Thermal Diffusivity of Peat-Sand Mixtures with Different Peat and Sand Contents
- Authors: Arkhangelskaya T.A.1, Telyatnikova E.V.1
-
Affiliations:
- Lomonosov Moscow State University
- Issue: No 4 (2023)
- Pages: 443-449
- Section: SOIL PHYSICS
- URL: https://ogarev-online.ru/0032-180X/article/view/138025
- DOI: https://doi.org/10.31857/S0032180X22601244
- EDN: https://elibrary.ru/HOJKQH
- ID: 138025
Cite item
Full Text
Abstract
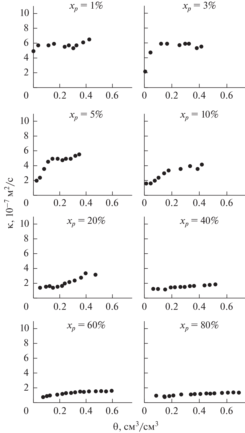
The thermal diffusivity of screened quarry sand with a predominance of a fraction of 0.05–0.25 mm, lowland packed peat, and their mixtures was studied. Sand was mixed with peat in various proportions; the content of peat in mixtures ranged from 1 to 80% by dry weight. Metal cylinders 10 cm high and 3.8 cm in diameter were filled with sand, peat, and peat-sand mixtures. The thermal diffusivity was measured in the laboratory using the unsteady-state method with a working temperature range of 20–26°C. The heating rate of the packed samples was measured after the samples were placed in a liquid thermostat with a constant water temperature. For each sample, a series of measurements was carried out with a step-by-step change in water content from the maximum one after capillary saturation of the sample to the minimum one, corresponding to the air-dry state. The thermal diffusivity vs. water content dependence was almost linear for peat, and for sand it was a curve with a maximum. The lowest thermal diffusivity was obtained for peat and mixtures with low sand contents; the highest one – for pure sand. Within the studied range of water contents, the thermal diffusivity of different samples changed by a factor of 1.3–2.8. The non-linear character of the thermal diffusivity vs. peat content dependence was discovered. Small additions of peat to sand resulted in a noticeable decrease in the thermal diffusivity of the mixture; small additions of sand to peat had practically no effect on thermal diffusivity. The thermal diffusivity of the studied substrates increased with increasing sample bulk density and sand content; decreased with increasing organic matter content.
Keywords
About the authors
T. A. Arkhangelskaya
Lomonosov Moscow State University
Author for correspondence.
Email: arhangelskaia@gmail.com
Russia, 119991, Moscow
E. V. Telyatnikova
Lomonosov Moscow State University
Email: arhangelskaia@gmail.com
Russia, 119991, Moscow
References
- Архангельская Т.А. Параметры зависимости температуропроводности минеральных почв от влажности для различных текстурных классов // Почвоведение. 2020. № 1. С. 44–55. https://doi.org/10.31857/S0032180X20010037
- Архангельская Т.А. Температуропроводность серых лесных почв Владимирского ополья // Почвоведение. 2004. № 3. С. 332–342.
- Архангельская Т.А., Губер А.К., Мазиров М.А., Прохоров М.В. Температурный режим комплексного почвенного покрова Владимирского ополья // Почвоведение. 2005. № 7. С. 832–843.
- Зайдельман Ф.Р., Батраков А.С., Шваров А.П. Изменение физических свойств осушенных торфяных почв после внесения песка разными способами // Почвоведение. 2005. № 2. С. 218–231.
- Зайдельман Ф.Р., Шваров А.П., Банников М.В., Павлова Е.Б. Влияние разных способов внесения песка в осушенные торфяные почвы на их гидротермический режим // Почвоведение. 1995. № 8. С. 969–976.
- Казакевич П.П. Мелиоративная вспашка торфяников и обоснование основных параметров двухъярусного плуга // Proc. of the National Acad. of Sci. of Belarus, agrarian series. 2019. V. 57(4). P. 470–480.
- Когут Б.М., Большаков В.А., Фрид А.С., Краснова Н.М., Бродский Е.С., Кулешов В.И. Аналитическое обеспечение мониторинга гумусового состояния почв. М.: Изд-во РАСХН, 1993. 73 с.
- Куликов Я.К., Гаевский Е.Е. Торфование и землевание почв как научное направление в биоорганическом земледелии // Экологическая культура и охрана окружающей среды. Мат-лы междунар. науч.-пр. конф. Витебск, 2013. С. 270–273.
- Сологуб Н.С. Торфование легких почв как способ защиты их от деградации // Актуальные проблемы экологии. Мат-лы VII междунар. науч.-пр. конф. Гродно, 2012. С. 162.
- Сусленкова М.М. Структурно-функциональная организация модельных конструктоземов разного строения в условиях г. Москвы. Дис. канд. … биол. наук. М., 2019. 147 с.
- Сусленкова М.М., Умарова А.Б., Бутылкина М.А. Микроструктура почв разного генезиса и ее трансформация в составе конструктоземов в условиях г. Москвы // Почвоведение. 2018. № 10. С. 1265–1273. https://doi.org/10.1134/S0032180X1810012X
- Теории и методы физики почв / Под ред. Шеина Е.В., Карпачевского Л.О. М.: Гриф и К, 2007. 616 с.
- Якобюк Л.И., Еремина Д.В., Еремин М.Д. Создание искусственного почвогрунта с использованием оптимизационной модели плодородия черноземных почв // АПК России. 2017. Т. 24. № 2. С. 360–365.
- Arkhangelskaya T.A., Gvozdkova A.A. Thermal diffusivity of peat-sand mixtures at different water contents // IOP Conf. Ser.: Earth Environ. Sci. 2019. V. 368. P. 012005. https://doi.org/10.1088/1755-1315/368/1/012005
- Parikh R.J., Havens J.A., Scott H.D. Thermal diffusivity and conductivity of moist porous media // Soil Sci. Soc. Am. J. 1979. V. 43. P. 1050–1052.
- Schumacher B.A. Methods for the determination of total organic carbon (toc) in soils and sediments. Las Vegas: Ecological Risk Assessment Support Center, 2002. 26 p.
- Walczak R., Rovdan E., Witkowska-Walczak B. Water retention characteristics of peat and sand mixtures // Int. Agrophys. 2002. V. 16. P. 161–165.
- Witkowska-Walczak B., Bieganowski A., Rovdan E. Water-air properties in peat, sand and their mixtures // Int. Agrophys. 2002. V. 16. P. 313–318.
- Zhao Y., Si B. Thermal properties of sandy and peat soils under unfrozen and frozen conditions // Soil Till. Res. 2019. V. 189. P. 64–72.
Supplementary files







