Функциональные присадки к смазочным материалам: опыт и компетенции ИНХС РАН (обзор)
- Authors: Лядов А.С.1, Кочубеев А.А.1, Бордубанова Е.Г.1, Оганесова Э.Ю.1, Паренаго О.П.1
-
Affiliations:
- Институт нефтехимического синтеза им. А.В. Топчиева РАН
- Issue: Vol 64, No 4 (2024)
- Pages: 304-316
- Section: Articles
- URL: https://ogarev-online.ru/0028-2421/article/view/280345
- DOI: https://doi.org/10.31857/S0028242124040022
- EDN: https://elibrary.ru/MVSRAQ
- ID: 280345
Cite item
Full Text
Abstract
Развитие и усложнение технических средств требует использования смазочных композиций с улучшенными физико-химическими и эксплуатационными свойствами. Создание современных смазочных материалов невозможно без введения в их состав функциональных присадок различного назначения. В ИНХС РАН работы по получению и исследованию присадок были начаты с момента основания Института и отличались комплексным подходом, высокой научной и практической новизной. За 90-летнюю историю Института и данного направления были получены фундаментальные научные результаты, часть которых впоследствии получила свое внедрение в промышленном масштабе. Сегодня сотрудники Института продолжают развитие направления, созданного академиком С.С. Наметкиным и его учеником профессором П.И. Саниным. Статья посвящена обзору наиболее значимых результатов, полученных в Институте в области химии функциональных присадок для смазочных материалов. Библиография – 59 ссылок.
Full Text
Химия функциональных присадок – важнейшее направление развития современного смазочного материаловедения. Без использования присадок невозможно создавать товарные смазочные материалы с необходимым набором физико-химических и эксплуатационных свойств, требования к которым постоянно ужесточаются.
Начало развитию химии присадок в ИНХС РАН (с 1934 по 1947 г. – Институт горючих ископаемых АН СССР) было положено академиком С.С. Наметкиным. В 1947 г. из Института горючих ископаемых был выделен Институт нефти АН СССР, в составе которого в 1950 г. была организована лаборатория смазочных масел и присадок под руководством профессора П.И. Санина. В 1958 г. на базе Института нефти был создан Институт нефтехимического синтеза АН СССР, в составе которого была сформирована лаборатория химии нефти им. С.С. Наметкина. В период с 1958 по 1962 г. лабораторию возглавлял академик А.В. Топчиев, с 1962 по 1989 г. – профессор П.И. Санин, с 1989 по 2009 г. – профессор О.П. Паренаго. Одним из основных направлений деятельности этой лаборатории был синтез и исследование новых типов присадок. Работы в этом направлении отличались новизной, оригинальностью и востребованностью реальными секторами экономики.
В 2000-х гг. академик Н.А. Платэ инициировал работы в области наноразмерных присадок, которые впоследствии были продолжены под руководством академика С.Н. Хаджиева.
В 2024 г. в рамках реализации национального проекта „Наука и университеты“ по приоритетному направлению „Малотоннажная химия“ в ИНХС РАН была создана молодежная лаборатория „Функциональные присадки и реагенты для нефтегазовой отрасли“, которую возглавил кандидат химических наук А.С. Лядов. Деятельность новой лаборатории направлена на проведение систематических практико-ориентированных научных исследований, позволяющих разрабатывать оригинальные подходы для получения высокоэффективных функциональных присадок и реагентов, использование которых является критическим при производстве товарных продуктов нефтепереработки и нефтехимии, а также при реализации технологических процессов добычи и переработки углеводородного сырья.
За 90-летнюю историю по изучению присадок различного функционального действия и смазочных материалов, содержащих такие добавки, сотрудниками Института было опубликовано более ста статей по данному направлению.
В настоящем обзоре обобщены наиболее значимые результаты по синтезу, изучению и применению присадок различного спектра действия при их введении в состав смазочных композиций.
Фосфор- и хлорфосфорорганические присадки
В 60–70-е гг. прошлого века под руководством профессора П.И. Санина детально изучены трибологические свойства смазочных материалов, содержащих разнообразные фосфор- и хлорфосфорорганические соединения, и предложен химизм их действия (рис. 1) [1–4]. Некоторые хлорфосфорорганические соединения были синтезированы впервые.
Рис. 1. Фосфор- и хлорфосфорорганические присадки, полученные в ИНХС РАН: а) эфиры хлоралкилфосфиновых кислот; б) тиоэфиры хлоралкилфосфиновых кислот; в) триалкилфосфиты; г) эфиры трихлоралкилфосфиновых кислот; д) триалкилфосфаты; е) триалкилмонотифосфаты.
В табл. 1 приведены сведения о противозадирных свойствах некоторых фосфор- и хлорфосфорорганических присадок, которые были изучены в ИНХС РАН. Триалкилфосфиты проявляют незначительные противозадирные свойства при значительном износе трущихся поверхностей, что не позволяет использовать такие соединения в качестве модификаторов трения. Сочетание в молекуле присадки фосфорильной (Р=О) и эфирной (P–O–C) групп придает соединениям лучшие противозадирные и противоизносные свойства. Введение трихлорметильной группы в молекулу диэфира фосфиновой кислоты позволяет существенно повысить критическую нагрузку на 50–120 кгс в зависимости от строения вводимого органического радикала, содержащего ССl3-группу; наблюдается также снижение износа поверхностей в присутствии смазочных материалов, содержащих такие эфиры. Установлено влияние взаимного расположения ССl3-групп по отношению к фосфору на нагрузку сваривания; наиболее эффективными присадками являются эфиры, в которых ССl3-группа непосредственно связана с атомом фосфора [5]. Изучена эффективность синтезированных соединений в зависимости от природы масел, в которые вводились присадки. Фосфорорганические соединения, содержащие в составе атомы хлора, обладают исключительными противозадирными свойствами даже при их введении в состав силиконовых масел, однако противоизносные свойства таких композиций остаются недостаточными для использования в узлах трения.
Таблица 1. Противозадирные свойства некоторых присадок, содержащих фосфор, хлор и серу.
Присадка | Критическая нагрузка (Pк), кгс |
Без присадки | 69 |
(С2H5O)3P | 75 |
(С4H9S)3P | 95 |
(С4H9O)3PS | 80 |
(С4H9O)3PO | 100 |
(С4H9S)2P(OС4H9) | 110 |
ClCH2PO(OС4H9)2 | 115 |
CCl3PO(OС4H9)2 | 180 |
CCl3CH2OP(OС4H9)2 | 162 |
(ClCH2CH2O)3P | 118 |
* В качестве масла использовали очищенное нефтяное масло с кинематической вязкостью 20.8 сСт при 50°С; критическую нагрузку определяли на четырехшариковой машине трения; концентрация присадки во всех случаях составляла 6 ммоль/100 г масла
Методом ИК-спектроскопии установлено, что фосфорорганические эфиры, содержащие трихлорметильную группу, вступают во взаимодействие с железом при относительно низких температурах, еще до их термического разложения [6]. Процесс протекает по ионному механизму и катализируется ионами железа; при этом трихлорметильная группа способствует регенерации ионов железа, тем самым увеличивая скорость химической модификации металлических поверхностей, а также может участвовать в процессе пластификации металлов [7]. Первичные продукты химического модифицирования трущихся поверхностей – хлорфосфорорганические соли железа, способные образовывать дополнительные координационные связи с атомами кристаллической решетки железа, оказывая тем самым защитное действие в условиях высоких нагрузок. Установлено, что фосфорорганические эфиры с более высокой температурой разложения проявляют более выраженные противозадирные свойства, что косвенно подтверждает вышеописанный механизм модификации поверхностей.
Таким образом, было показано, что хлорфосфорорганические соединения, обладающие хорошими противозадирными свойствами, могут быть рекомендованы в качестве присадок при создании композиций смазочных материалов, применяющихся в высоконагруженных, но при этом низкоскоростных узлах трения, либо же в составе пакетов присадок совместно с противоизносными компонентами. Полученные в ИНХС РАН результаты были положены в основу создания промышленного способа получения противоизносной присадки для трансмиссионных масел „Хлорэф-40“ (дибутиловый эфир трихлорметилфосфиновой кислоты).
В лаборатории „Металлоорганического катализа“ ИНХС РАН был предложен простой способ получения разветвленных алкилфосфиновых кислот путем радикального присоединения фосфиновой кислоты к димерам α-олефинов (рис. 2) [8]. Все полученные фосфиновые кислоты проявили противоизносные свойства, что выражалось практически в двукратном уменьшении диаметра пятна износа (при проведении испытаний на четырехшариковой машине трения). Установлено, что оптимальная концентрация присадки находится в диапазоне 0.1–0.2 мас.% при введении в состав полиальфаолефиновых масел.
Рис. 2. Схема получения разветвленных алкилфосфиновых кислот [8].
Тиокарбаматы и тиофосфаты переходных металлов
В 60–70-е гг. в мире активно стали изучать различные комплексные соединения металлов с целью их использования в качестве антиокислительных присадок. Наибольшую эффективность проявили дитиокарбаматы и дитиофосфаты различных переходных металлов (цинк, медь, кадмий, олово и др.) (рис. 3). В это же время в ИНХС РАН были начаты детальные исследования широкой номенклатуры соединений данных классов.
Рис. 3. Диалкилдитиокарбаматы (а) и диалкилдитиофосфаты (б) металлов.
В работах [9–11] получены и изучены диалкилдитиокарбаматы металлов различного строения; при этом часть соединений были синтезированы впервые. Показано, что диалкилдитиокарбаматы металлов являются эффективными ингибиторами процесса окисления углеводородов в широком интервале температур (60–200°С) [12–16]. Сравнительное исследование антиокислительной активности дитиокарбаматов показало, что ингибирование окислительных процессов существенно зависит от природы металла, а также от длины и строения углеводородного радикала в лиганде (табл. 1). По длительности индукционного периода полученные дитиокарбаматы металлов можно расположить следующим образом: Sb > Cu > Zn > Cd > Ni. Природа диотиокарбамата металла оказывает влияние не только на длительность индукционного периода, но и на скорость накопления и распада гидропероксидов (табл. 2). В присутствии дитиокарбаматов Cu и Ni в процессе окисления происходит заметное увеличение вязкости и затем осмоление реакционной массы, что обусловлено каталитической активностью данных соединений в процессах окислительной деструкции и дегидрирования с последующей полимеризацией и поликонденсацией продуктов окисления. Использование сурьмы нежелательно ввиду ее крайней токсичности. Таким образом, на основе полученных данных было рекомендовано для создания смазочных композиций с улучшенными антиокислительными свойствами использовать диалкилдитиокарбаматы цинка.
Таблица 2. Сравнение ингибирующего действия различных диалкилдитиокарбаматов металлов при окислении вазелинового масла при 170°С
Ингибитор | Индукционный период, мин | Максимальная скорость образования гидропероксидов, моль/л с | Максимальная концентрация гидропероксидов, моль/л |
Без ингибитора | 5 | 3.7 × 104 | 0.23 |
Дибутилдитиокарбамат Zn | 75 | 3.8 × 104 | 0.21 |
Диизооктилдитиокарбамат Zn | 120 | 3.0 × 104 | 0.21 |
Диамилдитиокарбамат Ni | 3 | 2.0 × 104 | 0.10 |
Диамилдитиокарбамат Cd | 43 | 3.3 × 104 | 0.24 |
Диамилдитиокарбамат Cu | 70 | 7.9 × 104 | 0.11 |
Диамилдитиокарбамат Sb | 180 | 3.2 × 104 | 0.15 |
В связи с тем, что в качестве перспективных антиокислительных присадок были выбраны диалкилдитиокарбаматы цинка, обладающие не только хорошими антиокислительными свойствами, но и наименьшей токсичностью, было проведено детальное исследование процесса окисления углеводородных сред, содержащих такие присадки, для установления механизма ингибирующего действия и природы образующихся промежуточных соединений [17]. Для этого были применены различные физико-химические методы анализа (ИК- и ПМР-спектрометрия, термический и элементный анализ). Было достоверно установлено, что в условиях высокотемпературного окисления углеводородов в присутствии диалкилдитиокарбамата цинка из него образуются два кислородсодержащих комплекса. На основании полученных данных была предложена схема антиокислительного действия дитиокарбаматов цинка в условиях высокотемпературного окисления, учитывающая как превращение исходного ингибитора и промежуточных соединений с гидропероксидами, так и их термическое превращение (рис. 4).
Рис. 4. Схема превращения диалкилдитиокарбамата цинка в ходе высокотемпературного окисления углеводородов.
Продолжением работ в области фосфорсодержащих присадок стали исследования по изучению антиокислительных свойств диалкилдитиофосфатов металлов [18–20]. Наилучшие ингибирующие свойства показали цинковые соли; именно поэтому в дальнейшем был изучен широкий спектр цинковых солей фосфор- и серосодержащих кислот (дитиофорсфорных, монотиофосфорных, фосфорных, дитиофосфиниевых, монотиофосфиниевых, фосфиниевых). Наиболее эффективными ингибиторами окисления оказались соли, содержащие группу =P(S)S-, а именно дитиофосфаты, дитиофосфонаты и дитиофосфинаты. Строение алкильных заместителей при этом практически не оказывает влияния на антиокислительную активность. Детально был изучен также процесс взаимодействия диалкилдитиофосфатов цинка с органическими гидропероксидами. Показано, что при этом образуются цинковые соли диалкилдитиофосфорных кислот и диалкилмонотиофосфаты цинка [21–23]. Кроме того, изучены кинетические особенности термических превращений диалкилдитиофосфатов цинка [24]. Образующиеся при термическом разложении эфиры тиофосфорных кислот и диалкилсульфиды также обладают антиокислительными свойствами, чем и обусловлено ингибирование процесса окисления при высоких температурах эксплуатации смазочных материалов.
В целом диалкилдитиофосфаты цинка несколько уступают диалкилдитиокарбаматам цинка по ингибирующему действию в процессах окисления, но при этом проявляют лучшие трибологические свойства при введении в состав смазочных материалов.
Присадки на основе молибденсодержащих комплексных соединений
В середине 80-х гг. прошлого века в ИНХС РАН начато систематическое изучение соединений молибдена в качестве многофункциональных присадок к смазочным материалам [25].
Предложены подходы к синтезу и исследованы моно- и двухъядерные комплексы Мо(V) и Мо(VI) c диалкилдитиокарбаминовыми и диалкилдитиофосфатными лигандами (рис. 5) [26, 27]. Показано, что данные соединения обладают одновременно противоизносными и антиокислительными свойствами. Полученные комплексы молибдена являются эффективными модификаторами трения и в ряде случаев превосходят широко применяемую присадку ДФ-11 (диалкилдитиофосфат цинка); изучено влияние содержания кислорода в ядре комплекса и длины углеводородного радикала в структуре лиганда на функциональные свойства присадок. Увеличение числа атомов углерода в лиганде в два раза (с 4 до 8) приводит к снижению диаметра пятна износа смазочной композиции с такой присадкой более чем в пять раз, а критическая нагрузка при этом возрастает практически в два раза. Продемонстрировано сохранение трибологических свойств смазочной композиции при значительном тепловом воздействии в процессе проведения испытаний, что позволяет сделать вывод о стабильности молибденсодержащих присадок в процессе длительной эксплуатации. Особое внимание было уделено изучению кинетических особенностей окисления смазочных материалов в присутствии комплексных соединений молибдена. Показано, что замена атомов кислорода на серу в таких соединениях приводит к увеличению индукционного периода окисления, что соответствует более эффективному антиокислительному действию присадки. Для подтверждения ингибирующего действия присадок был детально исследован процесс разложения гидропероксидов при их присутствии в модельном масле и определены константы скорости разложения гидропероксида кумола в таких системах [28].
Рис. 5. Функциональные присадки на основе комплексных соединений молибдена: а) ди-μ-оксосульфо-диоксо-диалкилдитиокарбамат димолибдена(V); б) ди-μ-оксосульфо-дисульфидо-диалкилдитиокарбамат димолибдена(V); в) ди-μ-сульфо-дисульфидо-диалкилдитиокарбамат димолибдена(V); г) диоксо-диалкилдитиокарбамат молибдена(VI); д) ди-μ-сульфодиоксо-диалкилдитиофосфат димолибдена(V).
Методом вольтамперометрии на вращающемся платиновом дисковом электроде исследовано превращение различных окислителей в присутствии комплексов молибдена [29]. На примере моноядерного комплекса Mo(VI) показано его превращение в биядерную активную форму, которая, в свою очередь, катализирует распад гидропероксидов. Таким образом, биядерные комплексы являются более эффективными антиокислителями, и их использование в качестве многофункциональной присадки более предпочтительно.
Методом электронной микроскопии металлических поверхностей после трибоконтакта в присутствии масла, содержащего изучаемые присадки, были обнаружены поверхностные слои, состоящие из хемосорбированных дисульфида молибдена и серы, которые и способствуют снижению коэффициента трения. Было продемонстрировано, что такие слои прочно связаны с поверхностью металла и способны защищать его от износа даже при удалении смазочного материала (эффект „последействия“) [30].
Изучены трибологические свойства пластичных смазок при введении в их состав комплексов молибдена [31]. Серосодержащие соединения молибдена способны улучшать трибологические свойства смазок на основе полиароматических, полиолефиновых и дистиллятных нефтяных масел. При их введении в состав уреатных пластичных смазок на основе масел нефтяного происхождения (I группы), удается повысить противоизносные свойства смазочного материала более чем в два раза. При введении данных присадок в состав смазок, получаемых на основе синтетических базовых масел, противоизносные свойства менее выражены (снижение диаметра пятна износа составляет 20–30%).
Наноразмерные присадки
В последние 30 лет в мире активно развивается направление в химии присадок, связанное с поиском новых высокоэффективных наноразмерных модификаторов трения [32]. Следуя мировым трендам, в ИНХС РАН был реализован ряд научных проектов, направленных на создание наноразмерных присадок на основе сульфидов различных металлов.
Наиболее изученной присадкой в процессах трения и износа является наноразмерный сульфид молибдена [33]. Было предложено два эффективных способа получения нано-MoS3: взаимодействие сероводорода с обратными микроэмульсиями молибденовой кислоты, стабилизированных катионными ПАВ [34–40] и термический сольволиз маслорастворимых четвертичных аммонийных солей тетратиомолибдата [41, 42]. Данные способы в зависимости от условий и природы исходных компонентов позволяют получать наноразмерные частицы от 4 до 100 нм. Трибологические исследования наноразмерного MoS3 продемонстрировали высокую антифрикционную активность при введении в минеральные масла даже в сверхнизких концентрациях (200–500 ppm) [43, 44]. Введение нано-MoS3 в минеральное масло Т-46 позволило увеличить осевую нагрузку без изменения коэффициента трения при проведении исследований на приборе SRV в 2.2 раза по сравнению с чистым маслом. Помимо трибологической активности для наноразмерного MoS3 впервые установлено ингибирующее действие при окислительной деструкции углеводородных сред.
Помимо наноразмерных форм сульфидов молибдена большой интерес представляют и сульфиды других металлов, например вольфрама и рения [45–47].
В качестве прекурсоров для получения наноразмерного сульфида вольфрама были использованы различные аммонийные соли тетратиовольфраматов, в которых радикалами в составе аммонийной группы были С4Н9-, С8Н1- и смешанный радикал С8–С10. Синтезированные тетратиовольфраматы при введении в смазочные материалы не проявляют значительной трибологической активности, что коррелирует с достаточно высокой термической стабильностью таких соединений (разложение протекает при температурах выше 150°С) и не позволяет в условиях трения сформировать на поверхностях трибологически активные слои. Термический сольволиз тетратиовольфраматов позволяет получить трибологически активные формы наноразмерного сульфида вольфрама со средним размером частиц около 10 нм.
В работе [47] описан способ получения нано-Re2S7 (размер частиц в зависимости от условий получения варьировали в диапазоне 10–110 нм) термосольволизом прекурсора (R4N)ReS4 (R = C4H9, C8H17) и изучены противоизносные и антифрикционные свойства смазочных материалов при введении в их состав наночастиц сульфида рения. Стабильности наночастиц в неполярных органических средах достигали благодаря введению модификатора поверхности частиц, например алкенилсукцинимида. Противоизносное действие нано-Re2S7 проявляется уже при концентрациях около 0.2 мас.%; так, например, при введении в вазелиновое масло нано-Re2S7 при такой концентрации диаметр пятна износа уменьшается в 2.1 раза по сравнению с чистым маслом. Показано, что нано-WS3 и нано-Re2S7 не проявляют антифрикционную активность, но при этом способствуют снижению износа металлических поверхностей.
Кроме того, сотрудниками Института были также получены наночастицы TiO2, модифицированные ди(2-этилгексил)тиурамдисульфидом (ТДС) и тетра(2-этилгексил)тиофосфондисульфидом (ТФДС), и изучена их трибологическая активность при введении в вазелиновое масло [48, 49]. Показано, что для титансодержащих наночастиц, модифицированных ТДС и ТФДС, минимальное значение диаметра пятна износа достигалось при концентрации 0.1 и 0.2 мас.% соответственно, снижение которого в сравнении с чистым маслом составило 45 и 49%. Методом сканирующей электронной микроскопии установлено, что противоизносные свойства вазелинового масла, содержащего нано-ТiO2 обеспечиваются за счет модификации поверхностей трения атомами титана в условиях трибоконтакта. Однако в целом было показано, что трибологические свойства наноразмерного оксида титана значительно уступают наноразмерным сульфидам металлов.
Беззольные присадки
В 21 в. особое внимание стали уделять экологическим аспектам использования смазочных материалов. Повсеместное применение традиционных присадок, содержащих в своем составе атомы металлов, серы и фосфора и доказавших свою эффективность, стало оказывать негативное влияние на работу катализаторов дожигания выхлопных газов за счет образования и накопления на поверхности нейтрализаторов сульфатной золы и продуктов разложения дитиофосфатов цинка [50]. По этим причинам возникла и стала активно развиваться химия беззольных присадок, что также нашло отражение в работах ИНХС РАН в период с 2010-х гг. по настоящее время.
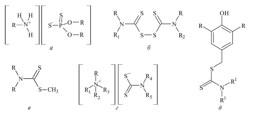
В качестве антиокислительной присадки, проявляющей противоизносные свойства, было предложено использовать аммонийные соли диалкилдитиофосфорных кислот с различными алкильными группами (АДТФ, рис. 6а). Их получали практически количественно в две стадии: сначала проводили взаимодействие соответствующего спирта с пентасульфидом фосфора, а затем получаемую кислоту обрабатывали амином [51–53]. Антиокислительные свойства присадок оценивали по скорости накопления гидропероксидов в маслах, содержащих такие присадки. Было показано, что наилучшими свойствами обладают АДТФ, содержащие в своем составе 2-этилгексильный радикал, антиокислительная активность которых сопоставима с промышленной присадкой ДФ-11. Все синтезированные образцы АДТФ проявили противоизносную активность и антифрикционное действие, что выражалось в снижении коэффициента трения для композиций более чем в два раза по сравнению с чистым маслом. Для повышения эффективности присадок на основе АДТФ предложено использовать их совместно с тетраалкилтиурамдисульфидами, так как это позволяет дополнительно на 15–20% уменьшить коэффициент трения и повысить индукционный период окисления смазочных материалов, содержащих такие композиции (рис. 6б) [54].
Рис. 6. Беззольные присадки, полученные и исследованные в ИНХС РАН: а) аммонийные соли диалкилдитиофосфорных кислот; б) тетраалкилтиурамдисульфиды; в) эфиры диалкилдитиокарбаминовых кислот; г) четвертичные аммонийные соли диалкилдитиокарбаминовых кислот; д) диалкилдитиопроизводные 2,6-диметилфенола.
Разработан оригинальный способ синтеза органических эфиров диалкилдитиокарбаминовых кислот, включающих алкильные группы С2–С5 нормального и изо-строения (рис. 6в), состоящий во взаимодействии исходных реагентов (сероуглерода, вторичного амина, гидроксида натрия и галогенпроизводного алкана) без выделения промежуточных продуктов под действием ультразвука, а также изучены особенности трибологического поведения синтетических масел, содержащих такие присадки [55]. Показано, что эфиры диалкилдитиокарбаминовых кислот могут быть эффективными модификаторами трения, а оптимальная длина углеводородного радикала в структуре присадки составляет 3–4 атома углерода. Введение полученных присадок в масла различной природы в концентрации 0.5–1.0 мас.% приводит к снижению коэффициента трения на 20–30%, а также заметному снижению диаметра пятна износа (в ряде случае до 60%). Удалось установить взаимосвязь между строением присадки и ее протиовозадирными свойствами, а именно было показано, что при введении присадок с углеводородными радикалами, имеющими изо-строение, всегда наблюдается увеличение несущей способности смазочного материала.
Предложен новый тип противоизносных присадок на основе четвертичных аммонийных солей диалкилдитиокарбаминовых кислот (рис. 6г), разработан простой и эффективный способ для их получения, который заключается в некаталитическом взаимодействии стехиометрических количеств соответствующего диамина, сероуглерода и тетраалкиламмонийхлорида в присутствии гидроксида натрия в одну стадию без промежуточного выделения полупродуктов [56]. Полученные таким образом четвертичные соли проявили исключительную противоизносную активность при введении в силиконовые масла [57]. Показано, что увеличение количества атомов углерода в алкильных группах в анионной части присадок приводит к усилению противоизносного действия силиконового смазочного материала, установлено влияние концентрации присадок на трибологические свойства. Так, при оптимальном строении и содержании добавки в силиконовом масле (в работе использованы силиконовые масла ПМС-300 или 132-24) наблюдается снижение диаметра пятна износа более чем в два раза, что представляет перспективы для их практического использования.
В последнее время активно развивается направление по созданию многофункциональных присадок, имеющих в своем составе несколько функциональных групп, проявляющих различные свойства при введении в состав смазочного материала. Разработка и внедрение в практику таких присадок позволяет уменьшить общее содержание компонентов в смазочных композициях и снизить их себестоимость. В ИНХС РАН получены и изучены новые присадки на основе диалкилдитиопроизводных 2,6-диметилфенола (рис. 6д) [58]. Синтезированные присадки проявляют комплексное антиокислительное и противоизносное действие [59]. Показано, что введение таких присадок в масла позволяет значительно улучшить стабильность к окислению, что выражалось в увеличении индукционного периода окисления в жестких условиях (температура 180°С, скорости подачи кислорода 12.6 л/ч), который составлял более 100 мин при содержании присадки 0.005 мас.%, в то время как индукционный период того же масла, но без присадки, не превышал 20 мин. Изучение противоизносной активности синтезированных присадок в сравнении с промышленно значимой присадкой на основе диалкилдитиофосфата цинка показало сопоставимый уровень их противоизносного действия в режиме граничного трения.
ЗАКЛЮЧЕНИЕ
За 90 лет проведения в ИНХС РАН исследований, направленных на поиск и изучение новых высокоэффективных функциональных присадок для смазочных материалов, было получено большое количество фундаментальных, оказавших влияние на развитие смазочного материаловедения и получивших внедрение в промышленное производство. Работы по исследованию в области хлорфосфосфорорганических присадок позволили создать промышленное производство присадки „Хлорэф-40“, которая была рекомендована для производства трансмиссионных масел, применяемых в автомобилях с гипоидными передачами.
Исследования в области беззольных присадок привели к созданию присадки на основе смеси аминной соли и амида диалкилдитиофосфорной кислоты, которая используется при производстве масел для высокофорсированных бензиновых двигателей и турбонаддувных дизелей.
Проводимые исследования характеризуются комплексным подходом и использованием арсенала современных физико-химических методов, что позволяет решать наиболее актуальные задачи современного смазочного материаловедения. Исследования в области химии присадок, начатые в ИНХС РАН академиком С.С. Наметкиным и его учеником профессором П.И. Саниным, продолжают активно развиваться. Сегодня в ИНХС РАН значительно расширена номенклатура изучаемых функциональных присадок, например предложены композиции антистатических присадок, комплексных топливных присадок, а также ведутся исследования по созданию эффективных вязкостных присадок для масел.
ФИНАНСИРОВАНИЕ РАБОТЫ
Работа выполнена в рамках государственного задания Института нефтехимического синтеза им. А.В. Топчиева РАН.
КОНФЛИКТ ИНТЕРЕСОВ
А.С. Лядов и О.П. Паренаго входят в состав редакционной коллегии журнала „Нефтехимия“, у других авторов конфликт интересов, требующий раскрытия, отсутствует.
About the authors
Антон Сергеевич Лядов
Институт нефтехимического синтеза им. А.В. Топчиева РАН
Author for correspondence.
Email: lyadov@ips.ac.ru
ORCID iD: 0000-0001-9969-7706
к.х.н.
Russian Federation, г. Москва, 119991Александр Александрович Кочубеев
Институт нефтехимического синтеза им. А.В. Топчиева РАН
Email: lyadov@ips.ac.ru
ORCID iD: 0000-0001-5760-8453
Russian Federation, г. Москва, 119991
Елена Геннадиевна Бордубанова
Институт нефтехимического синтеза им. А.В. Топчиева РАН
Email: lyadov@ips.ac.ru
ORCID iD: 0000-0002-7703-4036
Russian Federation, г. Москва, 119991
Эмма Юрьевна Оганесова
Институт нефтехимического синтеза им. А.В. Топчиева РАН
Email: lyadov@ips.ac.ru
ORCID iD: 0000-0001-6684-6576
к.т.н.
Russian Federation, г. Москва, 119991Олег Павлович Паренаго
Институт нефтехимического синтеза им. А.В. Топчиева РАН
Email: parenago@ips.ac.ru
ORCID iD: 0000-0002-4869-4035
д.х.н.
Russian Federation, г. Москва, 119991References
- Sanin P.I., Shepeleva E.S., Ulyanova A.V., Kleimenov B.V. The effect of synthetic additives in lubricating oil on wear under friction // Wear. 1960. V. 3. № 3. P. 200–218. https://doi.org/10.1016/0043-1648(60)90138-1
- Санин П.И., Шепелева Е.С., Шер В.В. Синтетические присадки типа эфиров дитиофосфорной кислоты // Нефтехимия. 1963. Т. 3. № 5. С. 781–791.
- Лозовой Ю.А., Шепелева Е.С., Санин П.И. Синтез и свойства некоторых эфиров алкилфосфорных кислот // Нефтехимия. 1967. Т. 7. № 5. С. 794–799.
- Лозовой Ю.А., Шепелева Е.С., Шипилов Г.В., Санин П.И. Исследование эфиров алкилфосфоновых кислот как присадок, понижающих износ при трении // Нефтехимия. 1972. Т. 12. № 6. С. 901–906.
- Санин П.И., Шепелева Е.С., Клейменов Б.В. Некоторые данные об активности присадок, содержащих группу – // Химия и технология топлив и масел. 1960. № 8. С. 24–28.
- Санин П.И., Ульянова А.В. Химические превращения фосфорорганических соединений при повышенных температурах и механизм действия этих соединений на износ при трении // Нефтехимия. 1963. Т. 3. № 5. С. 775–780.
- Клейменов Б.В., Санин П.И., Олейник Д.М., Шишкина М.В. Взаимодействие хлорфосфорорганических соединений с металлической поверхностью трения. Присадки к маслам. М.: Химия, 1966. С. 228–236.
- Nifant’ev I.E., Lyadov A.S., Tavtorkin A.N., Vinogradov A.A., Kochubeev A.A., Ivchenko P.V. Branched alkylphosphinic acids demonstrate explicit anti-wear effect // Mendeleev Communications. 2019. V. 29. № 5. P. 558–560. https://doi.org/10.1016/j.mencom.2019.09.027
- Шхиянц И.В., Шер В.В., Нечитайло Н.А., Санин П.И. Диалкилдитиокарбаматы металлов как антиокислители углеводородов // Нефтехимия. 1969. Т. 9. № 4. С. 616–619.
- Афанасова Г.И., Шхиянц И.В., Нечитайло Н.А., Шер В.В., Санин П.И. Термическая устойчивость диалкилдитиокарбаматов металлов // Нефтехимия. 1971. Т. 11. № 6. С. 911–918.
- Маркова Е.И., Шхиянц И.В., Шер В.В., Санин П.И. Исследование антиокислителей типа диалкидитиокарбаматов металлов методом ИК-спектроскопии // Нефтехимия. 1973. Т. 13. № 2. С. 294–299.
- Шхиянц И.В., Дзюбина М.А., Воевода И.В., Шер В.В., Санин П.И. Взаимодействие диалкилдитиокарбаматов металлов с гидроперекисью кумила и роль этой реакции в процессе окисления углеводородов // Нефтехимия. 1973. Т. 13. № 5. С. 749–754.
- Шхиянц И.В., Дзюбина М.А., Шер В.В., Санин П.И. Влияние диалкилдитиокарбаматов металлов на инициированное окисление этилбензола // Нефтехимия. 1973. Т. 13. № 4. С. 570–573.
- Кореневская Р.Г., Кузьмина Г.Н., Маркова Е.И., Санин П.И. Ингибирующее действие диалкилдитиокарбаматов металлов в процессах окисления углеводородов // Известия Болгарской АН. 1986. Т. 26. № 5. С. 685.
- Кореневская Р.Г., Кузьмина Г.Н., Маркова Е.И., Санин П.И. Кинетические закономерности взаимодействия диалкилдитиокарбаматов цинка с пероксидными радикалами и гидропероксидом кумила // Нефтехимия. 1982. Т. 22. № 4. С. 477–482.
- Шелкова Р.Г., Кузьмина Г.Н., Санин П.И., Паренаго О.П. Кинетика высокотемпературного окисления углеводородов, ингибированного диалкилдитиокарбаматами металлов // Кинетика и катализ. 1990. Т. 31. № 5. С. 1246–1250.
- Шелкова Р.Г., Кузьмина Г.Н., Дзюбина М.А., Ильин К.В., Паренаго О.П. О механизме ингибирования диалкилдитиокарбаматами цинка высокотемпературного окисления углеводородов // Нефтехимия. 1990. Т. 30. № 2. С. 244–251.
- Кузьмина Г.Н., Шер В.В., Санин П.И. Цинковые соли диалкилдитиофосфорных кислот как антиокислители углеводородов // Нефтехимия. 1965. Т. 5. № 3. С. 406–409.
- Кузьмина Г.Н., Шер В.В., Санин П.И. Цинковые соли некоторых фосфорорганических кислот и их влияние на окисление углеводородов // Нефтехимия. 1970. Т.10. № 5. С. 723–729.
- Шер В.В., Мелентьева Н.В., Маркова Е.И., Ханакова Л.Г., Санин П.И. К вопросу о механизме действия антиокислителей типа производных диалкилдитиофосфорных кислот // Нефтехимия. 1971. Т. 11. № 3. С. 455–464.
- Шер В.В., Маркова Е.И., Ханакова Л.Г., Кузьмина Г.Н., Санин П.И. Взаимодействие диалкилдитиофосфатов цинка с гидроперекисями // Нефтехимия. 1973. Т. 13. № 6. С. 876–884.
- Шхиянц И.В., Воевода Н.В., Комиссарова И.И., Чернявская Л.Ф., Шер В.В., Санин П.И. О реакции взаимодействия антиокислителя ди-н-бутилдитиофосфата цинка с гидроперекисью кумила // Нефтехимия. 1974. Т. 14. № 2. С. 312–316.
- Шер В.В., Богомолова Л.К., Маркова Е.И., Кузьмина Г.Н., Санин П.И. Инициированное окисление этилбензола в присутствии антиокислителей типа диалкилдитиофосфатов цинка // Нефтехимия. 1981. Т. 21. № 3. С. 424–430.
- Кузьмина Г.Н., Нечитайло Н.А., Шер В.В., Санин П.И. Исследование термических превращений цинковых солей некоторых фосфорорганических кислот // Нефтехимия. 1971. Т. 11. № 3. С. 465–469.
- Санин П.И., Кузьмина Г.Н., Займовская Т.А. Комплексные соединения молибдена как присадки к смазочным маслам // Химия и технология топлив и масел. 1984. № 4. С. 38.
- Санин П.И., Кузьмина Г.Н., Лозовой Ю.А., Займовская Т.А. Комплексы молибдена – синтетические присадки к смазочным маслам // Нефтехимия. 1986. Т. 26. № 6. С. 823–827.
- Займовская Т.А., Кузьмина Г.Н., Дзюбина М.А., Паренаго О.П. Новый комплекс молибдена с диизооктилдитиокарбаминовыми лигандами // Известия АН СССР. Сер. Хим. 1991. № 9. С. 2151–2153.
- Займовская Т.А., Кузьмина Г.Н., Санин П.И., Паренаго О.П. Исследование антиокислительной эффективности дитиокарбаматов молибдена кинетическим методом // Нефтехимия. 1991. Т. 31. № 4. С. 521–527.
- Займовская Т.А., Кузьмина Г.Н., Паренаго О.П., Ниязымбетов М.Е. Электрохимические свойства дитиокарбаматов молибдена – антиокислителей углеводородов // Нефтехимия. 1992. Т. 32. № 1. С. 25–28.
- Parenago O.P., Lozovoi Yu.A., Zaimovskaya T.A., Kuz’mina G.N. Chemical modification of the friction surfaces and its evaluation based on the carryover effect measurements // Tribology International. 2000. V. 33. P. 689–695. https://doi.org/10.1016/S0301-679X(00)00101-8
- Zaimovskaya T.A., Bordubanova E.G., L’yadov A.S., Parenago O.P. Tribological properties of plastic lubricants infused with molybdenum-containing additives // Chemistry and Technology of Fuels and Oils. 2016. V. 52. № 4. P. 369–376. https://doi.org/10.1007/s10553-016-0717-y
- Oganesova E.Yu., Lyadov A.S., Parenago O.P. Nanosized additives to lubricating materials // Russian J. of Applied Chemistry. 2018. V. 91. № 10. P. 1559−1573. https://doi.org/10.1134/S1070427218100014
- Parenago O.P., Bakunin V.N., Kuz’mina G.N., Suslov A.Yu., Vedeneeva L.M. Molybdenum sulfide nanoparticles as new-type additives to hydrocarbon lubricants // Doklady Chemistry. 2002. V. 383. P. 86–88. https://doi.org/10.1023/A:1014791509751
- Суслов А.Ю., Бакунин В.Н., Кузьмина Г.Н., Веденеева Л.М., Паренаго О.П. Синтез и трибологические свойства наночастиц трисульфида молибдена – представителя нового класса модификаторов трения // Нефтехимия. 2003. Т. 43. № 3. С. 214–218.
- Bakunin V.N., Suslov A.Y., Kuz’mina G.N., Vedeneeva L.M., Parenago O.P., Migdal C.A., Stott P.E. Surface-capped molybdenum sulphide nanoparticles – a novel type of lubricant additive // Lubrication Science. 2004. V. 16. №. 3. P. 207–214. https://doi.org/10.1002/ls.3010160302
- Bakunin V.N., Suslov A.Yu., Kuzmina G.N., Parenago O.P., Topchiev A.V. Synthesis and application of inorganic nanoparticles as lubricant components – a review // J. of Nanoparticle Research. 2004. V. 6. P. 273–284. https://doi.org/10.1023/B:NANO.0000034720.79452.e3
- Суслов А.Ю., Бондаренко Г.Н., Бакунин В.Н., Кузьмина Г.Н., Паренаго О.П. О строении поверхностно-модифицированных трибоактивных наночастиц трисульфида молибдена // Нефтехимия. 2005. Т. 45. № 1. С. 21–24.
- Bakunin V.N., Suslov A.Yu., Kuzmina G.N., Parenago O.P. Recent achievements in the synthesis and application of inorganic nanoparticles as lubricant components // Lubrication Science. 2005. V. 17. № 2. P. 127–145. https://doi.org/10.1002/ls.3010170202
- Bakunin V.N., Kuzmina G.N., Kasrai M., Parenago O.P., Bancroft G.M. Tribological behavior and tribofilm composition in lubricated systems containing surface-cappted molybdenum sulfide nanoparticles // Tribology Letters. 2006. V. 22. № 3. P. 289–296. https://doi.org/10.1007/s11249-006-9095-7
- Bakunin V.N., Kasrai M., Kuzmina G.N., Bancroft G.M., Parenago O.P. Influence of temperature and ZDDP concentration on tribochemistry of surface-capped molybdenum sulfide nanoparticles studied by XANES spectroscopy // Tribology Letters. 2007. V. 26. № 1. P. 33–43. https://doi.org/10.1007/s11249-006-9180-y
- Terekhin D.V., Basharina K.Yu., Bordubanova E.G., Khodzhaeva V.L., Kuz’mina G.N., Parenago O.P. Synthesis and physicochemical properties of tetraalkylammonium thiomolybdates as precursors of triboactive molybdenum sulfides // Petrol. Chemistry. 2009. V. 49. P. 158–161. https://doi.org/10.1134/S0965544109020108
- Basharina K.Yu., Terekhin D.V., Kuz’mina G.N., Bordubanova E.G., Ezhov A.A., Parenago O.P. Tribological properties of bis(tetraalkylammonium) tetrathiomolybdates as precursors of molybdenum sulfide nanoparticles // Petrol. Chemistry. 2009. V. 49. P. 339–342. https://doi.org/10.1134/S0965544109040148
- Parenago O.P., Kuzmina G.N., Terekhin V.D., Basharina K.Y. Antifriction and antiwear properties of molybdenum sulfides nanosized particles synthesized using nitrogen containing ionic liquids // Scientific Problems of Machines Operation and Maintenance. 2010. V. 45. P. 7–14.
- Parenago O.P., Kuz’mina G.N. Formation and properties of the triboactive nanoparticles of molybdenum sulfides // Petrol. Chemistry. 2010. V. 50. P. 319–324. https://doi.org/10.1134/S0965544110040109
- Лядов А.С., Максимова Ю.М., Павелко Г.Ф., Кириллов В.В. Улучшение трибологических свойств уреатных пластичных смазок // Мир нефтепродуктов. Вестник нефтяных компаний. 2018. № 8. С. 8–12.
- Oganesova E.Yu., Zaimovskaya T.A., Bordubanova E.G., Lyadov A.S., Litmanovich E.A., Parenago O.P. Synthesis of tungsten sulfide nanoparticles and their tribological properties as additives for lubricating oils // Nanotechnologies in Russia. 2016. V. 11. № 5–6. P. 312–316. https://doi.org/10.1134/S1995078016030137
- Oganesova E.Yu., Bordubanova E.G., Lyadov A.S., Parenago O.P. Synthesis and tribological behavior of metal sulfide nanoparticles produced by thermosolvolysis of sulfur-containing precursors // Petrol. Chemistry. 2019. V. 59. № 9. P. 1028–1036. https://doi.org/10.1134/S0965544119090160
- Oganesova E.Yu., Kuz’mina G.N., Bordubanova E.G., Khodzhaeva V.L., Ezhov A.A., Ivanov V.K., Parenago O.P. Comparison of antiwear properties of titanium-containing compounds // Petrol. Chemistry. 2012. V. 52. P. 204–207. https://doi.org/10.1134/S0965544112030085
- Zaimovskaya T.A., Oganesova E.Yu., Kuzmina G.N., Ezhov A.A., Ivanov V.K., Parenago O.P. Titanium-containing compounds as efficient triboadditives to oils // J. of Friction and Wear. 2013. V. 34. P. 487–493. https://doi.org/10.3103/S1068366613060135
- Parenago O.P., Oganesova E.Yu., Lyadov A.S., Sharaeva A.A. Synthesis of environmentally safe antiwear additives to lubricating materials: state of the art and prospects // Russ. J. Appl. Chem. 2020. V. 93. № 11. P. 1629–1637. https://doi.org/10.1134/S1070427220110014
- Золотов В.А., Паренаго О.П., Бартко Р.В., Кузьмина Г.Н., Золотов A.B. Новая полифункциональная композиция присадок на основе гетероорганических соединений к маслам с улучшенными экологическими характеристиками // Трение и смазка в машинах и механизмах. 2011. № 3. С. 16–20.
- Золотов В.А., Паренаго О.П., Бартко Р.В., Кузьмина Г.Н., Золотов A.B. Полифункциональная присадка к моторным маслам // Патент РФ № 2442820. Опубликовано: 20.02.2012. Бюл. № 5.
- Zolotov A.V., Kuz’mina G.N., Zolotov V.A., Bartko R.V., Sipatrov A.G., Parenago O.P. A composition of organic hetero compounds as an antioxidant and antiwear additive for mineral lubricating oils // Petrol. Chemistry. 2013. V. 53. P. 262–266. https://doi.org/10.1134/S0965544113040142
- Zolotov A.V., Sipatrov A.G., Bartko R.V., Zolotov V.A., Kuzmina G.N., Parenago O.P., Ivanov V.K. Synergism of composition of nitrogen- and sulfur-containing compounds as a tribological active additive to lubricants // J. of Friction and Wear. 2013. V. 34. P. 385–390. https://doi.org/10.3103/S1068366613050139
- Oganesova E.Y., Bordubanova E.G., Lyadov A.S., Parenago O.P. Tribological performance of dialkyldithiocarbamic acid methyl esters in lubricating compositions // Petrol. Chemistry. 2022. V. 62. P. 672–676. https://doi.org/10.1134/S0965544122040132
- Лядов А.С., Кочубеев А.А., Шараева А.А. Способ получения противоизносной присадки для силиконовых смазочных // Патент РФ № 2787372. Опубликовано: 09.01.2023. Бюл. № 1.
- Lyadov A.S., Oganesova E.Yu., Kochubeev A.A., Parenago O.P. New type of antiwear additives based on quaternary ammonium salts of dialkyldithiocarbamic acids for silicone lubricants // J. of Friction and Wear. 2023. V. 44. P. 10–12. https://doi.org/10.3103/S1068366623010075
- Лядов А.С., Кочубеев А.А., Оганесова Э.Ю., Бордубанова Е.Г., Паренаго О.П. Способ получения многофункциональной присадки для смазочного материала // Патент РФ № 2813196 C1. Опубликовано: 07.02.2024. Бюл. № 4.
- Bordubanova E.G., Oganesova E.Yu., Lyadov A.S., Parenago O.P. New polyfunctional lubricating oil additive based on a sulfur-containing derivative of 2,6-dimethylphenol // Doklady Chemistry. 2023. V. 512. Part 2. P. 267–271. https://doi.org/10.1134/S0012500823600761
Supplementary files







