхания в общий поток СО2 из торфяных почв и подзолов севера Западной Сибири методом интеграции компонентов // Почвоведение. 2019. № 2. С. 234–245. https://doi.org/10.1134/S1064229319020054
- Дмитриев Е.А. Математическая статистика в почвоведении. М.: Изд-во МГУ, 1995. 320 с.
- Добровольская Т.Г., Головченко А.В., Звягинцев Д.Г., Инишева Л.И., Кураков А.В., Смагин А.В., Зенова Г.М. и др. Функционирование микробных комплексов верховых торфяников-анализ причин медленной деструкции торфа. М.: Товарищество научных изданий КМК, 2013. 128 с.
- Карелин Д.В., Замолодчиков Д.Г. Углеродный обмен в криогенных экосистемах. М.: Наука, 2008. 342 с.
- Кузяков Я.В., Ларионова А.А. Вклад ризомикробного и корневого дыхания в эмиссию СО2 из почвы (обзор) // Почвоведение. 2006. № 7. С. 842–854. https://doi.org/10.1134/S106422930607009X
- Матышак Г.В., Богатырев Л.Г., Гончарова О.Ю., Бобрик А.А. Особенности развития почв гидроморфных экосистем северной тайги Западной Сибири в условиях криогенеза // Почвоведение. 2017. № 10. С. 1155–1164. https://doi.org/10.1134/S1064229317100064
- Матышак Г.В., Тархов М.О., Рыжова И.М., Гончарова О.Ю., Сефилян А.Р., Чуванов С.В., Петров Д.Г. Оценка температурной чувствительности эмиссии СО2 с поверхности торфяных почв севера Западной Сибири методом трансплантации почвенных монолитов // Почвоведение. 2021. № 7. С. 815–826. https://doi.org/10.1134/S1064229321070103
- Мельников Е.С., Тагунова Л.Н., Лазарева Н.А., Москаленко Н.Г. Ландшафты криолитозоны Западно-Сибирской газоносной провинции. Новосибирск: Наука, Сибирское отд., 1983. 165 с.
- Москаленко Н.Г. Изменения криогенных ландшафтов северной тайги Западной Сибири в условиях меняющегося климата и техногенеза // Криосфера Земли. 2012. Т. 16. № 2. С. 38–42.
- Пономарева О.Е., Гравис А.Г., Бердников Н.М. Современная динамика бугров пучения и плоскобугристых торфяников в северной тайге Западной Сибири (на примере Надымского стационара) // Криосфера земли. 2012. Т. 16. № 4. С. 21–30.
- Смагин А.В. Газовая фаза почв. М.: Издательство Московского государственного университета, 2005. 301 с.
- Тимофеева М.В., Гончарова О.Ю., Матышак Г.В., Чуванов С.В. Потоки углерода в экосистеме торфяно-болотного комплекса криолитозоны Западной Сибири // Геосферные исследования. 2022. № 3. С. 109–125. https://doi.org/10.17223/25421379/24/7
- Шишов Л.Л., Тонконогов В.Д., Лебедева И.И., Герасимова М.И. Классификация и диагностика почв России. Смоленск: Ойкумена, 2004. 342 с.
- Chivers M.R., Turetsky M.R., Waddington J.M., Harden J.W., McGuire A.D. Effects of Experimental Water Table and Temperature Manipulations on Ecosystem CO2 Fluxes in an Alaskan Rich Fen // Ecosystems. 2009. V. 12. P. 1329–1342. https://doi.org/10.1007/s10021-009-9292-y
- Fallon P., Jones C.D., Ades M., Paul K. Direct soil moisture controls of future global soil carbon changes: An important source of uncertainty // Global Biogeochemical Cycles. 2011. V. 25. https://doi.org/10.1029/2010GB003938
- Glagolev M., Kleptsova I., Filippov I., Maksyutov S., Machida T. Regional methane emission from West Siberia mire landscapes // Environ. Res. Lett. 2011. V. 6. P. 045214. https://doi.org/10.1088/1748-9326/6/4/045214
- Gritsch C., Zimmermann M., Zechmeister–Boltenstern S. Interdependencies between temperature and moisture sensitivities of CO2 emissions in European land ecosystems // Biogeosciences. 2015. V. 12. P. 5981–5993. https://doi.org/10.5194/bgd-12-4433-2015
- Halbedel S., Koschorreck M. Regulation of CO2 emissions from temperate streams and reservoirs // Biogeosciences. 2013. V. 10. Р. 7539–7551. https://doi.org/10.5194/bg-10-7539-2013
- Hicks Pries C., Schuur E.A., Vogel J., Natali S. Moisture drives surface decomposition in thawing tundra // J. Geophys. Res.: Biogeosciences. 2013. V. 118. P. 1133–1143. https://doi.org/10.1002/jgrg.20089
- Howard D., Howard P.J. Relationships between CO2 evolution, moisture content and temperature for a range of soil types // Soil Biol. Biochem. 1993. V. 25. P. 1537–1546. https://doi.org/10.1016/0038-0717(93)90008-Y
- Hugelius G., Strauss J., Zubrzycki S., Harden J.W., Schuur E.A.G., Ping C.-L., Schirrmeister L. et al. Estimated stocks of circumpolar permafrost carbon with quantified uncertainty ranges and identified data gaps // Biogeosciences. 2014. V. 11. P. 6573–6593. https://doi.org/10.5194/bg-11-6573-2014
- Kirpotin S., Polishchuk Y., Bryksina N., Sugaipova A., Kouraev A., Zakharova E., Pokrovsky O.S. et al. West Siberian palsa peatlands: distribution, typology, cyclic development, present day climate-driven changes, seasonal hydrology, and impact on CO2 cycle // Int. J. Environ. Studies. 2011. V. 68. P. 603–623. https://doi.org/10.1080/00207233.2011.593901
- Lai D.Y.F. Methane Dynamics in Northern Peatlands: A Review // Pedosphere. 2009. V. 19. P. 409–421. https://doi.org/10.1016/S1002-0160(09)00003-4
- Lai D.Y.F., Roulet N.T., Humphreys E.R., Moore T.R., Dalva M. The effect of atmospheric turbulence and chamber deployment period on autochamber CO2 and CH4 flux measurements in an ombrotrophic peatland // Biogeosciences. 2012. V. 9. P. 3305–3322. https://doi.org/10.5194/bg-9-3305-2012
- Lawrence D.M., Koven C.D., Swenson S.C., Riley W.J., Slater A.G. Permafrost thaw and resulting soil moisture changes regulate projected high-latitude CO2 and CH4 emissions // Environ. Res. Lett. 2015. V. 10. P. 094011. https://doi.org/10.1088/1748-9326/10/9/094011
- Moyano F.E., Vasilyeva N., Bouckaert L., Cook F., Craine J., Curiel Yuste J., Don A. et al. The moisture response of soil heterotrophic respiration: interaction with soil properties // Biogeosciences. 2012. V. 9. P. 1173–1182. https://doi.org/10.5194/bg-9-1173-2012
- Natali S.M., Schuur E.A.G., Mauritz M., Schade J.D., Celis G., Crummer K.G., Johnston C. et al. Permafrost thaw and soil moisture driving CO2 and CH4 release from upland tundra // J. Geophys. Res.: Biogeosciences. 2015. V. 120. P. 525–537. https://doi.org/10.1002/2014JG002872
- Nielsen C.S., Hasselquist N.J., Nilsson M.B., Öquist M., Järveoja J., Peichl M.A. Novel Approach for High-Frequency in-situ Quantification of Methane Oxidation in Peatlands // Soil Systems. 2018. V. 3. P. 4. https://doi.org/10.3390/soilsystems3010004
- Nykänen H., Heikkinen J.E.P., Pirinen L., Tiilikainen K., Martikainen P.J. Annual CO2 exchange and CH4 fluxes on a subarctic palsa mire during climatically different years // Global Biogeochemical Cycle. 2003. V. 17. P. 1. https://doi.org/10.1029/2002GB001861
- O’Donnell J.A., Torre Jorgenson M., Harden J.W., McGuire A.D., Kanevskiy M.Z., Wickland K.P. The Effects of Permafrost Thaw on Soil Hydrologic, Thermal, and Carbon Dynamics in an Alaskan Peatland // Ecosystems. 2012. V. 15. P. 213–229. https://doi.org/10.1007/s10021-011-9504-0
- Olefeldt D., Roulet N.T. Effects of permafrost and hydrology on the composition and transport of dissolved organic carbon in a subarctic peatland complex // J. Geophysical Res.: Biogeosciences. 2012. V. 117. P. G01005. https://doi.org/10.1029/2011JG001819
- Olvmo M., Holmer B., Thorsson S., Reese H., Lindberg F. Sub-arctic palsa degradation and the role of climatic drivers in the largest coherent palsa mire complex in Sweden (Vissátvuopmi), 1955–2016 // Scientific Rep. 2020. V. 10. P. 8937. https://doi.org/10.1038/s41598-020-65719-1
- Rey A. Mind the gap: non-biological processes contributing to soil CO2 efflux // Global Change Biology. 2015. V. 21. P. 1752–1761. https://doi.org/10.1111/gcb.12821
- Schaefer K., Zhang T., Bruhwiler L., Barrett A.P. Amount, and timing of permafrost carbon release in response to climate warming // Tellus B: Chemical and Physical Meteorology. 2011. V. 63. P. 165–180. https://doi.org/10.1111/j.1600-0889.2011.00527.x
- Schuur E.A., McGuire A.D., Schädel C., Grosse G., Harden J.W., Hayes D.J., Hugelius G. et al. Climate change and the permafrost carbon feedback // Nature. 2015. V. 520. P. 171–179. https://doi.org/10.1038/nature14338
- Sjögersten S., Wal R., Woodin S.J. Small-scale hydrological variation determines landscape CO2 fluxes in the high Arctic // Biogeochemistry. 2006. V. 80. P. 205–216. https://doi.org/10.1007/s10533-006-9018-6
- Tarnocai C., Canadell J.G., Schuur E.A.G., Kuhry P., Mazhitova G., Zimov S. Soil organic carbon pools in the northern circumpolar permafrost region // Global Biogeochemical Cycles. 2009. V. 23. P. GB2023. https://doi.org/10.1029/2008GB003327
- Voigt C., Lamprecht R.E., Marushchak M.E., Lind S.E., Novakovskiy A., Aurela M., Martikainen P.J., Biasi C. Warming of subarctic tundra increases emissions of all three important greenhouse gases – carbon dioxide, methane, and nitrous oxide // Global Change Biology. 2017. V. 23. P. 3121–3138. https://doi.org/10.1111/gcb.13563
- Voigt C., Marushchak M.E., Mastepanov M., Lamprecht R.E., Christensen T.R., Dorodnikov M., Jackowicz–Korczyński M., Lindgren A., Lohila A., Nykänen H., Oinonen M., Oksanen T., Palonen V., Treat C.C., Martikainen P.J., Biasi C. Ecosystem carbon response of an Arctic peatland to simulated permafrost thaw // Global Change Biology. 2019. V. 25. P. 1746–1764. https://doi.org/10.1111/gcb.14574
- IUSS Working Group WRB 2015. World Reference Base for Soil Resources 2014, update 2015 International soil classification system for naming soils and creating legends for soil maps. World Soil Resources Reports No. 106. FAO, Rome. 2015. P. 192.
- IPCC, 2013: Climate Change 2013: The Physical Science Basis. Contribution of Working Group I to the Fifth Assessment Report of the Intergovernmental Panel on Climate Change. Cambridge: Cambridge University Press, P. 1535.
Supplementary files








