Открытие новых гидротермальных рудных полей “Коралловое” (13°07′ с.ш.) и “Молодежное” (13°09′ с.ш.) в пределах Срединно-Атлантического хребта
- Авторы: Маковиз А.М.1,2, Бич А.С.3, Степанова М.С.3, Каминский Д.В.1, Скаковский В.Л.1, Добрецова И.Г.1, Крюков Д.А.1, Жидков З.В.1,4, Шипов Р.В.1, Наркевский Е.В.1, Черкашев Г.А.3,2, Сергеева И.А.1,2, Мусатов А.Е.1, Савин А.С.1
-
Учреждения:
- АО “Полярная морская геологоразведочная экспедиция” (АО “Росгеология”)
- Санкт-Петербургский государственный университет, Институт Наук о Земле
- ФГБУ ВНИИОкеангеология им. И.С. Грамберга
- Зоологический институт Российской академии наук
- Выпуск: Том 63, № 1 (2023)
- Страницы: 124-134
- Раздел: Морская геология
- URL: https://ogarev-online.ru/0030-1574/article/view/136229
- DOI: https://doi.org/10.31857/S0030157423010070
- EDN: https://elibrary.ru/AHDAWN
- ID: 136229
Цитировать
Полный текст
Аннотация
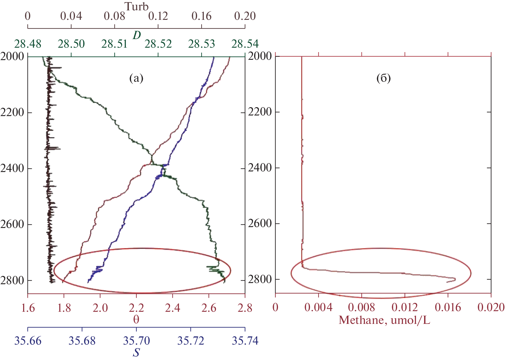
В ходе выполнения 41-ого рейса НИС “Профессор Логачев” в 2019 г. в пределах Российского Разведочного района на Срединно-Атлантическом хребте открыты два новых рудных поля. Рудное поле “Коралловое” расположено в срединной части борта рифтовой долины и залегает на пологом участке склона в интервале глубин 2800–2850 м. Рудное поле “Молодежное” расположено на расстоянии около 5 км к северо-востоку от поля “Коралловое” и залегает на менее крутом участке склона в интервале глубин 3500–3550 м. Поля “Коралловое” и “Молодежное” приурочены к выходу массива габбро-перидотитов на западном борту рифтовой долины Срединно-Атлантического хребта. Общее количество открытых рудных полей в Российском Разведочном районе увеличено до 14 объектов.
Об авторах
А. М. Маковиз
АО “Полярная морская геологоразведочная экспедиция” (АО “Росгеология”); Санкт-Петербургский государственный университет, Институт Наук о Земле
Автор, ответственный за переписку.
Email: makoviz77@gmail.com
Россия, Санкт-Петербург; Россия,
Санкт-Петербург
А. С. Бич
ФГБУ ВНИИОкеангеология им. И.С. Грамберга
Email: alexejmusatov@yandex.ru
Россия, Санкт-Петербург
М. С. Степанова
ФГБУ ВНИИОкеангеология им. И.С. Грамберга
Email: alexejmusatov@yandex.ru
Россия, Санкт-Петербург
Д. В. Каминский
АО “Полярная морская геологоразведочная экспедиция” (АО “Росгеология”)
Email: alexejmusatov@yandex.ru
Россия, Санкт-Петербург
В. Л. Скаковский
АО “Полярная морская геологоразведочная экспедиция” (АО “Росгеология”)
Email: alexejmusatov@yandex.ru
Россия, Санкт-Петербург
И. Г. Добрецова
АО “Полярная морская геологоразведочная экспедиция” (АО “Росгеология”)
Email: alexejmusatov@yandex.ru
Россия, Санкт-Петербург
Д. А. Крюков
АО “Полярная морская геологоразведочная экспедиция” (АО “Росгеология”)
Email: alexejmusatov@yandex.ru
Россия, Санкт-Петербург
З. В. Жидков
АО “Полярная морская геологоразведочная экспедиция” (АО “Росгеология”); Зоологический институт Российской академии наук
Email: alexejmusatov@yandex.ru
Россия, Санкт-Петербург; Россия,
Санкт-Петербург
Р. В. Шипов
АО “Полярная морская геологоразведочная экспедиция” (АО “Росгеология”)
Email: alexejmusatov@yandex.ru
Россия, Санкт-Петербург
Е. В. Наркевский
АО “Полярная морская геологоразведочная экспедиция” (АО “Росгеология”)
Email: alexejmusatov@yandex.ru
Россия, Санкт-Петербург
Г. А. Черкашев
ФГБУ ВНИИОкеангеология им. И.С. Грамберга; Санкт-Петербургский государственный университет, Институт Наук о Земле
Email: alexejmusatov@yandex.ru
Россия, Санкт-Петербург; Россия,
Санкт-Петербург
И. А. Сергеева
АО “Полярная морская геологоразведочная экспедиция” (АО “Росгеология”); Санкт-Петербургский государственный университет, Институт Наук о Земле
Email: alexejmusatov@yandex.ru
Россия, Санкт-Петербург; Россия,
Санкт-Петербург
А. Е. Мусатов
АО “Полярная морская геологоразведочная экспедиция” (АО “Росгеология”)
Автор, ответственный за переписку.
Email: alexejmusatov@yandex.ru
Россия, Санкт-Петербург
А. С. Савин
АО “Полярная морская геологоразведочная экспедиция” (АО “Росгеология”)
Email: alexejmusatov@yandex.ru
Россия, Санкт-Петербург
Список литературы
- Бельтенев В.Е., Лазарева Л.И., Черкашев Г.А. и др. Новые гидротермальные рудные поля на Срединно-Атлантическом хребте: Юбилейное (20°09′ с.ш.) и Сюрприз (20°45.4′ с.ш.) // Докл. РАН. 2017. Т. 476. № 3. С. 305–310.
- Порошина И.М., Черкашев Г.А. Морфотектоническое строение и сегментация северной приэкваториальной части Срединно-Атлантического хребта (Российский Разведочный Район) // Мировой океан. Т. III. Твердые полезные ископаемые и газовые гидраты в океане / Под ред. Лобковского Л.И., Черкашева Г.А. М.: Научный мир, 2018. С. 60–75.
- Черкашев Г.А. Степанова Т., Андреев С. и др. Рудные объекты в пределах Российского Разведочного Района в северной приэкваториальной части Срединно-Атлантического хребта // Мировой океан. Т. III. Твердые полезные ископаемые и газовые гидраты в океане / Под ред. Л.И. Лобковского, Г.А. Черкашева. М.: Научный мир, 2018. С. 90–121.
- Черкашев Г.А., Иванов В.Н., Бельтенев В.Е. и др. Сульфидные руды северной приэкваториальной части Срединно-Атлантического хребта // Океанология. 2013. Т. 53 № 5. С. 680–693.
- Escartín J., Smith D.K., Cann J. et al. Central role of detachment faults in accretion of slow-spreading oceanic lithosphere // Nature. 2008. V. 455(7214). P. 790–794.
- Fouquet Y., Cambon P., Etoubleau J. et al. Geodiversity of hydrothermal processes along the Mid-Atlantic Ridge and ultramafic hosted mineralization: a new type of oceanic Cu–Zn–Co–Au volcanogenic massive sulfide deposit // Diversity of submarine hydrothermal systems on slow spreading ocean ridges. Geophys. Monogr. 2010. V. 188. P. 297–320.
- Gage J., Tyler P. Deep-Sea Biology: A Natural History of Organisms at the Deep-Sea Floor. Cambridge: Cambridge University Press, 1991. 520 p.
- German C.R., Petersen S., Hannington M.D. Hydrothermal exploration of mid-ocean ridges: Where might the largest sulfide deposits be forming? // Chemical Geology. 2016. V. 420. P. 114–126.
- MacLeod C.J., Searle R.C., Murton B.J. et al. Life cycle of oceanic core complexes // Earth and Planetary Science Letters. 2009. V. 287. P. 333–344.
- Smith D.K., Escartín J., Schouten H. et al. Fault rotation and core complex formation: Significant processes in seafloor formation at slow-spreading mid-ocean ridges (Mid-Atlantic Ridge, 13°–15° N) // Geochemistry, Geophysics, Geosystems. 2008. V. 9 (3). P. 1–23.
- Smith D.K., Cann J.R., Escartín J. Widespread active detachment faulting and core complex formation near 13° N on the Mid-Atlantic Ridge // Nature. 2006. V. 442 (7101). P. 440–443.
Дополнительные файлы










