Internal Waves Generated by the Inflow of the Kodor River in the Black Sea
- Authors: Serebryany A.N.1,2, Khimchenko E.E.1, Goncharov V.V.1, Tarasov L.L.2, Popov O.E.3, Belov D.V.1, Neshenko I.P.4
-
Affiliations:
- Shirshov Institute оf Oceanology, Russian Academy of Sciences
- Andreyev Acoustics Institute
- Obukhov Institute of Atmospheric Physics, Russian Academy of Sciences
- Institute of Ecology of the Academy of Sciences of Abkhazia
- Issue: Vol 63, No 6 (2023)
- Pages: 899-915
- Section: Физика моря
- URL: https://ogarev-online.ru/0030-1574/article/view/162308
- DOI: https://doi.org/10.31857/S0030157423060138
- EDN: https://elibrary.ru/QIOUIV
- ID: 162308
Cite item
Full Text
Abstract
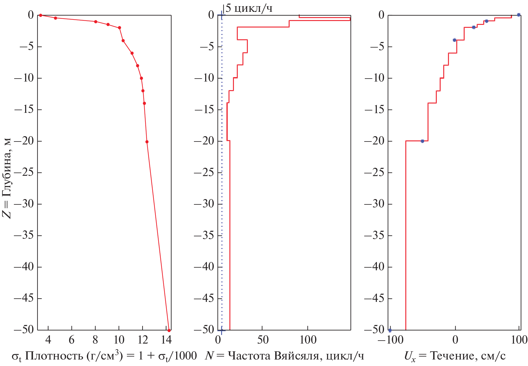
The results of studies of internal waves in the shelf zone of the Black Sea in the water area near the mouth of the Kodor River, conducted in June 2021, are presented. Spatial surveys were carried out with ADCP “Rio Grande 600 kHz”, which revealed the main characteristics of currents and the presence of internal waves generated by the river inflow in to the sea. Internal waves were recorded in two sections oriented along the normal to the coastline and extending to depths of 100 m. The observed waves had the features of nonlinear waves, were located on the near-surface thermocline, and had a height of up to 3–6 m. Also short-period internal waves in the form of a train of waves with an apparent period of about 3.5 min were recorded by a chain of thermistors in the coastal zone of the sea. The dispersion curves and eigenfunctions of internal waves were calculated by numerically solving the equation of internal waves, taking into account the velocity shift in the sea. Theoretical data are compared with experimental ones. A significant influence of the river inflow on the parameters of the generated internal waves moving with the flow was revealed. The experimentally observed decrease in wave periods and an increase in their group and phase velocities were confirmed.
Keywords
About the authors
A. N. Serebryany
Shirshov Institute оf Oceanology, Russian Academy of Sciences; Andreyev Acoustics Institute
Author for correspondence.
Email: serebryany53@list.ru
Russia, Moscow; Russia, Moscow
E. E. Khimchenko
Shirshov Institute оf Oceanology, Russian Academy of Sciences
Email: serebryany53@list.ru
Russia, Moscow
V. V. Goncharov
Shirshov Institute оf Oceanology, Russian Academy of Sciences
Email: serebryany53@list.ru
Russia, Moscow
L. L. Tarasov
Andreyev Acoustics Institute
Email: serebryany53@list.ru
Russia, Moscow
O. E. Popov
Obukhov Institute of Atmospheric Physics, Russian Academy of Sciences
Email: serebryany53@list.ru
Russia, Moscow
D. V. Belov
Shirshov Institute оf Oceanology, Russian Academy of Sciences
Email: serebryany53@list.ru
Russia, Moscow
I. P. Neshenko
Institute of Ecology of the Academy of Sciences of Abkhazia
Email: serebryany53@list.ru
Abkhazia, Sukhum
References
- Бондур В.Г., Серебряный А.Н., Замшин В.В. Аномальный цуг внутренних волн рекордных высот на шельфе Черного моря, генерируемый атмосферным фронтом // Доклады АН. 2018. Т. 483. № 4. С. 431–436.
- Гончаров В.В., Лейкин И.А. Волны на течении со сдвигом скорости // Океанология. 1983. Т. 23. № 2. С. 210–216.
- Иванов В.А., Серебряный А.Н. Внутренние волны на мелководном шельфе бесприливного моря // Изв. АН СССР. Физика атмосферы и океана. 1983. Т. 19. № 6. С. 661–665.
- Кацнельсон Б.Г., Переселков С.А., Петников В.Г. и др. Акустические эффекты, обусловленные интенсивными внутренними волнами на шельфе // Акустический журнал. 2001. Т. 47. № 4. С. 494–500.
- Миропольский Ю.З. Динамика внутренних гравитационных волн в океане. – Л.: Гидрометеоиздат, 1981. 304 с.
- Митягина М.И., Лаврова О.Ю. Вихревые структуры и волновые процессы в прибрежной зоне северо-восточной части Черного моря, выявленные в ходе спутникового мониторинга // Современные проблемы дистанционного зондирования Земли из космоса. 2008. Т. 5. № 2. С. 155–164.
- Монин А.С., Красицкий В.П. Явления на поверхности океана. – Л.: Гидрометеоиздат, 1985. 376 с.
- Осадчиев А.А., Барымова А.А., Седаков Р.О. и др. Гидрофизическая структура и динамика течения плюма р. Кодор // Океанология. 2021. Т. 61. № 1. С. 5–20.
- Полухин А.А., Заговенкова А.Д., Хлебопашев П.В. и др. Гидрохимический состав стока рек Абхазии и особенности его трансформации в прибрежной зоне // Океанология. 2021. Т. 61. № 1. С. 21–31.
- Сабинин К.Д., Серебряный А.Н. “Горячие точки” в поле внутренних волн в океане // Акустический журнал. 2007. Т. 53. № 3. С. 410–436.
- Сабинин К.Д., Серебряный А.Н., Назаров А.А. Интенсивные внутренние волны в Мировом океане // Океанология. 2004. Т. 44. № 6. С. 805–810.
- Серебряный А.Н. Наблюдение на шельфе Черного моря внутренних волн больших амплитуд, сгенерированных антициклоническим вихрем // Сборник тезисов Восьмой всероссийской открытой конференции “Современные проблемы дистанционного зондирования Земли из космоса”. М.: ИКИ РАН, 2010. С. 205–206. https://doi.org/10.1080/16000870.2019.1652881
- Серебряный А.Н. Яхтенная океанология: 15-летний опыт исследований на шельфе // Материалы XVII международной научно-технической конференции “Современные методы и средства океанологических исследований (МСОИ-2021)”. Том 1. М.: ИО РАН, 2021. С. 135–138.
- Серебряный А.Н. Столкновение течений – новый механизм генерации внутренних волн в море // Доклады РАН. Науки о Земле. 2022. Т. 506. № 2. С. 265–269.
- Серебряный А.Н., Кенигсбергер Г.В., Елистратов В.П. и др. Акустическая диагностика гидрофизической изменчивости на абхазском шельфе Черного моря // Ученые записки физического факультета МГУ. 2017. Т. 5. С. 1750130.
- Серебряный А.Н., Тарасов Л.Л., Кенигсбергер Г.В. Вброс взвешенного вещества рекой Кодор на шельф Черного моря по данным ADCP // Геология морей и океанов: Материалы XXIII Международной научной конференции (Школы) по морской геологии. Т. III. М.: ИО РАН, 2019. С. 85–89.
- Серебряный А.Н., Фурдуев А.В., Аредов А.А., Охрименко Н.Н. Генерация подводного шума сулоем внутренней волны большой амплитуды в океане // Акустический журнал. 2022.Т. 68. № 3. С. 312–322.
- Серебряный А.Н., Химченко Е.Е. Замшин В.В. Генерация внутренних волн субмезомасштабным вихрем у мыса Святой Нос в Баренцевом море // Доклады РАН. Науки о Земле. 2023. Т. 508. № 1. С. 115–121.
- Химченко Е.Е., Серебряный А.Н. Внутренние волны на кавказском и крымском шельфах Черного моря (по летне-осенним наблюдениям 2011–2016 гг.) // Океанологические исследования. 2018. № 2. С. 69–87.
- Apel J.R., Holbrook J.R., Tsai J., Liu A.K. The Sulu Sea internal soliton experiment // J. Phys. Oceanogr. 1985. V. 15. № 12. P. 1625–1651.
- Colosi J.A., Duda T.F., Lin Y.T. et al. Observations of sound-speed fluctuations on the New Jersey continental shelf in the summer of 2006 // The Journal of the Acoustical Society of America. 2012. V. 131. № 2. P. 1733–1748.
- Guo C., Chen X. A review of internal solitary wave dynamics in the northern South China Sea // Progress in Oceanography. 2014. V. 121. P. 7–23.
- Holloway P.E. Internal hydraulic jumps and solitons at a shelf break region on the Australian North West shelf // J. Geophys. Res. 1987. V. 92 (C5). P. 5405–5416.
- Huang X., Chen Z., Zhao W. et al. An extreme internal solitary wave event observed in the northern South China Sea // Scientific reports. 2016. V. 6. P. 30041.
- Jackson C.R., Apel J. An atlas of internal solitary-like waves and their properties // Contract. 2004. [Электронный ресурс] URL: http://www.internalwaveatlas.com/Atlas2_index.html
- Johannessen O.M., Sandven S., Chunchuzov I P., Shuchman R.A. Observations of internal waves generated by an anticyclonic eddy: a case study in the ice edge region of the Greenland Sea // Tellus A: Dynamic Meteorology and Oceanography. 2019. V. 71. № 1. P. 1652881.
- Konyaev K.V., Sabinin K.D., Serebryany A.N. Large-amplitude internal waves near Mascarene Ridge in the Indian Ocean // Deep-Sea Research I. 1995. V. 42. № 11/12. P. 2075–2091.
- Koohestani K., Stepanyants Y., Allahdadi M.N. Analysis of internal solitary waves in the Gulf of Oman and sources responsible for their generation // Water. 2023. V. 15. P. 746. https://doi.org/10.3390/w15040746
- Lynch J.F., Lin Y.T., Duda T.F., Newhall A.E. Acoustic ducting, reflection, refraction, and dispersion by curved nonlinear internal waves in shallow water // IEEE Journal of Oceanic Engineering. 2010. V. 35. № 1. P. 12–27.
- Mikryukov A., Popov O., Serebryany A. Acoustical observation of internal waves on the shelf of the Black Sea // Hydroacoustics. Annual Journal. 2009. № 12. P. 153–158.
- Morozov E.G. Semidiurnal internal wave global field // Deep Sea Research I. 1995. V. 42. № 1. P. 135–148.
- Nash J., Moum J. River plums as a source of large-amplitude internal waves in the coastal ocean // Nature. 2005. V. 437. № 7057. P. 400–403.
- Osborne A.R., Burch T.L. Internal solitons in the Andaman Sea // Science. 1980. V. 208. № 4443. P. 451–460.
- Pinkel R., Merrifield M., McPhaden M. et al. Solitary waves in the western Equatorial Pacific Ocean // Geophys. Res. Letters. 1997. V. 24. № 13. P. 1603–1606.
- Ramp S.R., Tang T. Y., Duda T.F. et al. Internal solitons in the northeastern South China Sea. Part I: Sources and deep water propagation // IEEE Journal of Oceanic Engineering. 2004. V. 29. № 4. P. 1157–1181.
- Serebryanyy A. Processes responsible for the generation of internal solitons on a shelf: experimental evidences // EGU General Assembly Conference Abstracts. 2022. P. EGU22-6963.
- Serebryany A., Khimchenko E., Popov O. et al. Internal waves study on a narrow steep shelf of the Black Sea using the spatial antenna of line temperature sensors // Journal of Marine Science and Engineering. 2020. V. 8. P. 833. https://doi.org/10.3390/jmse8110833
- Serebryany A., Khimchenko E., Zamshin V., Popov O. Features of the field of internal waves on the Abkhazian shelf of the Black Sea according to remote sensing data and in-situ measurements // Journal of Marine Science and Engineering. 2022. V. 10. № 10. P. 1342. https://doi.org/10.3390/jmse10101342
Supplementary files




















